60 bài tập trắc nghiệm Viết phương trình tiếp tuyến có đáp án (phần 1)
Với 60 bài tập trắc nghiệm Viết phương trình tiếp tuyến (phần 1) có lời giải chi tiết sẽ giúp học sinh ôn tập, biết cách làm bài tập trắc nghiệm Viết phương trình tiếp tuyến (phần 1).
60 bài tập trắc nghiệm Viết phương trình tiếp tuyến có đáp án (phần 1)
(199k) Xem Khóa học Toán 11 KNTTXem Khóa học Toán 11 CDXem Khóa học Toán 11 CTST
Bài 1: Cho đồ thị (H): và điểm A ∈ (H) có tung độ y = 4. Hãy lập phương trình tiếp tuyến của (H) tại điểm A.
A. y = x – 2
B. y = -3x – 11
C. y = 3x + 11
D. y = -3x + 10
Lời giải:
Đáp án: D
Chọn đáp án D.
Tập xác định: D = R\{1}
Đạo hàm: y’ = (-3)/(x-1)2
Tung độ của tiếp điểm là y = 4 nên 4 = [(x+2)/(x-1)] ⇔ x = 2
Tại M(2; 4), phương trình tiếp tuyến là y = -3x + 10
Bài 2: Tiếp tuyến của đồ thị hàm số tại giao điểm của đồ thị hàm số với trục tung có phương trình là:
A. y = x – 1
B. y = x + 1
C. y = x
D. y = -x
Lời giải:
Đáp án: A
Chọn A
Ta có:
Giao điểm M của đồ thị với trục tung : x = 0 ⇒ y = -1
Hệ số góc của tiếp tuyến tại M là : k = y’(0) = 1
Phương trình tiếp tuyến tại điểm M là : y = x – 1
Bài 3: Cho đường cong (C): và điểm A ∈ (C) có hoành độ x = 3. Lập phương trình tiếp tuyến của (C) tại điểm A.
Lời giải:
Đáp án: A
Chọn A
Ta có:
Tại điểm A ∈ (C) có hoành độ: x = 3 ⇒ y = 7/2
Hệ số góc của tiếp tuyến tại A là : k = y’(3) = 3/4
Phương trình tiếp tuyến tại điểm A là : y = (3/4)x + 5/4
Bài 4: Tiếp tuyến của đồ thị hàm số y = 1/√(2x) tại điểm A(1/2; 1) có phương trình là:
A. 2x + 2y = -3
B. 2x – 2y = -1
C. 2x + 2y = 3
D. 2x – 2y = 1
Lời giải:
Đáp án: C
Chọn C
Ta có:
Hệ số góc của tiếp tuyến tại A là : k = y'(1/2) = -1
Phương trình tiếp tuyến tại điểm A là : 2x + 2y = 3
Bài 5: Tiếp tuyến của đồ thị hàm số f(x) = x3-2x2-2 tại điểm có hoành độ x = -2 có phương trình là:
A. y = 4x – 8.
B. y = 20x + 22.
C. y = 20x – 22.
D. y = 20x – 16.
Lời giải:
Đáp án: B
Chọn B.
Ta có: f'(x) = 3x2 - 4x. Tại điểm A có hoành độ
x0 = -2 ⇒ y0 = f(x0) = -18
Hệ số góc của tiếp tuyến tại A là : k = f'(-2) = 20
Phương trình tiếp tuyến tại điểm A là :
y = k(x-x0) + y0 ⇔ y = 20x + 22
Bài 6: Cho hàm số y = x3-3x+1 (C). Viết phương trình tiếp tuyến của đồ thị (C), biết tiếp tuyến vuông góc với trục Oy.
A. y = 2, y = -1
B. y = 3, y = -1
C. y = 3, y = -2
D. x = 3, x = -1
Lời giải:
Đáp án: B
Chọn B.
Ta có: y’= 3x2 - 3. Gọi M(x0; y0) là tiếp điểm
Vì tiếp tuyến vuông góc với Oy nên ta có: y’(x0) = 0
Hay x0 = ±1. Từ đó ta tìm được hai tiếp tuyến: y = 3, y = -1
Bài 7: Viết phương trình tiếp tuyến của đồ thị hàm số: y = 2x4-4x2+1 biết tiếp tuyến song song với đường thẳng y = 48x – 1
A. y = 48x – 9
B. y = 48x – 7
C. y = 48x – 10
D. y = 48x – 79
Lời giải:
Đáp án: D
Chọn D.
Ta có: y’ = 8x3 – 8x
Gọi M(x0; y0) là tiếp điểm.
Vì tiếp tuyến song song với đường thẳng y = 48x - 1
Nên ta có: y'(x0) = 48 ⇔ x03 - x0 - 6 = 0 ⇔ x0 = 2
Suy ra y0 = 17. Phương trình tiếp tuyến là:
y = 48(x – 2) + 17 = 48x - 79
Bài 8: Cho hàm số y = x4+x2+1 (C). Viết phương trình tiếp tuyến của đồ thị (C), biết tiếp tuyến song song với đường thng y = 6x – 1
A. y = 6x – 2
B. y = 6x – 7
C. y = 6x – 8
D. y = 6x – 3
Lời giải:
Đáp án: D
Chọn D.
Ta có: y’ = 4x3 + 2x. Gọi M(x0; y0) là tiếp điểm
Vì tiếp tuyến song song với đường thẳng y = 6x - 1 nên ta có: y'(x0) = 6 ⇔ 4x03 + 2x0 - 6 = 0 ⇔ x0 = 1 ⇒ y0 = 3
Phương trình tiếp tuyến: y = 6x - 3
Bài 9: Cho hàm số Viết phương trình tiếp tuyến của (C), biết tiếp tuyến song song với đường thẳng d: y = -4x + 1.
Lời giải:
Đáp án: A
Chọn A
Hàm số xác định với mọi x ≠ 1. Ta có
Gọi M(x0; y0) là tiếp điểm, suy ra phương trình tiếp tuyến của (C):
Vì tiếp tuyến song với đường thẳng d = - 4x + 1 nên ta có:
+ x0 = 0 ⇒ y0 = 2 ⇒ Δ: y = -4x + 2
+ x0 = 2 ⇒ y0 = 6 ⇒ Δ: y = -4x + 14
Bài 10: Cho hàm số Viết phương trình tiếp tuyến của (C), biết biết tiếp tuyến tạo với hai trục tọa độ một tam giác vuông cân.
Lời giải:
Đáp án: A
Chọn A
Hàm số xác định với mọi x ≠ 1. Ta có:
Gọi M(x0; y0) là tiếp điểm, suy ra phương trình tiếp tuyến của (C):
Vì tiếp tuyến tạo với hai trục tọa độ một tam giác vuông cân nên tiếp tuyến phải vuông góc với một trong hai đường phân giác y = ±x, do đó hệ số góc của tiếp tuyến bằng ±1 hay y' = ±1. Mà y' < 0, ∀x ≠ 1 nên ta có:
Bài 11: Viết phương trình tiếp tuyến d của đồ thị (C): biết d cách đều 2 điểm A(2;4) và B(-4; -2)
Lời giải:
Đáp án: D
Chọn D
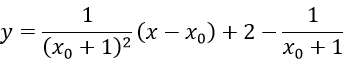
Gọi M(x0; y0(x0)), x0 ≠ 1, là tọa độ tiếp điểm của d và (C)
Khi đó d có hệ số góc y’(x0) = 1/(x0+1)2 và có phương trình là :
Vì d cách đều A, B nên d đi qua trung điểm I(-1;1) của AB hoặc cùng phương với AB.
TH1: d đi qua trung điểm I(-1;1), thì ta luôn có:
phương trình này có nghiệm xo = 1
Với x0 = 1 ta có phương trình tiếp tuyến d: y = (1/4)x + 5/4
TH2: d cùng phương với AB, tức là d và AB có cùng hệ số góc, khi đó
Với x0 = -2 ta có phương trình tiếp tuyến d: y = x + 5
Với x0 = 0 ta có phương trình tiếp tuyến d: y = x + 1
Vậy, có 3 tiếp tuyến thỏa mãn đề bài: y = (1/4)x + 5/4, y = x + 5, y = x + 1
Bài 12: Tìm m ∈ R để từ điểm M(1; 2) kẻ được 2 tiếp tuyến đến đồ thị (Cm): y = x3-2x2+(m-1)x+2m.
Lời giải:
Đáp án: D
Chọn D
Gọi N(x0; y0) ∈ (C). Phương trình tiếp tuyến (d) của A tại N là:
y = (3x02-4x0+m-1)(x-x0)+x03-2x02+(m-1)x0+2m
M ∈ (d)⇔ 2x03 + 5x02 - 4x0 = 3-3m (*)
Dễ thấy (*) là phương trình hoành độ giao điểm của đồ thị y = 3 – 3m và f(x0) = 2x03 + 5x02 - 4x0
Xét hàm số f(x0) = 2x03 + 5x02-4x0 có f’(x0) = 6x02 + 10x0-4
f’(x0) = 0 ⇔ x0 = -2 hoặc x0 = 1/3
Lập bảng biến thiên, suy ra m = 100/81, m = -3
Bài 13: Cho hàm số y = 2x4-4x2-1 có đồ thị là (C). Viết phương trình tiếp tuyến của (C), biết tiếp tuyến đi qua A(1; -3).
Lời giải:
Đáp án: D
Chọn D
Ta có y’ = 8x3 – 8x
Gọi M(x0; y0). Tiếp tuyến Δ tại M có phương trình:
y = (8x03-8x0)(x-x0) + 2x04-4x02-1
Vì tiếp tuyến Δ đi qua A(1;-3) nên ta có
-3 = (8x03-8x0)(1-x0 )+ 2x04-4x02-1
⇔ 3x04-4x03-2x02+4x0-1 = 0 ⇔ (x0-1)2(x0+1)(3x0-1) = 0
x0 = ±1 ⇒ Δ: y = -3
x0 = 1/3 ⇒ Δ: y = (-64/27)x - 51/81
Bài 14: Cho hàm số y = 2x4-4x2-1 có đồ thị là (C). Viết phương trình tiếp tuyến của (C), biết tiếp tuyến tiếp xúc với (C) tại hai điểm phân biệt.
A. Δ: y = -3 B. Δ: y = 4 C. Δ: y = 3 D. Δ: y = -4
Lời giải:
Đáp án: A
Chọn A
Ta có y’ = 8x3 – 8x
Gọi M(x0; y0). Tiếp tuyến Δ tại M có phương trình:
y = (8x03 - 8x0)(x-x0)+ 2x04-4x02-1. Giả sử Δ tiếp xúc với (C) tại điểm thứ hai N(n; 2n4-4n2-1)
Suy ra Δ: y = (8n3 – 8n)(x-n) + 2n4 – 4n2 - 1
Nên ta có:
Vậy Δ: y = -3
Bài 15: Cho (C) là đồ thị của hàm số . Viết phương trình tiếp tuyến của (C) biết tiếp tuyến đó cắt trục hoành, trục tung lần lượt tại A, B sao cho tam giác OAB vuông cân (O là gốc tọa độ ).
Lời giải:
Đáp án: B
Chọn B
Vì tam giác OAB là tam giác vuông tại O nên nó chỉ có thể vuông cân tại O, khi đó góc giữa tiếp tuyến (D) và trục Ox là 45°,suy ra hệ số góc của (D) là kD = ±1
Trường hợp kD = 1,khi đó phương trình (D) : y = x + a. (a ≠ 0)
(D) tiếp xúc (C) ⇔ có nghiệm.
(4)⇔ x2-2x+1 = 0 ⇒ x = 1
Thay x = 1 vaò phương trình (3) ta được a = 4/3
Vậy trong trường hợp này,phương trình (D): y = x + 4/3
Trường hợp kD = -1, khi đó phương trình (D): y = - x + a
(D) tiếp xúc với (C) ⇔ có nghiệm.
(6)⇔ x2-2x+3 = 0. Phương trình này vô nghiệm nên hệ (5), (6) vô nghiệm,suy ra (D) : y = - x + a không tiếp xúc với (C)
Vậy phương trình tiếp tuyến cần tìm là y = x + 4/3.
Bài 16: Cho hàm số y = f(x), có đồ thị (C) và điểm Mo(xo; f(xo)) ∈ (C). Phương trình tiếp tuyến của (C) tại Mo là:
A. y = f '(x)(x-xo)+yo
B. y = f ' (xo)(x-xo)
C. y - yo = f ' (xo)(x-xo)
D. y - yo = f ' (xo)x
Lời giải:
Đáp án: C
Chọn C
Bài 17: Hệ số góc của tiếp tuyến của đồ thị hàm số tại giao điểm của đồ thị hàm số với trục hoành bằng :
A. 9 B. 1/9 C. -9 D. -1/9
Lời giải:
Đáp án: A
Chọn A
Tập xác định:D = R\{1}
Đạo hàm:
Đồ thị hàm số cắt trục hoành tại A(2/3; 0)
Hệ số góc của tiếp tuyến là y’(2/3) = 9
Bài 18: Cho hàm số tiếp tuyến của đồ thị hàm số kẻ từ điểm (-6; 5) là
Lời giải:
Đáp án: B
Chọn B.
Ta có: y' = (-4)/(x-2)2. Gọi A(a; b) là tọa độ tiếp điểm.
Phương trình tiếp tuyến Δ tại A:
Với a = 0, phương trình tiếp tuyến cần tìm là: y = -x-1
Với a = 6, phương trình tiếp tuyến cần tìm là: y = (-1/4)(x-6)+2 = (-1/4)x + 7/2
Bài 19: Phương trình tiếp tuyến của đồ thị hàm số y = (x + 1)2(x – 2) tại điểm có hoành độ x = 2 là
A. y = - 8x + 4
B. y = 9x + 18
C. y = -4x + 4
D. y = 9x – 18
Lời giải:
Đáp án: D
Chọn D.
Gọi M(xo; yo) là tọa độ tiếp điểm.
Ta có xo = 2 ⇒ yo = 0
y = (x + 1)2(x – 2) = x3 – 3x – 3 nên y’ = 3x2 – 3
Từ đó suy ra y’(2) = 9.
Vậy phương trình tiếp tuyến cần tìm là y = 9(x – 2) = 9x – 18
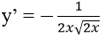
Bài 20: Hệ số góc của tiếp tuyến của đồ thị hàm số tại giao điểm với trục tung bằng :
A. -2 B. 2 C. 1 D. -1
Lời giải:
Đáp án: B
Chọn B
Tập xác định: D = R\{-1}
Đạo hàm:
Đồ thị hàm số cắt trục tung tại điểm có xo = 0 ⇒ y’(0) = 2
(199k) Xem Khóa học Toán 11 KNTTXem Khóa học Toán 11 CDXem Khóa học Toán 11 CTST
Xem thêm các dạng bài tập Toán lớp 11 có trong đề thi THPT Quốc gia khác:
- Dạng 1: Viết phương trình tiếp tuyến khi biết tiếp điểm
- Dạng 2: Viết phương trình tiếp tuyến khi biết hệ số góc
- Dạng 3: Viết phương trình tiếp tuyến đi qua một điểm
- 60 bài tập trắc nghiệm Viết phương trình tiếp tuyến có đáp án (phần 2)
Tủ sách VIETJACK shopee lớp 10-11 (cả 3 bộ sách):
Đã có app VietJack trên điện thoại, giải bài tập SGK, SBT Soạn văn, Văn mẫu, Thi online, Bài giảng....miễn phí. Tải ngay ứng dụng trên Android và iOS.
Theo dõi chúng tôi miễn phí trên mạng xã hội facebook và youtube:Nếu thấy hay, hãy động viên và chia sẻ nhé! Các bình luận không phù hợp với nội quy bình luận trang web sẽ bị cấm bình luận vĩnh viễn.
- Giải Tiếng Anh 11 Global Success
- Giải sgk Tiếng Anh 11 Smart World
- Giải sgk Tiếng Anh 11 Friends Global
- Lớp 11 - Kết nối tri thức
- Soạn văn 11 (hay nhất) - KNTT
- Soạn văn 11 (ngắn nhất) - KNTT
- Giải sgk Toán 11 - KNTT
- Giải sgk Vật Lí 11 - KNTT
- Giải sgk Hóa học 11 - KNTT
- Giải sgk Sinh học 11 - KNTT
- Giải sgk Lịch Sử 11 - KNTT
- Giải sgk Địa Lí 11 - KNTT
- Giải sgk Giáo dục KTPL 11 - KNTT
- Giải sgk Tin học 11 - KNTT
- Giải sgk Công nghệ 11 - KNTT
- Giải sgk Hoạt động trải nghiệm 11 - KNTT
- Giải sgk Giáo dục quốc phòng 11 - KNTT
- Giải sgk Âm nhạc 11 - KNTT
- Lớp 11 - Chân trời sáng tạo
- Soạn văn 11 (hay nhất) - CTST
- Soạn văn 11 (ngắn nhất) - CTST
- Giải sgk Toán 11 - CTST
- Giải sgk Vật Lí 11 - CTST
- Giải sgk Hóa học 11 - CTST
- Giải sgk Sinh học 11 - CTST
- Giải sgk Lịch Sử 11 - CTST
- Giải sgk Địa Lí 11 - CTST
- Giải sgk Giáo dục KTPL 11 - CTST
- Giải sgk Hoạt động trải nghiệm 11 - CTST
- Giải sgk Âm nhạc 11 - CTST
- Lớp 11 - Cánh diều
- Soạn văn 11 Cánh diều (hay nhất)
- Soạn văn 11 Cánh diều (ngắn nhất)
- Giải sgk Toán 11 - Cánh diều
- Giải sgk Vật Lí 11 - Cánh diều
- Giải sgk Hóa học 11 - Cánh diều
- Giải sgk Sinh học 11 - Cánh diều
- Giải sgk Lịch Sử 11 - Cánh diều
- Giải sgk Địa Lí 11 - Cánh diều
- Giải sgk Giáo dục KTPL 11 - Cánh diều
- Giải sgk Tin học 11 - Cánh diều
- Giải sgk Công nghệ 11 - Cánh diều
- Giải sgk Hoạt động trải nghiệm 11 - Cánh diều
- Giải sgk Giáo dục quốc phòng 11 - Cánh diều
- Giải sgk Âm nhạc 11 - Cánh diều


Giải bài tập SGK & SBT
Tài liệu giáo viên
Sách
Khóa học
Thi online
Hỏi đáp

