Cách tìm vi phân của hàm số (hay, chi tiết)
Bài viết Cách tìm vi phân của hàm số với phương pháp giải chi tiết giúp học sinh ôn tập, biết cách làm bài tập Cách tìm vi phân của hàm số.
Cách tìm vi phân của hàm số (hay, chi tiết)
(199k) Xem Khóa học Toán 11 KNTTXem Khóa học Toán 11 CDXem Khóa học Toán 11 CTST
A. Phương pháp giải
Cho hàm số y= f( x) xác định trên khoảng (a; b) và có đạo hàm tại x ∈(a;b ).
Ta gọi tích f' (x).∆ x là vi phân của hàm số y= f( x) tại x ứng với số gia ∆ x.
Kí hiệu: dy=df(x)=f' (x).∆ x
⇒ Để tính vi phân của hàm số y= f(x) ( trong trường hợp tại điểm đó hàm số có đạo hàm) ta làm như sau:
+ Bước 1. Tính đạo hàm f' (x) của hàm số.
+ Bước 2. Vi phân của hàm số là: dy=d(f(x))=f' (x).dx
B. Ví dụ minh họa
Ví dụ 1. Cho hàm số y= x3 +3x2 + 10x+ 90. Tìm vi phân của hàm số
A. dy=3x2 + 6x+ 10 B. dy= ( 3x2 + 6x+ 10).dx
C.dy = ( x2 + 3x+ 10).dx D. Đáp án khác
Hướng dẫn giải
+ Hàm số đã cho có đạo hàm tại mọi điểm và y'= 3x2 +6x+ 10
⇒ Vi phân của hàm số đã cho là :
dy=d( x3+ 3x2 + 10x+ 90)= ( 32 + 6x+ 10).dx
chọn B.
Ví dụ 2. Cho hàm số y= √(x2-4) . Tìm dy?
Hướng dẫn giải
Hàm số có đạo hàm tại các điểm x2- 4 > 0 hay x > 2 hoặc x <-2 .
Tại các diểm đó hàm số có đạo hàm là:
Ví dụ 3. Cho hàm số y= cos2x+ sin (x- 3). Tìm vi phân của hàm số?
A.dy= [- 2sin2x+ cos( x- 3)] dx B. dy= [2sin2x+ cos( x- 3)] ∆x
C. dy= [2sin2x+ cos( x- 3)] dx D.dy= [ 2sin2x – cos( x- 3)] dx
Hướng dẫn giải
Hàm số đã cho xác định và có đạo hàm tại mọi điểm.
Đạo hàm của hám số là; y^'= -2sin2x+cos( x-3)
⇒ Vi phân của hàm số đã cho là ;
dy= d[ cos2x+ sin( x- 3) ] = [- 2sin2x+ cos( x- 3)] dx
Chọn A.
Ví dụ 4. Tìm vi phân của hàm số: y= (x-1)/(2x-4)?
Hướng dẫn giải
Điều kiện: x≠2
Tại các điểm x≠2 hàm số có đạo hàm là ;
Ví dụ 5. Tìm vi phân của hàm số: y=(x2-2x+3)/(x-2)?
Hướng dẫn giải
Điều kiện xác định: x≠2
Với x≠2 hàm số có đạo hàm là;
Ví dụ 6. Tìm vi phân của hàm số: y= (x3+2x-3)2
A. dy= (x3+2x-3).(x2+2x-3).dx
B. dy= (x3+2x-3).dx
C. dy= (x3+2x-3).(3x2+2).dx
D. Đáp án khác
Hướng dẫn giải
Đạo hàm của hàm số đã cho là:
y'= (x3+2x-3)(x3+2x-3) '
⇒y'=(x3+2x-3).(3x2+2)
⇒ Vi phân của hàm số đã cho là:
dy= d((x3+2x-3)2 )= (x3+2x-3).(3x2+2).dx
chọn C.
Ví dụ 7. Tìm vi phân của hàm số y= sin( x2 + 3x+ 1) .
A. dy=cos( x2+3x+1) dx B.dy=cos( x2+3x+1).( 2x+3) dx
C.dy= -cos( x2+3x+1).( 2x+3) dx D. Đáp án khác
Hướng dẫn giải
Đạo hàm của hàm số đã cho là:
y'=cos( x2+3x+1).(x2+3x+1)'= cos( x2+3x+1).( 2x+3)
⇒ Vi phân của hàm số đã cho là:
dy= d[sin( x2 + 3x+ 1)]= cos( x2+3x+1).( 2x+3) dx
chọn B.
Ví dụ 8. Tìm vi phân của hàm số y= ( x2 – 1) . sin x.
A. dy= [2x.sinx+(x2-1).cosx] dx B. dy= [-2x.sinx+(x2-1).cosx] dx
C.dy= [2x.sinx-(x2-1).cosx] dx D. Đáp án khác
Hướng dẫn giải
Đạo hàm của hàm số:
y'=( x2-1)'.sinx+(x2-1).( sinx)'
⇒y'=2x.sinx+(x2-1).cosx
⇒ Vi phân của hàm số đã cho là:
dy=d(x2 – 1) . sin x= [2x.sinx+(x2-1).cosx] dx
Chọn A.
Ví dụ 9. Tìm vi phân của hàm số: y=(√(x2-1)-1)(x2-2x)
Hướng dẫn giải
Hàm số có đạo hàm tại các điểm x thỏa mãn: x> 1 hoặc x < - 1 ( khi đó x2-1> 0 )
Đạo hàm của hàm số đã cho là;
Ví dụ 10. Tìm dy của hàm số: y= tan( x2+ 2x). cotx.
Hướng dẫn giải
Đạo hàm của hàm số đã cho là;
Ví dụ 11. Tìm dy của hàm số : y= sin2x/cos( 3x+1)
Hướng dẫn giải
Đạo hàm của hàm số đã cho là:
Ví dụ 12. Tìm dy của hàm số: cos( √(( x-1)4-1 )+x+1)
Hướng dẫn giải
+ Đạo hàm của hàm số đã cho là:
y'= -sin( √(( x-1)4-1 )+x+1).(√(( x-1)4-1 )+x+1)'
Ví dụ 13. Tìm vi phân của hàm số y= cos( sin( 2x+ 1) )
A. - sin(sin(2x+1) ).cos(2x+1) dx
B. -2 sin(sin(2x+1) ).cos(2x+1) dx
C. sin(sin(2x+1) ).cos(2x+1) dx
D. 2 sin(sin(2x+1) ).cos(2x+1) dx
Hướng dẫn giải
Đạo hàm của hàm số đã cho là :
y'=-sin(sin(2x+1 ) ).[sin( 2x+1)]'
⇒ y'= -sin(sin(2x+1) ).2cos(2x+1)
⇒ Vi phân của hàm số đã cho là:
dy= d[ cos(sin ( 2x+ 1) )]= -2 sin(sin(2x+1) ).cos(2x+1) dx
chọn B.
Ví dụ 14. Tìm vi phân của hàm số:y= [x2+x+ sin( 2x-3)]3
A. dy = 3.[x2+x+ sin( 2x-3)]2.( 2x+1+2 cos( 2x- 3) ) dx
B. dy = [x2+x+ sin( 2x-3)]2.( 2x+1+2 cos( 2x- 3) ) dx
C. dy = 3.[x2+x+ sin( 2x-3)]2.( 2x+1+cos( 2x- 3) ) dx
D. Tất cả sai .
Hướng dẫn giải
Đạo hàm của hàm số đã cho là:
y'=3.[x2+x+ sin( 2x-3)]2.[x2+x+ sin( 2x-3)]'
⇔ y'=3.[x2+x+ sin( 2x-3)]2.( 2x+1+2 cos( 2x- 3) )
Vi phân của hàm số đã cho là :
dy = 3.[x2+x+ sin( 2x-3)]2.( 2x+1+2 cos( 2x- 3) ) dx
Chọn A.
Ví dụ 15. Tìm vi phân của hàm số : y= sin4 (x2+ 2x+ 2)
A. dy= 2sin3 (x2+2x+2)( 2x+2).dx
B. dy= 4sin3 (x2+2x+2)( x+1).dx
C. dy= 4sin3 (x2+2x+2)( 2x+2).dx
D. Đáp án khác
Hướng dẫn giải
Đạo hàm của hàm số đã cho là:
y'= 4sin3 (x2+2x+2).( x2+2x+2)'= 4sin3 (x2+2x+2)( 2x+2)
⇒ Vi phân của hàm số đã cho là :
dy= 4sin3 (x2+2x+2)( 2x+2).dx
chọn C.
Ví dụ 16. Vi phân của hàm số y= x4 – 3x2 + 10 tại điểm x= 1, ứng với ∆ x= 0,1 là:
A. -0,2 B. 0,4 C. 0,1 D. -0,2
Hướng dẫn giải
+ Đạo hàm của hàm số đã cho là:
y'=4x3-6x
⇒ y' (1)= -2
⇒ Vi phân của hàm số đã cho tại điểm x= 1 và ∆ x= 0, 1 là :
dy= y' (1).∆ x = - 2. 0,1= - 0,2
chọn A
Ví dụ 17. Cho hàm số; y= (x+2)/(2x-4). Vi phân của hàm số tại x= 1 là?
A. dy= - dx B. dy= -2dx C. dy= 3dx D. dy= 4dx
Hướng dẫn giải
Tại các điểm x≠2; hàm số có đạo hàm:
Ví dụ 18. Cho hàm số y= sin( 2x- π/3) . Tính vi phân của hàm số tại x= π/2 và ∆ x= 0,2
A. – 0, 4 B. -0,1 C . -0, 2 D. 0, 2
Hướng dẫn giải
+ Đạo hàm của hàm số đã cho là :
C. Bài tập vận dụng
Câu 1: Cho hàm số y= 2x4 +x3+ x . Tìm vi phân của hàm số
A. dy = 8x3 + 3x2+ 1
B. dy = ( 8x4 + 3x+ 1).dx
C. dy = ( 8x3 + 3x2+ 1).dx
D. Đáp án khác
Lời giải:
+ Hàm số đã cho có đạo hàm tại mọi điểm và y'= 8x3 + 3x2 + 1
⇒ Vi phân của hàm số đã cho là :
dy = d(2x4 +x3 + x)= (8x3 + 3x2 + 1).dx
Chọn C.
Câu 2: Cho hàm số y= √(x3- 2x2+1) . Tìm dy?
Lời giải:
Hàm số có đạo hàm tại các điểm x3 – 2x2 + 1 >0
Tại các diểm đó hàm số có đạo hàm là:
Câu 3: Cho hàm số y= cos( 2x- x2)+ sin (3x- 5). Tìm vi phân của hàm số?
A.dy =[(2-2x) sin( 2x- x2 )+3cos( 3x-5)] dx
B. dy =[-(2-2x) sin( 2x- x2 )+3cos( 3x-5)] dx
C. dy =[-(2-2x) sin( 2x- x2 )-3cos( 3x-5)] dx
D. dy=[-(2-2x) cos( 2x- x2 )+3cos( 3x-5)] dx
Lời giải:
Hàm số đã cho xác định và có đạo hàm tại mọi điểm.
Đạo hàm của hám số là
y'= -sin(2x- x2 ) ( 2x- x2 )'+cos( 3x-5).(3x-5)'
⇔y'= -(2-2x) sin( 2x- x2 )+3cos( 3x-5)
⇒ Vi phân của hàm số đã cho là ;
dy= d[ cos(2x- x2)+ sin( 3x- 5) ] =[-(2-2x) sin( 2x- x2 )+3cos( 3x-5)] dx
Chọn B.
Câu 4: Tìm vi phân của hàm số: y= (2x+1)/( x2-2x+3)?
Lời giải:
Ta có: x2 -2x+3= (x-1)2 +2 > 0 với mọi x.
Do đó; hàm số có đạo hàm với mọi x và đạo hàm:
Câu 5: Tìm vi phân của hàm số: y=(x2+x-1)/(x+1)?
Lời giải:
Điều kiện xác định: x≠-1
Với x≠-1 hàm số có đạo hàm là;
Câu 6: Tìm vi phân của hàm số: y= (x4-2x2+1)3
A. dy= 3.(x4-2x2+1)2.(x3-2x).dx
B. dy= 3.(x4-2x2+1)2.(4x3-4x).dx
C. dy=3.(x4-2x2+1)2.dx
D. Đáp án khác
Lời giải:
Đạo hàm của hàm số đã cho là:
y'= 3(x4-2x2+1)2 (x4-2x2+1) '
⇔ y^'=3.(x4-2x2+1)2.(4x3-4x)
⇒ Vi phân của hàm số đã cho là:
dy= d((x4-2x2+1)3 )=3.(x4-2x2+1)2.(4x3-4x).dx
chọn B.
Câu 7: Tìm vi phân của hàm số y= sin( x3 + x+ √x) .
Lời giải:
y'=cos( x3+x+√x).(x3+x+√x)'= cos( x3+x+√x).( 3x2+1+1/(2√x))
⇒ Vi phân của hàm số đã cho là:
dy= d[sin( x3 + x+ √x)]= cos( x3+x+√x).( 3x2+1+1/(2√x)) dx
chọn A.
Câu 8: Tìm vi phân của hàm số y= ( x +2) . ( 3- sin x)
A. dy= [3- sinx – ( x+2).cosx] dx B. dy= [-2sinx+(x+2).cosx] dx
C.dy=[3- sinx + ( x+2).cosx] dx D. Đáp án khác
Lời giải:
y'=( x+2)'.( 3- sinx)+(x+2).(3- sinx)'
⇔ y'=1.(3-sinx)+(x+2).( -cosx) = 3- sinx – ( x+2).cosx
⇒ Vi phân của hàm số đã cho là:
dy=d(x+ 2) .( 3- sin x)= [3- sinx – ( x+2).cosx] dx
Chọn A.
Câu 9: Tìm vi phân của hàm số: y=√(x+2.) (x2-2)
Lời giải:
Hàm số có đạo hàm tại các điểm x thỏa mãn: x > - 2
Đạo hàm của hàm số đã cho là;
y'=( √(x+2))' ( x2-2)+ ( √(x+2)).( x2-2)'
Câu 10: Tìm dy của hàm số: y= tan( 2+ 2x). cot3x.
Lời giải:
Đạo hàm của hàm số đã cho là;
y'=[tan( 2+2x) ]'.cot3x+tan(2+2x).( cot3x)'
Câu 11: Tìm dy của hàm số : y= sin2x/cos4x
Lời giải:
Đạo hàm của hàm số đã cho là:
Câu 12: Tìm dy của hàm số: cos( √(( x+2)3 )+2x)?
Lời giải:
+ Đạo hàm của hàm số đã cho là:
Câu 13: Tìm vi phân của hàm số y= sin( sin(x2+ 2x) )
A. dy= -cos(sin(x2+2x) ).cos(x2+2x).( 2x+2)dx
B. dy= cos(sin(x2+2x) ).cos(x2+2x).( x+2).dx
C.dy= 2cos(sin(x2+2x) ).sin(x2+2x).( x+1).dx
D.Đáp án khác
Lời giải:
Đạo hàm của hàm số đã cho là :
y^'=cos(sin(x2+ 2x ) ).[sin(x2+ 2x)]'
⇔ y'= cos(sin(x2+2x) ).cos(x2+2x).( 2x+2)
⇒ Vi phân của hàm số đã cho là:
dy= d[ sin(sin ( x2+ 2x) )]=cos(sin(x2+2x) ).cos(x2+2x).( 2x+2)dx
chọn B.
Câu 14: Tìm vi phân của hàm số:y= [x2-1+ sin( x+1)]4
A. dy =4.[x2-1+ sin( x+1)]3.( 2x-cos( x+1) )dx
B. dy =- 2.[x2-1+ sin( x+1)]3.( 2x+cos( x+1) )dx
C. dy =4.[x2-1+ sin( x+1)]3.( 2x+cos( x+1) )dx
D. Tất cả sai
Lời giải:
Đạo hàm của hàm số đã cho là:
y'=4.[x2-1+ sin( x+1)]3.[x2-1+ sin( x+1)]'
⇔ y'=4.[x2-1+ sin( x+1)]3.( 2x+cos( x+1) )
Vi phân của hàm số đã cho là :
dy =4.[x2-1+ sin( x+1)]3.( 2x+cos( x+1) )dx
Chọn C.
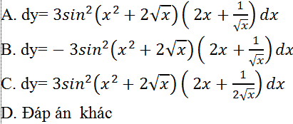
Câu 15: Tìm vi phân của hàm số : y= sin3(x2+ 2√x)
Lời giải:
Câu 16: Vi phân của hàm số y= 2x3 +2x2 + 6 tại điểm x= -2, ứng với ∆ x= 0,2 là:
A. 3,2 B. 3,4 C. 2,4 D. 1,2
Lời giải:
+ Đạo hàm của hàm số đã cho là:
y'=6x2+4x
⇒ y' (-2)= 16
⇒ Vi phân của hàm số đã cho tại điểm x= -2 và ∆ x= 0,2 là :
dy= y' (-2).∆ x = 16. 0,2= 3,2
Chọn A
Câu 17: Cho hàm số; y= (2x-4)/(x+1). Vi phân của hàm số tại x= 0 là?
A. dy= 6dx B. dy= -2dx C. dy= 3dx D. dy= 4dx
Lời giải:
Tại các điểm x≠-1 ; hàm số có đạo hàm:
⇒ y' (0)= 6
⇒ Vi phân của hàm số tại x = 0 là dy= 6dx
Chọn A.
Câu 18: Cho hàm số y= sin( 4x- π/4) . Tính vi phân của hàm số tại x= π/4 và ∆ x= -0,1
A. – 0,4. √2 B. -0,1.√2 C .0,2.√2 D. 0,2
Lời giải:
+ Đạo hàm của hàm số đã cho là :
Tủ sách VIETJACK shopee lớp 10-11 (cả 3 bộ sách):
Đã có app VietJack trên điện thoại, giải bài tập SGK, SBT Soạn văn, Văn mẫu, Thi online, Bài giảng....miễn phí. Tải ngay ứng dụng trên Android và iOS.
Theo dõi chúng tôi miễn phí trên mạng xã hội facebook và youtube:Nếu thấy hay, hãy động viên và chia sẻ nhé! Các bình luận không phù hợp với nội quy bình luận trang web sẽ bị cấm bình luận vĩnh viễn.
- Giải Tiếng Anh 11 Global Success
- Giải sgk Tiếng Anh 11 Smart World
- Giải sgk Tiếng Anh 11 Friends Global
- Lớp 11 - Kết nối tri thức
- Soạn văn 11 (hay nhất) - KNTT
- Soạn văn 11 (ngắn nhất) - KNTT
- Giải sgk Toán 11 - KNTT
- Giải sgk Vật Lí 11 - KNTT
- Giải sgk Hóa học 11 - KNTT
- Giải sgk Sinh học 11 - KNTT
- Giải sgk Lịch Sử 11 - KNTT
- Giải sgk Địa Lí 11 - KNTT
- Giải sgk Giáo dục KTPL 11 - KNTT
- Giải sgk Tin học 11 - KNTT
- Giải sgk Công nghệ 11 - KNTT
- Giải sgk Hoạt động trải nghiệm 11 - KNTT
- Giải sgk Giáo dục quốc phòng 11 - KNTT
- Giải sgk Âm nhạc 11 - KNTT
- Lớp 11 - Chân trời sáng tạo
- Soạn văn 11 (hay nhất) - CTST
- Soạn văn 11 (ngắn nhất) - CTST
- Giải sgk Toán 11 - CTST
- Giải sgk Vật Lí 11 - CTST
- Giải sgk Hóa học 11 - CTST
- Giải sgk Sinh học 11 - CTST
- Giải sgk Lịch Sử 11 - CTST
- Giải sgk Địa Lí 11 - CTST
- Giải sgk Giáo dục KTPL 11 - CTST
- Giải sgk Hoạt động trải nghiệm 11 - CTST
- Giải sgk Âm nhạc 11 - CTST
- Lớp 11 - Cánh diều
- Soạn văn 11 Cánh diều (hay nhất)
- Soạn văn 11 Cánh diều (ngắn nhất)
- Giải sgk Toán 11 - Cánh diều
- Giải sgk Vật Lí 11 - Cánh diều
- Giải sgk Hóa học 11 - Cánh diều
- Giải sgk Sinh học 11 - Cánh diều
- Giải sgk Lịch Sử 11 - Cánh diều
- Giải sgk Địa Lí 11 - Cánh diều
- Giải sgk Giáo dục KTPL 11 - Cánh diều
- Giải sgk Tin học 11 - Cánh diều
- Giải sgk Công nghệ 11 - Cánh diều
- Giải sgk Hoạt động trải nghiệm 11 - Cánh diều
- Giải sgk Giáo dục quốc phòng 11 - Cánh diều
- Giải sgk Âm nhạc 11 - Cánh diều


Giải bài tập SGK & SBT
Tài liệu giáo viên
Sách
Khóa học
Thi online
Hỏi đáp

