Viết phương trình tiếp tuyến đi qua một điểm
Bài viết Viết phương trình tiếp tuyến đi qua một điểm với phương pháp giải chi tiết giúp học sinh ôn tập, biết cách làm bài tập Viết phương trình tiếp tuyến đi qua một điểm.
Viết phương trình tiếp tuyến đi qua một điểm
(199k) Xem Khóa học Toán 11 KNTTXem Khóa học Toán 11 CDXem Khóa học Toán 11 CTST
A. Phương pháp giải & Ví dụ
Phương trình tiếp tuyến của đồ thị (C): y = f(x) đi qua điểm M(x1; y1)
Cách 1 :
- Phương trình đường thẳng (d) đi qua điểm M có hệ số góc là k có dạng :
y = k( x – x1) + y1.
- (d) tiếp xúc với đồ thị (C) tại N(x0; y0) khi hệ:
có nghiệm xo
Cách 2 :
- Gọi N(x0; y0) là tọa độ tiếp điểm của đồ thị (C) và tiếp tuyến (d) qua điểm M, nên (d) cũng có dạng y = y’0(x – x0) + y0.
- (d) đi qua điểm nên có phương trình : y1 = y0'(x1 – x0) + y0 (*)
- Từ phương trình (*) ta tìm được tọa độ điểm N(x0; y0) , từ đây ta tìm được phương trình đường thẳng (d)
Ví dụ minh họa
Bài 1: Cho hàm số y = 2x3 - 3x2 + 5 có đồ thị là (C). Tìm phương trình các đường thẳng đi qua điểm A (19/12; 4) và tiếp xúc với đồ thị (C) của hàm số.
Hướng dẫn:
Hàm số đã cho xác định D = R
Ta có: y’ = 6x2 – 6x
Gọi M(x0; y0)∈(C)⇔ y0 = 2x03 - 3x02 + 5 và y'(x0) = 6x02 - 6x0
Phương trình tiếp tuyến Δ của (C) tại M có dạng:
y – y0 = y’(x0)(x – x0)
⇔ y - 2x03 + 3x02 - 5 = (6x02 - 6x0)(x - x0 )
⇔ (6x02- 6x0)x - 4x03 + 3x03 + 5 = y
A ∈ Δ ⇔4 =(6x02 - 6x0).(19/12) - 4x03 + 3x03 + 5
⇔8x03 - 25x02 + 19x0 - 2 = 0
⇔x0 = 1 hoặc x0 = 2 hoặc x0 = 1/8
Với x0 = 1 ⇒ Δ:y = 4
Với x0 = 2 ⇒ Δ:y = 12x - 15
Với x0 = 1/8 ⇒ Δ:y = (-21/32)x + 645/128
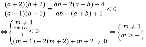
Bài 2: Cho hàm số: có đồ thị là (C) và điểm A(0; m). Xác định m để từ A kẻ được 2 tiếp tuyến đến (C) sao cho hai tiếp điểm tương ứng nằm về hai phía đối với trục Ox.
Hướng dẫn:
TXĐ: D = R\{1}
Gọi điểm M(x0; y0).
Ta có y’ = -3/(x-1)2
Tiếp tuyến Δ tại M của (C) có phương trình:
Vì tiếp tuyến qua A(0; m) nên ta có:
Yêu cầu bài toán ⇔ (*) có hai nghiệm a, b khác 1 sao cho
Khi đó:
Ta có: (*) có hai nghiệm a, b khác 1 sao cho
Vậy 1 ≠ m > (-2/3) là những giá trị cần tìm
Bài 3: Cho hàm số y = x3 – 2x2 + (m – 1)x + 2m có đồ thị là (Cm). Tìm m để từ điểm M(1; 2) vẽ đến (Cm) đúng hai tiếp tuyến.
Hướng dẫn:
Ta có: y' = 3x2 - 4x + m-1. Gọi A(a; b) là tọa độ tiếp điểm.
Phương trình tiếp tuyến Δ tại A:
y =(3a2-4a+m-1)(x-a) + a3-2x2+(m-1)a+2m
Vì M ∈ Δ ⇔2 = (3a2-4a+m-1)(1-a) + a3-2x2+(m-1)a+2m
⇔2a3+5a2-4a+3m-3 = 0 (*)
Yêu cầu bài toán tương đương với (*) có đúng hai nghiệm phân biệt. (1)
Xét hàm số: h(t) = 2t3+5t2-4t, t∈R.
Ta có: h’(t) = 6t2+10t-4. Cho h’(t) = 0 ⇒
Bảng biến thiên
Dựa vào bảng biến thiên, suy ra (1)
⇒ là những giá trị cần tìm.
Bài 4: Cho hàm số y = (1/3)x3-2x2+3x có đồ thị là (C). Tìm phương trình các đường thẳng đi qua điểm A(4/9; 4/3) và tiếp xúc với đồ thị (C) của hàm số.
Hướng dẫn:
Ta có: y' = x2-4x+3. Gọi A(a; b) là tọa độ tiếp điểm.
Phương trình tiếp tuyến Δ tại A:
Với a = 0, phương trình tiếp tuyến cần tìm là: y = 3x
Với a = 1, phương trình tiếp tuyến cần tìm là: y = 4/3
Với a = 8/3, phương trình tiếp tuyến cần tìm là: y = (-5/9)x + 128/81
Bài 5: Viết phương trình tiếp tuyến của đồ thị hàm số , biết tiếp tuyến đi qua điểm M(6;4)
Hướng dẫn:
Ta có:
Gọi A(a; b) là tọa độ tiếp điểm
Phương trình tiếp tuyến Δ tại A:
Với a = 0, phương trình tiếp tuyến cần tìm là: y = (3/4)x - 1/2
Với a = 3, phương trình tiếp tuyến cần tìm là: y = 4
Bài 6: Viết phương trình tiếp tuyến d với đồ thị (C): biết d đi qua điểm A(-6; 5)
Hướng dẫn:
Ta có:
Gọi A(a; b) là tọa độ tiếp điểm.
Phương trình tiếp tuyến Δ tại A:
Với a = 0, phương trình tiếp tuyến cần tìm là: y = -x-1
Với a = 6, phương trình tiếp tuyến cần tìm là: y = (-1/4)(x-6) + 2 = (-1/4)x + 7/2
Bài 7: Viết phương trình tiếp tuyến của (C): y = x3 – 2x2 + x + 4 đi qua điểm M( -4; -24)
Hướng dẫn:
Ta có: y' = 3x2-4x+1. Gọi A(a; b) là tọa độ tiếp điểm
Phương trình tiếp tuyến Δ tại A:
y = (3a2-4a+1)(x-a)+a3-2a2+a+4
Vì A(-4; -24) ∈ Δ ⇔ -24 = (3a2-4a+1)(-4-a)+a3-2a2+a+4
⇔ -2a3-10a2+16a+24 = 0 ⇔
Với a = -6, phương trình tiếp tuyến cần tìm là: y = 133(x+6)-240 = 133x+508
Với a = 2, phương trình tiếp tuyến cần tìm là: y = 5(x-2)+6 = 5x-10
Với a = -1, phương trình tiếp tuyến cần tìm là: y = 8(x+1)+2 = 8x+10
B. Bài tập vận dụng
Bài 1: Cho hàm số tiếp tuyến của đồ thị hàm số kẻ từ điểm (-6; 5) là
Lời giải:
Đáp án: B
Chọn B
Ta có:
Gọi A(a; b) là tọa độ tiếp điểm
Phương trình tiếp tuyến Δ tại A:
Với a = 0, phương trình tiếp tuyến cần tìm là: y = -x-1
Với a = 6, phương trình tiếp tuyến cần tìm là: y = (-1/4)(x-6)+2 = (-1/4)x + 7/2
Bài 2: Tiếp tuyến kẻ từ điểm (2; 3) tới đồ thị hàm số là:
A. y = -28x + 59; y = x + 1
B. y = -24x + 51; y = x + 1
C. y = -28x + 59
D. y = - 28x + 59; y = -24x + 51
Lời giải:
Đáp án: C
Chọn C
Ta có:
Gọi A(a; b) là tọa độ tiếp điểm.
Phương trình tiếp tuyến Δ tại A:
Với a = 3/2, phương trình tiếp tuyến cần tìm là: y = -28(x-3/2) + 17 = -28x + 59
Bài 3: Cho hàm số có đồ thị (C). Phương trình tiếp tuyến của (C) đi qua điểm A(- 1; 0) là:
A.y = (3/4)x
B. y = (3/4)(x+1)
C. y = 3(x + 1)
D. y = 3x + 1
Lời giải:
Đáp án: B
Chọn B.
Ta có:
Gọi d là phương trình tiếp tuyến của (C) có hệ số góc k
Vì A(-1; 0) ∈ d suy ra d: y = k(x + 1) = kx + k
d tiếp xúc với (C) khi hệ có nghiệm
Thay (2) vào (1) ta được x = 1, suy ra k = y’(1) = 3/4
Vậy phương trình tiếp tuyến của (C) đi qua điểm A(-1; 0) là: y = (3/4)(x+1)
Bài 4: Qua điểm A(0; 2) có thể kẻ được bao nhiêu tiếp tuyến với đồ thị của hàm số y = x4 - 2x2 + 2
A. 2 B. 3 C. 0 D. 1
Lời giải:
Đáp án: B
Chọn B.
Gọi d là tiếp tuyến của đồ thị hàm số đã cho.
Vì A(0; 2) ∈ d nên phương trình của d có dạng: y = kx + 2
Vì d tiếp xúc với đồ thị (C) nên hệ có nghiệm
Thay (2) và (1) ta suy ra được :
Chứng tỏ từ A có thể kẻ được 3 tiếp tuyến đến đồ thị (C)
Bài 5: Cho hàm số y = - x4 + 2x2 có đồ thị (C). Xét hai mệnh đề:
(I) Đường thẳng Δ: y = 1 là tiếp tuyến với (C) tại M(-1; 1) và tại N(1; 1)
(II) Trục hoành là tiếp tuyến với (C) tại gốc toạ độ
Mệnh đề nào đúng?
A. Chỉ (I)
B. Chỉ (II)
C. Cả hai đều sai
D. Cả hai đều đúng
Lời giải:
Đáp án: D
Chọn đáp án D
Ta có y’(-1) = y’(1) = 0 ⇒ (I) đúng
Ta có y’(0) = 0 ⇒ (II) đúng
Bài 6: Cho hàm số y = x3 – 6x2 + 9x – 1 có đồ thị là (C). Từ một điểm bất kì trên đường thẳng x = 2 kẻ được bao nhiêu tiếp tuyến đến (C):
A. 2 B. 1 C. 3 D. 0
Lời giải:
Đáp án: B
Chọn đáp án B.
Xét đường thẳng kẻ từ một điểm bất kì trên đường thẳng x = 2 có dạng d: y = k(x – 2)
d là tiếp tuyến của (C)
Phương trình bậc ba có duy nhất một nghiệm tương ứng cho ta một giá trị k. Vậy có một tiếp tuyến.
Bài 7: Đường thẳng y = 3x + m là tiếp tuyến của đồ thị hàm số y = x3 + 2 khi m bằng
A. 1 hoặc -1
B. 4 hoặc 0
C. 2 hoặc -2
D.3 hoặc -3
Lời giải:
Đáp án: B
Chọn B.
Đường thẳng y = 3x + m và đồ thị hàm số y = x3 + 2 tiếp xúc nhau
Bài 8: Định m để đồ thị hàm số y = x3 – mx2 + 1 tiếp xúc với đường thẳng d: y = 5?
A. m = -3 B. m = 3 C. m = -1 D. m = 2
Lời giải:
Đáp án: A
Chọn A
Đường thẳng y = 5 và đồ thị hàm số y = x3 – mx2 + 1 tiếp xúc nhau
+ Với x = 0 thay vào (1) không thỏa mãn
+ Với x = 2m/3 thay vào (1) ta có: m3 = -27⇔ m = -3
Bài 9: Phương trình tiếp tuyến của (C): y = x3 biết nó đi qua điểm M(2; 0) là:
A. y = 27x ± 54
B. y = 27x – 9; y = 27x – 2
C. y = 27x ± 27
D. y = 0; y = 27x – 54
Lời giải:
Đáp án: D
Chọn D.
+ y’ = 3x2
+ Gọi A(a ; b) là tiếp điểm. Phương trình tiếp tuyến của (C) tại A là:
y = 3a2(x – a) + a3 (d)
+ Vì tiếp tuyến (d) đí qua M(2 ; 0) nên ta có phương trình:
0 = 3a2(2 – a) + a3 ⇔
+ Với a = 0 thay vào (d) ta có tiếp tuyến y = 0
+ Với a = 3 thay vào (d) ta có tiếp tuyến y = 27x – 54
Bài 10: Cho hàm số y = x2 – 5x – 8 có đồ thị (C). Khi đường thẳng y = 3x + m tiếp xúc với (C) thì tiếp điểm sẽ có tọa độ là:
A. M(4; 12) B. M(- 4; 12) C. M(-4; - 12) D. M( 4; - 12)
Lời giải:
Đáp án: D
Đáp án D
Đường thẳng d: y = 3x + m tiếp xúc với (C) ⇒ d là tiếp tuyến với (C) tại A(a; b)
y’ = 2x – 5
y’(a) = 3 ⇒ a = 4, b = -12
Bài 11: Cho hàm số có đồ thị (C). Từ điểm M(2; -1) có thể kẻ đến (C) hai tiếp tuyến phân biệt. Hai tiếp tuyến này có phương trình:
A. y = -x + 1 và y = x – 3
B. y = 2x – 5 và y = -2x + 3
C. y = -x – 1 và y = - x + 3
D. y = x + 1 và y = - x – 3
Lời giải:
Đáp án: A
Chọn A
Gọi N(a;b) là tiếp điểm
y’ = x/2 - 1
Phương trình tiếp tuyến tại N là:
Mà tiếp tuyến đi qua M(2; -1)
Với a = 0, phương trình tiếp tuyến là : y = -x + 1
Với a = 4. Phương trình tiếp tuyến : y = x – 3
Bài 12: Cho hàm số y = x3 + 3x2 – 6x + 1 (C). Tìm phương trình tiếp tuyến của đồ thị (C) trong các phương trình sau, biết tiếp tuyến đi qua điểm N(0; 1).
Lời giải:
Đáp án: C
Chọn C
Gọi M(a; b) là tiếp điểm
Ta có: y’ = 3x2 + 6x – 6
Phương trình tiếp tuyến có dạng:
y = (3a2+6a-6)(x-a)+a3+3a2-6a+1
Vì tiếp tuyến đi qua N(0; 1) nên ta có:
1 = (3a2+6a-6)(0-a)+a3+3a2-6a+1
⇔ 2a3+3a2 = 0
a = 0. Phương trình tiếp tuyến: y = -6x + 1
a = -3/2. Phương trình tiếp tuyến: y = (-33/4)x + 1
Bài 13: Cho hàm số y = x4 + x2 + 1 (C). Viết phương trình tiếp tuyến của đồ thị (C), biết tiếp tuyến đi qua điểm M(-1; 3).
A. y = -6x – 2
B. y = -6x – 9
C. y = -6x – 3
D. y = -6x – 8
Lời giải:
Đáp án: C
Chọn C
Ta có: y’ = 4x3 + 2x. Gọi M(a; b) là tiếp điểm
Phương trình tiếp tuyến có dạng:
y = (4a3+2a)(x-a)+a4+a2+1
Vì tiếp tuyến đi qua M(-1; 3) nên ta có:
3 = (4a3+2a)(-1-a)+a4+a2+1
⇔3a4+4a3+a2+2a+2 = 0
⇔(a+1)2(3a2-2a+2) = 0
⇔ a = -1
Phương trình tiếp tuyến: y = -6x – 3
Bài 14: Cho hàm số Viết phương trình tiếp tuyến của (C), biết tiếp tuyến đi qua điểm A(4; 3)
Lời giải:
Đáp án: D
Chọn D
Hàm số xác định với mọi x ≠ 1. Ta có:
Gọi M(a; b) là tiếp điểm, suy ra phương trình tiếp tuyến của (C):
Vì tiếp tuyến đi qua A(4; 3) nên ta có:
+ a = 7. Phương trình tiếp tuyến y = (-1/9)x + 31/9
+ a = - 3. Phương trình tiếp tuyến y = (-1/4)x - 1/4
Bài 15: Cho hàm số Viết phương trình tiếp tuyến của (C) biết tiếp tuyến đi qua A( - 7; 5).
Lời giải:
Đáp án: D
Chọn D
Ta có
Gọi M(a; b) là tiếp điểm. Do tiếp tuyến đi qua A(-7; 5) nên ta có:
Từ đó ta tìm được các tiếp tuyến là:
C. Bài tập tự luyện
Bài 1. Viết phương trình tiếp tuyến của hàm số có đồ thị (C): y = x3 – 3x + 1, biết tiếp tuyến đi qua điểm A(1; -1).
Bài 2. Viết phương trình tiếp tuyến của đường tròn (C): x2 + y2 – 4x – 4y + 4 = 0, biết tiếp tuyến đi qua điểm A(4; 6).
Bài 3. Cho hàm số y = x4 + x2 + 1 có đồ thị (C). Viết phương trình tiếp tuyến với đồ thị (C) biết tiếp tuyến đi qua điểm M(−1; 3).
Bài 4. Có bao nhiêu đường thẳng đi qua điểm N(-2; 0) tiếp xúc với đường tròn (C): (x – 2)2 + (y + 3)2 = 4?
Bài 5. Cho đường tròn (C): x2 + y2 + 2x – 4y = 0.
a, Tìm tâm và bán kính của (C).
b, Viết phương trình tiếp tuyến của (C) tại điểm A (1; 1)
c, Viết phương trình tiếp tuyến của (C) đi qua điểm B(4; 7).
(199k) Xem Khóa học Toán 11 KNTTXem Khóa học Toán 11 CDXem Khóa học Toán 11 CTST
Xem thêm các dạng bài tập Toán lớp 11 có trong đề thi THPT Quốc gia khác:
- Dạng 1: Viết phương trình tiếp tuyến khi biết tiếp điểm
- Dạng 2: Viết phương trình tiếp tuyến khi biết hệ số góc
- 60 bài tập trắc nghiệm Viết phương trình tiếp tuyến có đáp án (phần 1)
- 60 bài tập trắc nghiệm Viết phương trình tiếp tuyến có đáp án (phần 2)
Tủ sách VIETJACK shopee lớp 10-11 (cả 3 bộ sách):
Đã có app VietJack trên điện thoại, giải bài tập SGK, SBT Soạn văn, Văn mẫu, Thi online, Bài giảng....miễn phí. Tải ngay ứng dụng trên Android và iOS.
Theo dõi chúng tôi miễn phí trên mạng xã hội facebook và youtube:Nếu thấy hay, hãy động viên và chia sẻ nhé! Các bình luận không phù hợp với nội quy bình luận trang web sẽ bị cấm bình luận vĩnh viễn.
- Giải Tiếng Anh 11 Global Success
- Giải sgk Tiếng Anh 11 Smart World
- Giải sgk Tiếng Anh 11 Friends Global
- Lớp 11 - Kết nối tri thức
- Soạn văn 11 (hay nhất) - KNTT
- Soạn văn 11 (ngắn nhất) - KNTT
- Giải sgk Toán 11 - KNTT
- Giải sgk Vật Lí 11 - KNTT
- Giải sgk Hóa học 11 - KNTT
- Giải sgk Sinh học 11 - KNTT
- Giải sgk Lịch Sử 11 - KNTT
- Giải sgk Địa Lí 11 - KNTT
- Giải sgk Giáo dục KTPL 11 - KNTT
- Giải sgk Tin học 11 - KNTT
- Giải sgk Công nghệ 11 - KNTT
- Giải sgk Hoạt động trải nghiệm 11 - KNTT
- Giải sgk Giáo dục quốc phòng 11 - KNTT
- Giải sgk Âm nhạc 11 - KNTT
- Lớp 11 - Chân trời sáng tạo
- Soạn văn 11 (hay nhất) - CTST
- Soạn văn 11 (ngắn nhất) - CTST
- Giải sgk Toán 11 - CTST
- Giải sgk Vật Lí 11 - CTST
- Giải sgk Hóa học 11 - CTST
- Giải sgk Sinh học 11 - CTST
- Giải sgk Lịch Sử 11 - CTST
- Giải sgk Địa Lí 11 - CTST
- Giải sgk Giáo dục KTPL 11 - CTST
- Giải sgk Hoạt động trải nghiệm 11 - CTST
- Giải sgk Âm nhạc 11 - CTST
- Lớp 11 - Cánh diều
- Soạn văn 11 Cánh diều (hay nhất)
- Soạn văn 11 Cánh diều (ngắn nhất)
- Giải sgk Toán 11 - Cánh diều
- Giải sgk Vật Lí 11 - Cánh diều
- Giải sgk Hóa học 11 - Cánh diều
- Giải sgk Sinh học 11 - Cánh diều
- Giải sgk Lịch Sử 11 - Cánh diều
- Giải sgk Địa Lí 11 - Cánh diều
- Giải sgk Giáo dục KTPL 11 - Cánh diều
- Giải sgk Tin học 11 - Cánh diều
- Giải sgk Công nghệ 11 - Cánh diều
- Giải sgk Hoạt động trải nghiệm 11 - Cánh diều
- Giải sgk Giáo dục quốc phòng 11 - Cánh diều
- Giải sgk Âm nhạc 11 - Cánh diều


Giải bài tập SGK & SBT
Tài liệu giáo viên
Sách
Khóa học
Thi online
Hỏi đáp

