Tìm giới hạn hàm số dạng vô cùng trừ vô cùng, vô cùng trên vô cùng
Bài viết Tìm giới hạn hàm số dạng vô cùng trừ vô cùng, vô cùng trên vô cùng với phương pháp giải chi tiết giúp học sinh ôn tập, biết cách làm bài tập Tìm giới hạn hàm số dạng vô cùng trừ vô cùng, vô cùng trên vô cùng.
Tìm giới hạn hàm số dạng vô cùng trừ vô cùng, vô cùng trên vô cùng
(199k) Xem Khóa học Toán 11 KNTTXem Khóa học Toán 11 CDXem Khóa học Toán 11 CTST
A. Phương pháp giải & Ví dụ
Những dạng vô định này ta tìm cách biến đổi đưa về dạng ∞/∞
Ví dụ minh họa
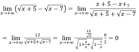
Bài 1: Tìm các giới hạn sau:
Hướng dẫn:
Ta có:
Bài 2:
Hướng dẫn:
Bài 3:
Hướng dẫn:
Bài 4:
Hướng dẫn:
Bài 5:
Hướng dẫn:
Bài 6:
Hướng dẫn:
B. Bài tập vận dụng
Bài 1: bằng:
A. +∞ B. 4 C. 0 D. -∞
Lời giải:
Đáp án: C
Đáp án C
Bài 2: bằng:
A. 2/3 B. 1/2 C. -2/3 D. -1/2
Lời giải:
Đáp án: C
Đáp án C
Bài 3: bằng:
A. -∞ B. 3/5 C. -2/5 D. 0
Lời giải:
Đáp án: D
Đáp án là D
Bài 4: bằng:
A. 0 B. -1/6 C. -1/2 D. -∞
Lời giải:
Đáp án: A
Đáp án A
Bài 5: bằng:
A. -∞ B. 2 C. 4/3 D. -4/3
Lời giải:
Đáp án: D
Đáp án D
Bài 6: bằng:
A. +∞ B. 2/5 C. -7 D. -∞
Lời giải:
Đáp án: C
Đáp án C
Bài 7: bằng:
A. 2/3 B. 1/2 C. -2/3 D. -1/2
Lời giải:
Đáp án: C
Đáp án C
Bài 8: bằng:
A. √5 B. 8 C. 5/2 D. +∞
Lời giải:
Đáp án: B
Đáp án B
Bài 9: bằng:
A. +∞ B. 1/3 C. 2/3 D. -2/3
Lời giải:
Đáp án: D
Đáp án D
Bài 10: bằng:
A. +∞ B. 4 C. 0 D. -∞
Lời giải:
Đáp án: C
Đáp án C
C. Bài tập tự luyện
Bài 1. Cho . Tính P = 4a + b.
Bài 2. Biết và tối giản. Tổng giá trị a + b là bao nhiêu?
Bài 3. Tính .
Bài 4. Biết . Tính S = 5a + b.
Bài 5. Tìm giới hạn M = .
(199k) Xem Khóa học Toán 11 KNTTXem Khóa học Toán 11 CDXem Khóa học Toán 11 CTST
Xem thêm các dạng bài tập Toán lớp 11 có trong đề thi THPT Quốc gia khác:
- Dạng 1: Tìm giới hạn của hàm số bằng định nghĩa
- Tìm giới hạn hàm số dạng vô định
- Dạng 2: Tìm giới hạn hàm số dạng 0/0, dạng vô cùng trên vô cùng
- Dạng 3: Tìm giới hạn hàm số dạng 0 nhân vô cùng
- 60 bài tập trắc nghiệm Giới hạn của hàm số có đáp án (phần 1)
- 60 bài tập trắc nghiệm Giới hạn của hàm số có đáp án (phần 2)
Tủ sách VIETJACK shopee lớp 10-11 (cả 3 bộ sách):
Đã có app VietJack trên điện thoại, giải bài tập SGK, SBT Soạn văn, Văn mẫu, Thi online, Bài giảng....miễn phí. Tải ngay ứng dụng trên Android và iOS.
Theo dõi chúng tôi miễn phí trên mạng xã hội facebook và youtube:Nếu thấy hay, hãy động viên và chia sẻ nhé! Các bình luận không phù hợp với nội quy bình luận trang web sẽ bị cấm bình luận vĩnh viễn.
- Giải Tiếng Anh 11 Global Success
- Giải sgk Tiếng Anh 11 Smart World
- Giải sgk Tiếng Anh 11 Friends Global
- Lớp 11 - Kết nối tri thức
- Soạn văn 11 (hay nhất) - KNTT
- Soạn văn 11 (ngắn nhất) - KNTT
- Giải sgk Toán 11 - KNTT
- Giải sgk Vật Lí 11 - KNTT
- Giải sgk Hóa học 11 - KNTT
- Giải sgk Sinh học 11 - KNTT
- Giải sgk Lịch Sử 11 - KNTT
- Giải sgk Địa Lí 11 - KNTT
- Giải sgk Giáo dục KTPL 11 - KNTT
- Giải sgk Tin học 11 - KNTT
- Giải sgk Công nghệ 11 - KNTT
- Giải sgk Hoạt động trải nghiệm 11 - KNTT
- Giải sgk Giáo dục quốc phòng 11 - KNTT
- Giải sgk Âm nhạc 11 - KNTT
- Lớp 11 - Chân trời sáng tạo
- Soạn văn 11 (hay nhất) - CTST
- Soạn văn 11 (ngắn nhất) - CTST
- Giải sgk Toán 11 - CTST
- Giải sgk Vật Lí 11 - CTST
- Giải sgk Hóa học 11 - CTST
- Giải sgk Sinh học 11 - CTST
- Giải sgk Lịch Sử 11 - CTST
- Giải sgk Địa Lí 11 - CTST
- Giải sgk Giáo dục KTPL 11 - CTST
- Giải sgk Hoạt động trải nghiệm 11 - CTST
- Giải sgk Âm nhạc 11 - CTST
- Lớp 11 - Cánh diều
- Soạn văn 11 Cánh diều (hay nhất)
- Soạn văn 11 Cánh diều (ngắn nhất)
- Giải sgk Toán 11 - Cánh diều
- Giải sgk Vật Lí 11 - Cánh diều
- Giải sgk Hóa học 11 - Cánh diều
- Giải sgk Sinh học 11 - Cánh diều
- Giải sgk Lịch Sử 11 - Cánh diều
- Giải sgk Địa Lí 11 - Cánh diều
- Giải sgk Giáo dục KTPL 11 - Cánh diều
- Giải sgk Tin học 11 - Cánh diều
- Giải sgk Công nghệ 11 - Cánh diều
- Giải sgk Hoạt động trải nghiệm 11 - Cánh diều
- Giải sgk Giáo dục quốc phòng 11 - Cánh diều
- Giải sgk Âm nhạc 11 - Cánh diều


Giải bài tập SGK & SBT
Tài liệu giáo viên
Sách
Khóa học
Thi online
Hỏi đáp

