Cách chứng minh phương trình có nghiệm (cực hay, chi tiết)
Bài viết Cách chứng minh phương trình có nghiệm với phương pháp giải chi tiết giúp học sinh ôn tập, biết cách làm bài tập Cách chứng minh phương trình có nghiệm.
Cách chứng minh phương trình có nghiệm (cực hay, chi tiết)
(199k) Xem Khóa học Toán 11 KNTTXem Khóa học Toán 11 CDXem Khóa học Toán 11 CTST
A. Phương pháp giải
+) Áp dụng định lý: Nếu hàm số y = f(x) liên tục trên đoạn [a; b] và f(a).f(b) < 0, thì phương trình f(x) = 0 có ít nhất 1 nghiệm nằm trong khoảng (a; b).
+) Các bước làm bài chứng minh phương trình có nghiệm.
- Bước 1: Biến đổi phương trình cần chứng minh về dạng f(x) = 0.
- Bước 2: Tìm 2 số a và b (a < b) sao cho f(a) . f(b) < 0
- Bước 3: Chứng minh hàm số y = f(x) liên tục trên đoạn [a; b].
Từ đó suy ra phương trình f(x) = 0 có ít nhất một nghiệm thuộc (a; b).
Lưu ý: Các bước trên có thể thay đổi thứ tự.
+) Một số chú ý:
- Nếu f(a).f(b) ≤ 0 thì phương trình có ít nhất 1 nghiệm thuộc [a; b].
- Nếu hàm số f(x) liên tục trên [a; + ∞) và có f(a) . < 0 thì phương trình f(x) = 0 có ít nhất 1 nghiệm thuộc (a; +∞).
- Nếu hàm số f(x) liên tục trên (-∞; a] và có f(a) . < 0 thì phương trình f(x) = 0 có ít nhất 1 nghiệm thuộc (-∞; a).
B. Ví dụ minh họa
Ví dụ 1: Chứng minh rằng phương trình x3 + x - 1 = 0 có nghiệm.
Hướng dẫn giải:
Đặt f(x) = x3 + x - 1
Hàm f(x) là hàm đa thức nên f(x) liên tục trên R (định lý cơ bản về tính liên tục)
Suy ra hàm f(x) liên tục trên đoạn [0; 1] (vì [0; 1] ⊂R) (1)
Ta có: f(0) = 03 + 0 – 1 = - 1 ; f(1) = 13 + 1 – 1 = 1
⇒ f(0) . f(1) = - 1. 1 = - 1 < 0 (2)
Từ (1) và (2) suy ra f(x) = 0 có ít nhất 1 nghiệm thuộc (0; 1) (tính chất hàm số liên tục).
Vậy phương trình x3 + x - 1 = 0 có nghiệm (đpcm).
Ví dụ 2: Chứng minh 4x4 + 2x2 - x - 3 = 0 có ít nhất hai nghiệm thuộc khoảng (-1; 1).
Hướng dẫn giải:
+ Đặt f(x) = 4x4 + 2x2 - x - 3
Vì f(x) là hàm đa thức nên f(x) liên tục trên R.
Suy ra f(x) liên tục trên các đoạn [-1 ; 0] và [0; 1].
+ Ta có: f(-1) = 4.(-1)4 + 2.(-1)2 - (-1) - 3 = 4
f(0) = 4.0 + 2.0 - 0 - 3 = -3
f(1) = 4.14 + 2.12 - 1 - 3 = 2
+ Vì f(-1).f(0) = 4.(-3) = -12 < 0 nên phương trình f(x) = 0 có ít nhất 1 nghiệm thuộc (-1; 0)
Vì f(0) . f(1) = -3 . 2 = -6 < 0 nên phương trình f(x) = 0 có ít nhất 1 nghiệm thuộc (0; 1)
Mà hai khoảng (-1; 0) và (0; 1) không giao nhau. Từ đó suy ra phương trình đã cho có ít nhất hai nghiệm thuộc (-1; 1). (đpcm)
Ví dụ 3: Chứng minh rằng phương trình x5 - 5x3 + 4x - 1 = 0 có đúng 5 nghiệm.
Hướng dẫn giải:
Đặt f(x) = x5 - 5x3 + 4x - 1 thì f(x) liên tục trên R (vì f(x) là hàm đa thức).
Ta có:
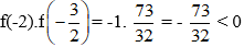
Vì nên phương trình f(x) = 0 có ít nhất 1 nghiệm thuộc
Vì nên phương trình f(x) = 0 có ít nhất 1 nghiệm thuộc khoảng
Vì nên phương trình f(x) = 0 có ít nhất 1 nghiệm thuộc khoảng
Vì nên phương trình f(x) = 0 có ít nhất 1 nghiệm thuộc khoảng
Vì f(1) . f(3) = -1 . 119 = -119 < 0 nên phương trình f(x) = 0 có ít nhất 1 nghiệm thuộc khoảng (1; 3).
Do các khoảng không giao nhau nên phương trình f(x) = 0 có ít nhất 5 nghiệm.
Mà phương trình f(x) = 0 có bậc là 5, nên nó có không quá 5 nghiệm
Vậy phương trình f(x) = 0 có đúng 5 nghiệm (đpcm).
Ví dụ 4: Chứng minh rằng phương trình (m2 - m + 3)x2n - 2x - 4 = 0 với n ∈ N* luôn có ít nhất 1 nghiệm âm với mọi giá trị của tham số m.
Hướng dẫn giải:
Đặt f(x) = (m2 - m + 3)x2n - 2x - 4
Ta có:
Mặt khác hàm số f(x) xác định là liên tục trên R nên hàm số liên tục trên đoạn [-2; 0]
Do đó phương trình f(x) = 0 có ít nhất 1 nghiệm thuộc khoảng (-2; 0).
Vậy phương trình đã cho luôn có ít nhất 1 nghiệm âm với mọi giá trị của tham số m.
Ví dụ 5: Chứng minh rằng với mọi a, b, c phương trình x3 + ax2 + bx + c = 0 luôn có nghiệm.
Hướng dẫn giải:
Đặt f(x) = x3 + ax2 + bx + c thì f(x) liên tục trên R (vì f(x) là hàm đa thức).
Ta có: ⇒∃ x1 > 0 để f(x1) > 0
Tương tự: ⇒∃ x2 < 0 để f(x2) < 0
Như vậy có x1 ; x2 để f(x1) . f(x2) < 0 suy ra phương trình có nghiệm x ∈ (x1; x2)
Vậy phương trình đã cho luôn có nghiệm với mọi a, b, c.
C. Bài tập tự luyện
Bài 1. Chứng minh phương trình sau luôn có nghiệm với mọi giá trị của tham số m:
(1 – m2)(x + 1)3 + x2 – x – 3 = 0.
Bài 2. Cho phương trình: . Chứng minh phương trình luôn có nghiệm với mọi giá trị của tham số m.
Bài 3. Chứng minh phương trình 2x2 + (2m – 1)x + m – 1 luôn có nghiệm với mọi m.
Bài 4. Chứng minh phương trình m(x - 1)3(x + 2) + 2x + 3 = 0 luôn có nghiệm với mọi m thuộc ℝ.
Bài 5. Chứng minh rằng phương trình (1 – m2)x5 – 3x – 1 = 0 luôn có nghiệm với mọi m.
Bài 6. Cho phương trình bậc hai: x2 – (m + 2)x + 2m = 0 với m là tham số. Chứng minh rằng phương trình đã cho luôn có nghiệm với mọi m
Bài 7. Chứng minh rằng phương trình x3 + mx2 – (3 + m2)x – 2m + 1 = 0 luôn có nghiệm với mọi m.
Bài 8. Cho phương trình: x2 – (2m + 1)x + m2 + m - 1 = 0 (m là tham số)
a) Chứng minh rằng phương trình đã cho luôn có nghiệm với mọi m.
b) Gọi x1, x2 là hai nghiệm của phương trình. Tìm m sao cho A = (2x1 – x2)(2x2 – x1) đạt giá trị nhỏ nhất và tính giá trị nhỏ nhất đó.
Bài 9. Cho phương trình x2 – mx + m – 2 = 0 (m là tham số). Chứng minh phương trình đã cho luôn có hai nghiệm phân biệt với mọi giá trị của tham số m.
Bài 10. Chứng minh rằng phương trình 4x3 - 8x2 + 1 = 0 có nghiệm trong khoảng (–1; 2).
Bài 11. Chứng minh rằng phương trình x3 + x - 1 = 0 có nghiệm.
Bài 12. Chứng minh 4x4 + 2x2 - x - 3 = 0 có ít nhất hai nghiệm thuộc khoảng (-1; 1).
Bài 13. Chứng minh rằng phương trình x5 - 5x3 + 4x - 1 = 0 có đúng 5 nghiệm.
Bài 14. Chứng minh rằng phương trình (m2 - m + 3)x2n - 2x - 4 = 0 với n ∈ ℕ* luôn có ít nhất 1 nghiệm âm với mọi giá trị của tham số m.
Bài 15. Chứng minh phương trình sau có ít nhất một nghiệm: x3 – 5x2 + 7 = 0.
Bài 16. Cho ba số a, b, c thoả mãn hệ thức 2a + 3b + 6c = 0. Chứng minh rằng phương trình ax2 + bx + c = 0 có ít nhất một nghiệm thuộc khoảng (0; 1).
Bài 17. Chứng minh rằng với mọi số thực a, b, c phương trình (x – a)(x – b) + (x – b)(x – c) + (x – c)(x – a) = 0 có ít nhất một nghiệm.
Bài 18. Chứng minh phương trình x3 + x + 1 = 0 có ít nhất một nghiệm âm lớn hơn -1.
Bài 19. Chứng minh phương trình sau có ít nhất một nghiệm: x5 + x – 3 = 0
Tủ sách VIETJACK shopee lớp 10-11 (cả 3 bộ sách):
Đã có app VietJack trên điện thoại, giải bài tập SGK, SBT Soạn văn, Văn mẫu, Thi online, Bài giảng....miễn phí. Tải ngay ứng dụng trên Android và iOS.
Theo dõi chúng tôi miễn phí trên mạng xã hội facebook và youtube:Nếu thấy hay, hãy động viên và chia sẻ nhé! Các bình luận không phù hợp với nội quy bình luận trang web sẽ bị cấm bình luận vĩnh viễn.
- Giải Tiếng Anh 11 Global Success
- Giải sgk Tiếng Anh 11 Smart World
- Giải sgk Tiếng Anh 11 Friends Global
- Lớp 11 - Kết nối tri thức
- Soạn văn 11 (hay nhất) - KNTT
- Soạn văn 11 (ngắn nhất) - KNTT
- Giải sgk Toán 11 - KNTT
- Giải sgk Vật Lí 11 - KNTT
- Giải sgk Hóa học 11 - KNTT
- Giải sgk Sinh học 11 - KNTT
- Giải sgk Lịch Sử 11 - KNTT
- Giải sgk Địa Lí 11 - KNTT
- Giải sgk Giáo dục KTPL 11 - KNTT
- Giải sgk Tin học 11 - KNTT
- Giải sgk Công nghệ 11 - KNTT
- Giải sgk Hoạt động trải nghiệm 11 - KNTT
- Giải sgk Giáo dục quốc phòng 11 - KNTT
- Giải sgk Âm nhạc 11 - KNTT
- Lớp 11 - Chân trời sáng tạo
- Soạn văn 11 (hay nhất) - CTST
- Soạn văn 11 (ngắn nhất) - CTST
- Giải sgk Toán 11 - CTST
- Giải sgk Vật Lí 11 - CTST
- Giải sgk Hóa học 11 - CTST
- Giải sgk Sinh học 11 - CTST
- Giải sgk Lịch Sử 11 - CTST
- Giải sgk Địa Lí 11 - CTST
- Giải sgk Giáo dục KTPL 11 - CTST
- Giải sgk Hoạt động trải nghiệm 11 - CTST
- Giải sgk Âm nhạc 11 - CTST
- Lớp 11 - Cánh diều
- Soạn văn 11 Cánh diều (hay nhất)
- Soạn văn 11 Cánh diều (ngắn nhất)
- Giải sgk Toán 11 - Cánh diều
- Giải sgk Vật Lí 11 - Cánh diều
- Giải sgk Hóa học 11 - Cánh diều
- Giải sgk Sinh học 11 - Cánh diều
- Giải sgk Lịch Sử 11 - Cánh diều
- Giải sgk Địa Lí 11 - Cánh diều
- Giải sgk Giáo dục KTPL 11 - Cánh diều
- Giải sgk Tin học 11 - Cánh diều
- Giải sgk Công nghệ 11 - Cánh diều
- Giải sgk Hoạt động trải nghiệm 11 - Cánh diều
- Giải sgk Giáo dục quốc phòng 11 - Cánh diều
- Giải sgk Âm nhạc 11 - Cánh diều


Giải bài tập SGK & SBT
Tài liệu giáo viên
Sách
Khóa học
Thi online
Hỏi đáp

