60 bài tập trắc nghiệm Giới hạn của dãy số có đáp án (phần 1)
Với 60 bài tập trắc nghiệm Giới hạn của dãy số (phần 1) có lời giải chi tiết sẽ giúp học sinh ôn tập, biết cách làm bài tập trắc nghiệm Giới hạn của dãy số (phần 1).
60 bài tập trắc nghiệm Giới hạn của dãy số có đáp án (phần 1)
(199k) Xem Khóa học Toán 11 KNTTXem Khóa học Toán 11 CDXem Khóa học Toán 11 CTST
Bài 1: bằng:
A. +∞ B. 4 C. 2 D. -1
Lời giải:
Đáp án: C
Hướng dẫn giải
Đáp án C
Bài 2: bằng:
A. 5/7 B. 5/2 C. 1 D. +∞
Lời giải:
Đáp án: C
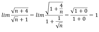
Hướng dẫn giải. Chia cả tử và mẫu của phân thức cho √n, ta được:
Đáp án là C
Bài 3: Dãy số nào sau đây có giới hạn khác 0?
Lời giải:
Đáp án: C
Cách 1
Đáp án C
Cách 2 (phương pháp loại trừ). Từ các định lí ta thấy:
Các dãy ở phương án A,B đều bằng 0, do đó loại phương án A,B
Vì
Do đó loại phương án D
Chọn đáp án C
Bài 4: Tổng của cấp số nhân vô hạn: là:
Lời giải:
Đáp án: B
Vì un là tổng n số hạng đầu tiên của một cấp số nhân có u1 = (-1)/2 và q = (-1)/2.
Chọn đáp án B
Bài 5: Tìm giá trị đúng của
A. √2 + 1 B. 2 C. 2√2 D. 1/2
Lời giải:
Đáp án: C
Ta có:
là tổng của cấp số nhân lùi vô hạn với số hạng đầu là 1 và công bội là 1/2. Khi đó:
Vậy S = 2√2.
Chọn đáp án C.
Bài 6: Tổng của cấp số nhân vô hạn: là:
A. 1/4 B. 1/2 C. 3/4 D. 4
Lời giải:
Đáp án: A
Vì un là tổng n số hạng đầu tiên của một cấp số nhân có u1 = 1/3 và q = (-1)/3.
Chọn đáp án A
Bài 7: có giá trị bằng:
Lời giải:
Đáp án: D
Cách 1. Dãy có giới hạn 0 vì |q|<1 thì limqn = 0. Đáp án là D
Cách 2. Các dãy ở các phương án A,B,C đều có dạng limqn nhưng |q|>1 nên không có giưới hạn 0, do đó loại phương án A,B,C. Chọn đáp án D
Bài 8: Tính giới hạn:
A. 0 B. 1/3 C. 2/3 D. 1
Lời giải:
Đáp án: B
Ta có
Đáp án B.
Bài 9: bằng:
0 B. + ∞ C. 3/4 D. 2/7
Lời giải:
Đáp án: D
Chia tử và mẫu xủa phân tử cho n (n là luỹ thừa bậc cao nhất của n trong tử và mẫu của phân thức), ta được
Đáp án là D
Bài 10: bằng:
Lời giải:
Đáp án: A
Cách 1. Sử dụng nhận xét trên, vì bậc của tử thức nhỏ hơn bậc của mẫu thức nên kết quả
Đáp án là A
Cách 2. Chia tử và mẫu của phân thức cho n4(n4 là luỹ thừa bậc cao nhất của n trong tử và mẫu của phân thức) rồi tính. Đáp án A
Bài 11: Tính giới hạn:
A. 0 B. 1 C. 3/2 D. Không có giới hạn
Lời giải:
Đáp án: B
Ta có:
Đáp án B.
Bài 12: Tính giới hạn:
A. 1 B. 0 C. 2/3 D. 2
Lời giải:
Đáp án: D
Ta có:
Khi đó
Chọn đáp án D
Bài 13: Tổng của cấp số nhân vô hạn là:
Lời giải:
Đáp án: A
Vì un là tổng n số hạng đầu tiên của một cấp số nhân có u1 = 2 và q = (-1)/2.
Chọn đáp án A
Bài 14: Tổng của cấp số nhân vô hạn là:
Lời giải:
Đáp án: C
Vì un là tổng n số hạng đầu tiên của một cấp số nhân có u1 = 3 và q = (-1)/3.
Chọn đáp án C
Bài 15: Dãy số nào sau đây có giới hạn bằng 1/5?
Lời giải:
Đáp án: B
Cách 1. Sử dụng nhận xét trên, vì bậc của tử thức lớn hơn bậc của mẫu thức, hệ số luỹ thừa bậc cao nhất của n cả tử và mẫu là số dương nên kết quả
Đáp án là B
Cách 2. Chia tử và mẫu của phân thức cho n4(n4 là luỹ thừa bậc cao nhất của n trong tử và mẫu của phân thức) rồi tính. Đáp án B
Bài 16: Tính giới hạn:
A. 1/2 B. 1 C. 0 D. 2/3
Lời giải:
Đáp án: A
Ta có:
Đáp án A
Bài 17: Cho dãy số (un) với . Tính limun
A. 1/3 B. 1 C. 3 D. 2/5
Lời giải:
Đáp án: A
un là tổng n số hạng đầu tiên của một cấp số nhân có u1 = 1/2 và q = (-1)/2.
Do đó
Đáp án A
Bài 18: Tổng của cấp số nhân vô hạn: là:
Lời giải:
Đáp án: A
Vì un là tổng n số hạng đầu tiên của một cấp số nhân có u1 = (-1)/4 và q = (-1)/4.
Đáp án A
Bài 19: Tính = ?
A. 1/3 B. 1/2 C. 5 D. 2/3
Lời giải:
Đáp án: B
Chọn đáp án B
Bài 20: có giá trị bằng:
A. 0
B. 1
C. 2/3
D. 5/3
Lời giải:
Đáp án: A
Cách 1.
Tính được suy ra đáp án là A
Cách 2. Sử dụng nhận xét trên, vì bậc của tử thức lớn hơn bậc của mẫu thức, hệ số luỹ thừa bậc cao nhất của n cả tử và mẫu thức bằng nhau và tỉ số hệ số của cúng bằng 1/5. Chỉ có dãy ở phương án A thoả mãn. Vậy đáp án là A.
Bài 21: Tính
Lời giải:
Đáp án: C
Ta có
Mà
Chọn đáp án C
Bài 22: Tính giới hạn
A. 11/18 B. 2 C. 1 D. 3/2
Lời giải:
Đáp án: A
Ta có
Bài 23: Kết quả nào sau đây là đúng:
A. Cấp số nhân lùi vô hạn (un) có công bội q thì tổng
B. Cấp số nhân lùi vô hạn (un) có u1 = 4, S = 4/3 ⇒
C. Cấp số nhân lùi vô hạn (un) có u1 = 15, S = 60 ⇒ q = 3/4
D. Cấp số nhân lùi vô hạn (un) có u1 = -4, q = -5/4 ⇒ S = -169
Lời giải:
Đáp án: C
Vì q = 3/4 < 1 đây là cấp số nhân lùi vô hạn nên
Chọn C
Bài 24: Tính giới hạn:
A. 1 B. 1/2 C. 1/4 D. 3/2
Lời giải:
Đáp án: A
Ta có
Đáp án A
Bài 25: có giá trị bằng:
A. 1
B. 2
C. 4
D. +∞
Lời giải:
Đáp án: B
Đáp án B
Bài 26: Tính
A. 1 B. 1/5 C. 1/4 D. 1/2
Lời giải:
Đáp án: D
Đáp án D
Bài 27: bằng:
A. 0
B. 1/4
C. 1/2
D. +∞
Lời giải:
Đáp án: A
chia cả tử thức và mẫu thức cho √n
Đáp án A
Bài 28: Cấp số nhân lùi vô hạn (un) có u1 = -50, S = 100. Tìm 5 số hạng đầu tiên của dãy:
A. 50; 25; 12,5; 6,5; 3,25
B. 50; 25,5; 12,5; 6,25; 3,125
C. 50; 25; 12,5; 6,25; 3,125
D. 50; 25; 12,25; 6,125;3,0625
Lời giải:
Đáp án: C
Áp dụng công thức :
Suy ra 5 số hạng đầu tiên của dãy số: 50; 25; 12,5; 6,25; 3,125
Chọn C
Bài 29: Tính
A. 0 B. 1/3 C. 1/4 D. 1/2
Lời giải:
Đáp án: A
Đáp án A
Bài 30: Cho dãy số (un) với . Mệnh đề nào sau đây là mệnh đề đúng?
A. limun = 0
B. limun = 1/2
C. limun = 1
D. Dãy số (un) không có giới hạn khi n → +∞
Lời giải:
Đáp án: B
Ta có
Đáp án B.
(199k) Xem Khóa học Toán 11 KNTTXem Khóa học Toán 11 CDXem Khóa học Toán 11 CTST
Xem thêm các dạng bài tập Toán lớp 11 có trong đề thi THPT Quốc gia khác:
- Dạng 1: Tìm giới hạn của dãy số bằng định nghĩa
- Dạng 2: Tổng của cấp số nhân lùi vô hạn
- Dạng 3: Tính giới hạn của dãy số
- 60 bài tập trắc nghiệm Giới hạn của dãy số có đáp án (phần 2)
Tủ sách VIETJACK shopee lớp 10-11 (cả 3 bộ sách):
Đã có app VietJack trên điện thoại, giải bài tập SGK, SBT Soạn văn, Văn mẫu, Thi online, Bài giảng....miễn phí. Tải ngay ứng dụng trên Android và iOS.
Theo dõi chúng tôi miễn phí trên mạng xã hội facebook và youtube:Nếu thấy hay, hãy động viên và chia sẻ nhé! Các bình luận không phù hợp với nội quy bình luận trang web sẽ bị cấm bình luận vĩnh viễn.
- Giải Tiếng Anh 11 Global Success
- Giải sgk Tiếng Anh 11 Smart World
- Giải sgk Tiếng Anh 11 Friends Global
- Lớp 11 - Kết nối tri thức
- Soạn văn 11 (hay nhất) - KNTT
- Soạn văn 11 (ngắn nhất) - KNTT
- Giải sgk Toán 11 - KNTT
- Giải sgk Vật Lí 11 - KNTT
- Giải sgk Hóa học 11 - KNTT
- Giải sgk Sinh học 11 - KNTT
- Giải sgk Lịch Sử 11 - KNTT
- Giải sgk Địa Lí 11 - KNTT
- Giải sgk Giáo dục KTPL 11 - KNTT
- Giải sgk Tin học 11 - KNTT
- Giải sgk Công nghệ 11 - KNTT
- Giải sgk Hoạt động trải nghiệm 11 - KNTT
- Giải sgk Giáo dục quốc phòng 11 - KNTT
- Giải sgk Âm nhạc 11 - KNTT
- Lớp 11 - Chân trời sáng tạo
- Soạn văn 11 (hay nhất) - CTST
- Soạn văn 11 (ngắn nhất) - CTST
- Giải sgk Toán 11 - CTST
- Giải sgk Vật Lí 11 - CTST
- Giải sgk Hóa học 11 - CTST
- Giải sgk Sinh học 11 - CTST
- Giải sgk Lịch Sử 11 - CTST
- Giải sgk Địa Lí 11 - CTST
- Giải sgk Giáo dục KTPL 11 - CTST
- Giải sgk Hoạt động trải nghiệm 11 - CTST
- Giải sgk Âm nhạc 11 - CTST
- Lớp 11 - Cánh diều
- Soạn văn 11 Cánh diều (hay nhất)
- Soạn văn 11 Cánh diều (ngắn nhất)
- Giải sgk Toán 11 - Cánh diều
- Giải sgk Vật Lí 11 - Cánh diều
- Giải sgk Hóa học 11 - Cánh diều
- Giải sgk Sinh học 11 - Cánh diều
- Giải sgk Lịch Sử 11 - Cánh diều
- Giải sgk Địa Lí 11 - Cánh diều
- Giải sgk Giáo dục KTPL 11 - Cánh diều
- Giải sgk Tin học 11 - Cánh diều
- Giải sgk Công nghệ 11 - Cánh diều
- Giải sgk Hoạt động trải nghiệm 11 - Cánh diều
- Giải sgk Giáo dục quốc phòng 11 - Cánh diều
- Giải sgk Âm nhạc 11 - Cánh diều


Giải bài tập SGK & SBT
Tài liệu giáo viên
Sách
Khóa học
Thi online
Hỏi đáp

