60 bài tập trắc nghiệm Giới hạn của hàm số có đáp án (phần 1)
Với 60 bài tập trắc nghiệm Giới hạn của hàm số (phần 1) có lời giải chi tiết sẽ giúp học sinh ôn tập, biết cách làm bài tập trắc nghiệm Giới hạn của hàm số (phần 1).
60 bài tập trắc nghiệm Giới hạn của hàm số có đáp án (phần 1)
(199k) Xem Khóa học Toán 11 KNTTXem Khóa học Toán 11 CDXem Khóa học Toán 11 CTST
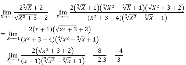
Bài 1: bằng số nào sau đây?
A. 1/9 B. 3/5 C. -2/5 D. -2/3
Lời giải:
Đáp án: A
Đáp án là A
Bài 2: bằng:
A. +∞ B. 4 C. 0 D. -∞
Lời giải:
Đáp án: C
Đáp án C
Bài 3: bằng:
A. √5 B. 0 C. 5/2 D. +∞
Lời giải:
Đáp án: B
Đáp án B.
Bài 4: bằng:
A. 5 B. 1 C. 5/3 D. -5/3
Lời giải:
Đáp án: C
Đáp án là C
Bài 5: bằng:
A. 0 B. 2 C. 4 D. 6
Lời giải:
Đáp án: D
Đáp án D
Bài 6: Chọn kết quả đúng trong các kết quả sau của là:
A. Không tồn tại B. 0 C. 1 D. +∞
Lời giải:
Đáp án: A
Đáp án A
Bài 7: bằng:
A. 0 B. 4/9 C. 3/5 D. +∞
Lời giải:
Đáp án: C
Chia cả tử và mẫu của phân thức cho x4 ta có
Đáp án C
Bài 8: bằng:
A. 2/3 B. 1/2 C. -2/3 D. -1/2
Lời giải:
Đáp án: C
Đáp án C
Bài 9: Cho hàm số . Giá trị đúng của
là:
A. –∞ B. 0 C. √6 D. +∞
Lời giải:
Đáp án: B
Đáp án B
Bài 10: bằng số nào sau đây?
A. 1/9 B. 3/5 C. -2/5 D. -2/3
Lời giải:
Đáp án: A
Đáp án A
Bài 11: bằng:
A. -2 B. -1 C. 1 D. 2
Lời giải:
Đáp án: B
Đáp án là B
Bài 12: Giới hạn bằng:
A. 0 B. -1 C. 1 D. -∞
Lời giải:
Đáp án: B
Đáp án là B
Bài 13: bằng:
A. -∞ B. 3/5 C. -2/5 D. 0
Lời giải:
Đáp án: D
Đáp án là D
Bài 14: bằng:
A. 5 B. 1 C. 5/3 D. -5/3
Lời giải:
Đáp án: C
Đáp án là C
Bài 15: Giới hạn bằng:
A. +∞ B. -∞ C. 0 D. 1
Lời giải:
Đáp án: C
Đáp án là C
Bài 16: bằng:
A. -∞ B. 3/5 C. -2/5 D. 0
Lời giải:
Đáp án: D
Đáp án là D
Bài 17: bằng:
A. 0 B. -1/6 C. -1/2 D. -∞
Lời giải:
Đáp án: A
Đáp án A
Bài 18: Giới hạn bằng:
Lời giải:
Đáp án: B
Đáp án B
Bài 19: bằng:
Lời giải:
Đáp án: D
Đáp án D
Bài 20: bằng:
A. 0 B. 4/9 C. 3/5 D. +∞
Lời giải:
Đáp án: C
Chia cả tử và mẫu của phân thức cho x4 ta có
Đáp án C
Bài 21: Giới hạn bằng:
A. 0 B. 1 C. +∞ D. không tồn tại
Lời giải:
Đáp án: B
Đáp án B
Bài 22: bằng:
A. -∞ B. 2 C. 4/3 D. -4/3
Lời giải:
Đáp án: D
Đáp án D
Bài 23: bằng:
A. -3 B. -1 C. 0 D. 1
Lời giải:
Đáp án: D
Đáp án D
Bài 24: Giới hạn bằng:
A. 1 B. 0 C. -∞ D. không tồn tại
Lời giải:
Đáp án: A
Đáp án A
Bài 25: Cho hàm số
A. -1 B. 0 C. 1 D. +∞
Lời giải:
Đáp án: D
Vì tử số có giới hạn là 2, mẫu số có giới hạn 0 và 1 - x > 0 với x < 1. Đáp án D
Bài 26: bằng:
A. 2/3 B. 1/2 C. -2/3 D. -1/2
Lời giải:
Đáp án: C
Đáp án C
Bài 27: Cho a là một số thực dương. Tính giới hạn
A. -1/(a2) B. +∞ C. -∞ D. không tồn tại
Lời giải:
Đáp án: C
Đáp án C
Bài 28: bằng:
A. +∞ B. 2/5 C. -7 D. -∞
Lời giải:
Đáp án: C
Đáp án C
Bài 29: bằng:
A. -15 B. -7 C. 3 D. +∞
Lời giải:
Đáp án: B
= 4 - 3.2 - 5 = -7
Đáp án B
Bài 30: Tính giới hạn
A. 2 B. 0 C. 0.5 D. 0.25
Lời giải:
Đáp án: C
Đáp án C
(199k) Xem Khóa học Toán 11 KNTTXem Khóa học Toán 11 CDXem Khóa học Toán 11 CTST
Xem thêm các dạng bài tập Toán lớp 11 có trong đề thi THPT Quốc gia khác:
- Dạng 1: Tìm giới hạn của hàm số bằng định nghĩa
- Tìm giới hạn hàm số dạng vô định
- Dạng 2: Tìm giới hạn hàm số dạng 0/0, dạng vô cùng trên vô cùng
- Dạng 3: Tìm giới hạn hàm số dạng 0 nhân vô cùng
- Dạng 4: Tìm giới hạn hàm số dạng vô cùng trừ vô cùng, vô cùng trên vô cùng
- 60 bài tập trắc nghiệm Giới hạn của hàm số có đáp án (phần 2)
Tủ sách VIETJACK shopee lớp 10-11 (cả 3 bộ sách):
Đã có app VietJack trên điện thoại, giải bài tập SGK, SBT Soạn văn, Văn mẫu, Thi online, Bài giảng....miễn phí. Tải ngay ứng dụng trên Android và iOS.
Theo dõi chúng tôi miễn phí trên mạng xã hội facebook và youtube:Nếu thấy hay, hãy động viên và chia sẻ nhé! Các bình luận không phù hợp với nội quy bình luận trang web sẽ bị cấm bình luận vĩnh viễn.
- Giải Tiếng Anh 11 Global Success
- Giải sgk Tiếng Anh 11 Smart World
- Giải sgk Tiếng Anh 11 Friends Global
- Lớp 11 - Kết nối tri thức
- Soạn văn 11 (hay nhất) - KNTT
- Soạn văn 11 (ngắn nhất) - KNTT
- Giải sgk Toán 11 - KNTT
- Giải sgk Vật Lí 11 - KNTT
- Giải sgk Hóa học 11 - KNTT
- Giải sgk Sinh học 11 - KNTT
- Giải sgk Lịch Sử 11 - KNTT
- Giải sgk Địa Lí 11 - KNTT
- Giải sgk Giáo dục KTPL 11 - KNTT
- Giải sgk Tin học 11 - KNTT
- Giải sgk Công nghệ 11 - KNTT
- Giải sgk Hoạt động trải nghiệm 11 - KNTT
- Giải sgk Giáo dục quốc phòng 11 - KNTT
- Giải sgk Âm nhạc 11 - KNTT
- Lớp 11 - Chân trời sáng tạo
- Soạn văn 11 (hay nhất) - CTST
- Soạn văn 11 (ngắn nhất) - CTST
- Giải sgk Toán 11 - CTST
- Giải sgk Vật Lí 11 - CTST
- Giải sgk Hóa học 11 - CTST
- Giải sgk Sinh học 11 - CTST
- Giải sgk Lịch Sử 11 - CTST
- Giải sgk Địa Lí 11 - CTST
- Giải sgk Giáo dục KTPL 11 - CTST
- Giải sgk Hoạt động trải nghiệm 11 - CTST
- Giải sgk Âm nhạc 11 - CTST
- Lớp 11 - Cánh diều
- Soạn văn 11 Cánh diều (hay nhất)
- Soạn văn 11 Cánh diều (ngắn nhất)
- Giải sgk Toán 11 - Cánh diều
- Giải sgk Vật Lí 11 - Cánh diều
- Giải sgk Hóa học 11 - Cánh diều
- Giải sgk Sinh học 11 - Cánh diều
- Giải sgk Lịch Sử 11 - Cánh diều
- Giải sgk Địa Lí 11 - Cánh diều
- Giải sgk Giáo dục KTPL 11 - Cánh diều
- Giải sgk Tin học 11 - Cánh diều
- Giải sgk Công nghệ 11 - Cánh diều
- Giải sgk Hoạt động trải nghiệm 11 - Cánh diều
- Giải sgk Giáo dục quốc phòng 11 - Cánh diều
- Giải sgk Âm nhạc 11 - Cánh diều


Giải bài tập SGK & SBT
Tài liệu giáo viên
Sách
Khóa học
Thi online
Hỏi đáp

