Cách tính đạo hàm bằng công thức (hay, chi tiết)
Bài viết Cách tính đạo hàm bằng công thức với phương pháp giải chi tiết giúp học sinh ôn tập, biết cách làm bài tập Cách tính đạo hàm bằng công thức.
Cách tính đạo hàm bằng công thức (hay, chi tiết)
(199k) Xem Khóa học Toán 11 KNTTXem Khóa học Toán 11 CDXem Khóa học Toán 11 CTST
A. Phương pháp giải & Ví dụ
1. Công thức
2. Đạo hàm của tổng, hiệu, tích, thương
3.Đạo hàm của hàm hợp
y'x = y'u.u'x
Ví dụ minh họa
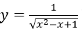
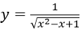
Bài 1: Đạo hàm của hàm số bằng biểu thức nào?
Hướng dẫn:
Ta có
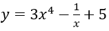
Bài 2: Đạo hàm của hàm số y = 5x + 3x(x + 1) – 5 tại x = 0 bằng bao nhiêu?
Hướng dẫn:
Ta có: y = 3x2 + 8x - 5 ⇒ y' = 6x + 8
Vậy y’(0) = 8
Bài 3: Đạo hàm của hàm số y = 3x5 - 2x4 tại x = -1, bằng bao nhiêu?
Hướng dẫn:
y' = 15x4 - 8x3 ⇒ y’(-1) = 15 + 8 = 23
Bài 4: Đạo hàm của hàm số bằng biểu thức nào?
Hướng dẫn:
Ta có:
Bài 5: Đạo hàm của hàm số bằng biểu thức nào?
Hướng dẫn:
Bài 6: Đạo hàm của hàm số bằng biểu thức nào?
Hướng dẫn:
Ta có:
Bài 7: Đạo hàm của hàm số bằng biểu thức nào?
Hướng dẫn:
B. Bài tập vận dụng
Bài 1: Đạo hàm của hàm số y = (2x4 - 3x2 - 5x)(x2 - 7x) bằng biểu thức nào dưới đây?
A. (8x3 - 6x - 5)(2x - 7)
B. (8x3 - 6x - 5)(x2 - 7x) - (2x4 - 3x2 - 5x)(2x - 7)
C. (8x3 - 6x - 5)(x2 - 7x)+(2x4 - 3x2 - 5x)(2x - 7)
D. (8x3 - 6x - 5) + (2x - 7)
Lời giải:
Đáp án: C
Áp dụng công thưc đạo hàm hàm hơp (uv)’= u’v + uv’ ta có:
y' = (8x3 - 6x - 5)(x2 - 7x) + (2x4 - 3x2 - 5x)(2x - 7)
Chọn đáp án là C
Bài 2: Đạo hàm của hàm số bằng biểu thức nào dưới đây?
Lời giải:
Đáp án: D
Áp dụng công thưc đạo hàm hàm hơp ta có:
Chọn đáp án là D
Bài 3: Đạo hàm của hàm số bằng biểu thức nào dưới đây?
Lời giải:
Đáp án: B
Ta có:
Bài 4: Đạo hàm của hàm số f(t) = a3t4 - 2at2 + 3t - 5a bằng biểu thức nào sau đây?
A. 4a3t3 - 4at + 3
B. 3a2t4 - 2t2 - 5
C. 12a2t3 - 4at - 2
D. 4a3t3 - 4at - 5
Lời giải:
Đáp án: A
f'(t) = 4a3t3 - 4at + 3
Chọn đáp án là A
Bài 5: Đạo hàm của hàm số bằng biểu thức nào dưới đây?
Lời giải:
Đáp án: B
Bài 6: Đạo hàm cuả hàm số bằng biểu thức nào dưới đây?
Lời giải:
Đáp án: A
Bài 7: Đạo hàm của hàm số bằng biểu thức nào dưới đây?
Lời giải:
Đáp án: B
Chọn đáp án là B
Bài 8: Đạo hàm của hàm số bằng biểu thức nào dưới đây?
Lời giải:
Đáp án: A
Chọn đáp án là A
Bài 9: Đạo hàm của hàm số bằng biểu thức nào dưới đây?
Lời giải:
Đáp án: C
Bài 10: Đạo hàm của hàm số:
bằng biểu thức nào dưới đây?
Lời giải:
Đáp án: A
Chọn đáp án là A
Bài 11: Đạo hàm của hàm số f(x) = a3 - 3at2 - 5t3(với a là hằng số) bằng biểu thức nào sau đây?
A. 3a2 - 6at - 15t2
B. 3a2 - 3t2
C. -6at - 15t2
D. 3a2 - 3t2 - 6at - 15t2
Lời giải:
Đáp án: C
f(t) = a3 - 3at2 - 5t3
f'(t) = -6at - 15t2
Chọn đáp án là C
Bài 12: Đạo hàm của hàm số bằng biểu thức nào sau đây?
Lời giải:
Đáp án: A
Chọn đáp án là A
Bài 13: Đạo hàm của hàm số f(x) = t2x + tx2 bằng biểu thức nào sau đây?
A. 2tx + x2
B. t2 + 2tx
C. 2x + 2tx
D. 2tx + 2tx
Lời giải:
Đáp án: B
Biến là x (t là hằng số), do đó B đúng
Bài 14: Đạo hàm của hàm số bằng biểu thức nào sau đây?
Lời giải:
Đáp án: B
Chọn đáp án là B
Bài 15: Đạo hàm của hàm số bằng biểu thức nào sau đây?
Lời giải:
Đáp án: B
Chọn đáp án là B
(199k) Xem Khóa học Toán 11 KNTTXem Khóa học Toán 11 CDXem Khóa học Toán 11 CTST
Xem thêm các dạng bài tập Toán lớp 11 có trong đề thi THPT Quốc gia khác:
- Dạng 1: Tính đạo hàm bằng định nghĩa
- Dạng 3: Tính đạo hàm của hàm số lượng giác
- 60 bài tập trắc nghiệm Đạo hàm có đáp án (phần 1)
- 60 bài tập trắc nghiệm Đạo hàm có đáp án (phần 2)
Tủ sách VIETJACK shopee lớp 10-11 (cả 3 bộ sách):
Đã có app VietJack trên điện thoại, giải bài tập SGK, SBT Soạn văn, Văn mẫu, Thi online, Bài giảng....miễn phí. Tải ngay ứng dụng trên Android và iOS.
Theo dõi chúng tôi miễn phí trên mạng xã hội facebook và youtube:Nếu thấy hay, hãy động viên và chia sẻ nhé! Các bình luận không phù hợp với nội quy bình luận trang web sẽ bị cấm bình luận vĩnh viễn.
- Giải Tiếng Anh 11 Global Success
- Giải sgk Tiếng Anh 11 Smart World
- Giải sgk Tiếng Anh 11 Friends Global
- Lớp 11 - Kết nối tri thức
- Soạn văn 11 (hay nhất) - KNTT
- Soạn văn 11 (ngắn nhất) - KNTT
- Giải sgk Toán 11 - KNTT
- Giải sgk Vật Lí 11 - KNTT
- Giải sgk Hóa học 11 - KNTT
- Giải sgk Sinh học 11 - KNTT
- Giải sgk Lịch Sử 11 - KNTT
- Giải sgk Địa Lí 11 - KNTT
- Giải sgk Giáo dục KTPL 11 - KNTT
- Giải sgk Tin học 11 - KNTT
- Giải sgk Công nghệ 11 - KNTT
- Giải sgk Hoạt động trải nghiệm 11 - KNTT
- Giải sgk Giáo dục quốc phòng 11 - KNTT
- Giải sgk Âm nhạc 11 - KNTT
- Lớp 11 - Chân trời sáng tạo
- Soạn văn 11 (hay nhất) - CTST
- Soạn văn 11 (ngắn nhất) - CTST
- Giải sgk Toán 11 - CTST
- Giải sgk Vật Lí 11 - CTST
- Giải sgk Hóa học 11 - CTST
- Giải sgk Sinh học 11 - CTST
- Giải sgk Lịch Sử 11 - CTST
- Giải sgk Địa Lí 11 - CTST
- Giải sgk Giáo dục KTPL 11 - CTST
- Giải sgk Hoạt động trải nghiệm 11 - CTST
- Giải sgk Âm nhạc 11 - CTST
- Lớp 11 - Cánh diều
- Soạn văn 11 Cánh diều (hay nhất)
- Soạn văn 11 Cánh diều (ngắn nhất)
- Giải sgk Toán 11 - Cánh diều
- Giải sgk Vật Lí 11 - Cánh diều
- Giải sgk Hóa học 11 - Cánh diều
- Giải sgk Sinh học 11 - Cánh diều
- Giải sgk Lịch Sử 11 - Cánh diều
- Giải sgk Địa Lí 11 - Cánh diều
- Giải sgk Giáo dục KTPL 11 - Cánh diều
- Giải sgk Tin học 11 - Cánh diều
- Giải sgk Công nghệ 11 - Cánh diều
- Giải sgk Hoạt động trải nghiệm 11 - Cánh diều
- Giải sgk Giáo dục quốc phòng 11 - Cánh diều
- Giải sgk Âm nhạc 11 - Cánh diều


Giải bài tập SGK & SBT
Tài liệu giáo viên
Sách
Khóa học
Thi online
Hỏi đáp

