Cách tính tổng của cấp số nhân lùi vô hạn cực hay
Bài viết Cách tính tổng của cấp số nhân lùi vô hạn với phương pháp giải chi tiết giúp học sinh ôn tập, biết cách làm bài tập Cách tính tổng của cấp số nhân lùi vô hạn.
Cách tính tổng của cấp số nhân lùi vô hạn cực hay
(199k) Xem Khóa học Toán 11 KNTTXem Khóa học Toán 11 CDXem Khóa học Toán 11 CTST
A. Phương pháp giải & Ví dụ
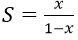
Tổng của CSN lùi vô hạn
Cấp số nhân vô hạn u1, u2, u3,..un,..có công bội q, với |q| < 1 gọi là cấp số nhân lùi vô hạn.
Tổng S của cấp số nhân đó là:
Ví dụ minh họa
Bài 1: Tìm tổng của cấp số nhân vô hạn sau:
Hướng dẫn:
Đây là tổng của cấp số nhân vô hạn có
nên tổng là
Bài 2: Tìm tổng của cấp số nhân lùi vô hạn (un) biết un = 1/(3n)
Hướng dẫn:
Vì
Bài 3: Tìm tổng của cấp số nhân vô hạn:
Hướng dẫn:
Vì các số của tổng lập thành cấp số nhân lùi vô hạn với u1 = 1, q = -1/2
Vậy
Bài 4: Tìm số hạng tổng quát của cấp số nhân lùi vô hạn có tổng bằng 3 và công bội q = 2/3
Hướng dẫn:
Bài 5: Tìm tổng của dãy số sau:
Hướng dẫn:
Vì vậy các số của tổng lập thành cấp số nhân lùi vô hạn với u1 = -1, q = -1/10
Vậy
Bài 6: Tổng của một cấp số nhân lùi vô hạn là 5/3 tổng ba số hạng đầu tiên của nó là 39/25. Tìm số hạng đầu và công bội của cấp số đó.
Hướng dẫn:
Ta có
Bài 7: Cho dãy số (un) với . Tính tổng của dãy un
Hướng dẫn:
Vì un là tổng n số hạng đầu tiên của một cấp số nhân có u1 = 1/2 và q = (-1)/2.
B. Bài tập vận dụng
Bài 1: Tổng của cấp số nhân vô hạn: là:
Lời giải:
Đáp án: B
Vì un là tổng n số hạng đầu tiên của một cấp số nhân có u1 = (-1)/2 và q = (-1)/2.
Chọn đáp án B
Bài 2: Tổng của cấp số nhân vô hạn: là:
Lời giải:
Đáp án: A
Vì un là tổng n số hạng đầu tiên của một cấp số nhân có u1 = 1/3 và q = (-1)/3.
Chọn đáp án A
Bài 3: Tổng của cấp số nhân vô hạn là:
Lời giải:
Đáp án: A
Vì un là tổng n số hạng đầu tiên của một cấp số nhân có u1 = 2 và q = (-1)/2.
Chọn đáp án A
Bài 4: Tổng của cấp số nhân vô hạn là:
Lời giải:
Đáp án: C
Vì un là tổng n số hạng đầu tiên của một cấp số nhân có u1 = 3 và q = (-1)/3.
Chọn đáp án C
Bài 5: Tổng của cấp số nhân vô hạn: là:
Lời giải:
Đáp án: A
Vì un là tổng n số hạng đầu tiên của một cấp số nhân có u1 = (-1)/4 và q = (-1)/4.
Chọn đáp án A
Bài 6: Kết quả nào sau đây là đúng:
A. Cấp số nhân lùi vô hạn (un) có công bội q thì tổng
B. Cấp số nhân lùi vô hạn (un) có
C. Cấp số nhân lùi vô hạn (un) có
D. Cấp số nhân lùi vô hạn (un) có
Lời giải:
Đáp án: C
Vì q = (3/4) < 1 đây là cấp số nhân lùi vô hạn nên
Chọn C
Bài 7: Cấp số nhân lùi vô hạn (un) có u1 = -50, S = 100. Tìm 5 số hạng đầu tiên của dãy:
A. 50; 25; 12,5; 6,5; 3,25
B. 50; 25,5; 12,5; 6,25; 3,125
C. 50; 25; 12,5; 6,25; 3,125
D. 50; 25; 12,25; 6,125; 3,0625
Lời giải:
Đáp án: C
Áp dụng công thức :
Suy ra 5 số hạng đầu tiên của dãy số: 50; 25; 12,5; 6,25; 3,125
Chọn C
Bài 8: Cấp số nhân lùi vô hạn (un) có u1 = -1, q = x. Tìm tổng S và 3 số hạng đầu của cấp số này:
A. và -1, x, -x2
B. và -1, x, x2
C. và -1, -x, -x2
D. và -1, x, -x2
Lời giải:
Đáp án: C
số hạng đầu là -1, -x, -x2
Chọn C
Bài 9: Cấp số nhân lùi vô hạn (un) có u1 = -x, q = x2. Tìm tổng S và 3 số hạng đầu của cấp số này:
A. và -x, x3, x5
B. và -x, x3, x4
C. và -x, x3, x6
D. và -x, -x3, -x6
Lời giải:
Đáp án: D
số hạng đầu là - x, -x3, -x6
Chọn D
Bài 10: Tìm tổng của cấp số nhân vô hạn sau:
Lời giải:
Đáp án: D
Vì un là tổng n số hạng đầu tiên của một cấp số nhân có u1 = 5 và q = 1/√5.
Chọn đáp án D
Bài 11: Tìm tổng của cấp số nhân vô hạn sau: -3; 0,3; -0,03; 0,003;...
Lời giải:
Đáp án: A
Vì un là tổng n số hạng đầu tiên của một cấp số nhân có u1 = -3 và q = 0,1
Chọn đáp án A
Bài 12: Tìm tổng
A. 4 + 2√2
B. 4 - 2√2
C. -4 + 2√2
D. -4 + 2√2
Lời giải:
Đáp án: B
Vì un là tổng n số hạng đầu tiên của một cấp số nhân có u1 = 2 và q = 1/√2
Chọn đáp án B
Bài 13: Cho cấp số nhân lùi vô hạn sau: Tìm q
Lời giải:
Đáp án: A
Vì un là tổng n số hạng đầu tiên của một cấp số nhân nên q = (1/4)
Chọn đáp án A
Bài 14: Tìm tổng của dãy số sau:
Lời giải:
Đáp án: D
Vì vậy các số của tổng lập thành cấp số nhân lùi vô hạn với u1 = -1, q = (-1)/10
Chọn đáp án D
Bài 15: Cho dãy số (un) với . Tính tổng của dãy un
Lời giải:
Đáp án: C
Vì un là tổng n số hạng đầu tiên của một cấp số nhân có u1 = 1/2 và q = (-1)/2.
Chọn đáp án C
C. Bài tập tự luyện
Bài 1. Tính tổng của cấp số nhân lùi vô hạn với số hạng đầu bằng 2 và công bội .
Bài 2. Tìm số hạng tổng quát của cấp số nhân lùi vô hạn có tổng bằng 3 và công bội q = .
Bài 3. Tính tổng của cấp số nhân lùi vô hạn (un) biết u1 = 1 và u1, u3, u4 theo thứ tự là ba số hạng liên tiếp trong một cấp số cộng.
Bài 4. Tổng của cấp số nhân vô hạn: .
Bài 5. Cho cấp số nhân lùi vô hạn (un) công bội q. Đặt S = u1 + u2 + … + un + … thì
A. .
B. .
C. .
D. .
(199k) Xem Khóa học Toán 11 KNTTXem Khóa học Toán 11 CDXem Khóa học Toán 11 CTST
Xem thêm các dạng bài tập Toán lớp 11 có trong đề thi tốt nghiệp THPT khác:
- Dạng 1: Tìm giới hạn của dãy số bằng định nghĩa
- Dạng 3: Tính giới hạn của dãy số
- 60 bài tập trắc nghiệm Giới hạn của dãy số có đáp án (phần 1)
- 60 bài tập trắc nghiệm Giới hạn của dãy số có đáp án (phần 2)
Tủ sách VIETJACK shopee lớp 10-11 (cả 3 bộ sách):
Đã có app VietJack trên điện thoại, giải bài tập SGK, SBT Soạn văn, Văn mẫu, Thi online, Bài giảng....miễn phí. Tải ngay ứng dụng trên Android và iOS.
Theo dõi chúng tôi miễn phí trên mạng xã hội facebook và youtube:Nếu thấy hay, hãy động viên và chia sẻ nhé! Các bình luận không phù hợp với nội quy bình luận trang web sẽ bị cấm bình luận vĩnh viễn.
- Giải Tiếng Anh 11 Global Success
- Giải sgk Tiếng Anh 11 Smart World
- Giải sgk Tiếng Anh 11 Friends Global
- Lớp 11 - Kết nối tri thức
- Soạn văn 11 (hay nhất) - KNTT
- Soạn văn 11 (ngắn nhất) - KNTT
- Giải sgk Toán 11 - KNTT
- Giải sgk Vật Lí 11 - KNTT
- Giải sgk Hóa học 11 - KNTT
- Giải sgk Sinh học 11 - KNTT
- Giải sgk Lịch Sử 11 - KNTT
- Giải sgk Địa Lí 11 - KNTT
- Giải sgk Giáo dục KTPL 11 - KNTT
- Giải sgk Tin học 11 - KNTT
- Giải sgk Công nghệ 11 - KNTT
- Giải sgk Hoạt động trải nghiệm 11 - KNTT
- Giải sgk Giáo dục quốc phòng 11 - KNTT
- Giải sgk Âm nhạc 11 - KNTT
- Lớp 11 - Chân trời sáng tạo
- Soạn văn 11 (hay nhất) - CTST
- Soạn văn 11 (ngắn nhất) - CTST
- Giải sgk Toán 11 - CTST
- Giải sgk Vật Lí 11 - CTST
- Giải sgk Hóa học 11 - CTST
- Giải sgk Sinh học 11 - CTST
- Giải sgk Lịch Sử 11 - CTST
- Giải sgk Địa Lí 11 - CTST
- Giải sgk Giáo dục KTPL 11 - CTST
- Giải sgk Hoạt động trải nghiệm 11 - CTST
- Giải sgk Âm nhạc 11 - CTST
- Lớp 11 - Cánh diều
- Soạn văn 11 Cánh diều (hay nhất)
- Soạn văn 11 Cánh diều (ngắn nhất)
- Giải sgk Toán 11 - Cánh diều
- Giải sgk Vật Lí 11 - Cánh diều
- Giải sgk Hóa học 11 - Cánh diều
- Giải sgk Sinh học 11 - Cánh diều
- Giải sgk Lịch Sử 11 - Cánh diều
- Giải sgk Địa Lí 11 - Cánh diều
- Giải sgk Giáo dục KTPL 11 - Cánh diều
- Giải sgk Tin học 11 - Cánh diều
- Giải sgk Công nghệ 11 - Cánh diều
- Giải sgk Hoạt động trải nghiệm 11 - Cánh diều
- Giải sgk Giáo dục quốc phòng 11 - Cánh diều
- Giải sgk Âm nhạc 11 - Cánh diều


Giải bài tập SGK & SBT
Tài liệu giáo viên
Sách
Khóa học
Thi online
Hỏi đáp

