Cách tính đạo hàm của hàm số lượng giác cực hay
Bài viết Tính đạo hàm của hàm số lượng giác với phương pháp giải chi tiết giúp học sinh ôn tập, biết cách làm bài tập Tính đạo hàm của hàm số lượng giác.
Tính đạo hàm của hàm số lượng giác
(199k) Xem Khóa học Toán 11 KNTTXem Khóa học Toán 11 CDXem Khóa học Toán 11 CTST
A. Phương pháp giải
Áp dụng công thức tính đạo hàm của hàm số :
Trong đó hàm số y= f(x) có đạo hàm tại các điểm mà hàm số xác định
B. Ví dụ minh họa
Ví dụ 1. Tính đạo hàm của hàm số y= sin (2x+ 8)?
A. 2 cos(2x+ 8) B. cos( 2x+ 8) C. –cos( 2x+ 8) D. -2cos( 2x+ 8)
Hướng dẫn giải
+ áp dụng công thức đạo hàm của hàm hợp ta có;
y'=cos( 2x+8).( 2x+8)' = 2cos( 2x+ 8)
Chọn A.
Ví dụ 2. Tính đạo hàm của hàm số: y= cos( x2+ 7x- 9)?
A.- sin( x2 + 7x- 9) B.- sin ( x2+ 7x – 9)( x2+ 7x- 9)
C. – (2x+7). sin(x2 + 7x- 9) D. sin(x2+ 7x- 9)( 2x+7)
Hướng dẫn giải
Áp dụng công thức đạo hàm của hàm hợp ta có:
y'= -sin(x2+7x-9).(x2+7x-9)' = - sin(x2+ 7x- 9).( 2x+ 7).
Chọn C.
Ví dụ 3. Tính đạo hàm của hàm số: y= sin 8x+ cos 2x
A. cos8x – sin2x B. 8 cos8x – 2sin 2x
C. 8.cos8x + 2sin2x D. – cos8x + sin 2x
Hướng dẫn giải
Ta có: y'=( sin8x)'+(cos2x)'=8 cos8x-2 sin2x
Chọn B.
Ví dụ 4.Tính đạo hàm của hàm số: y=2 sin( √(x2+4x)-1) ?
Hướng dẫn giải
Ví dụ 5.Tính đạo hàm của hàm số y= tan( 4x+ 1) – cot 2x?
Hướng dẫn giải
Ví dụ 6. Tính đạo hàm của hàm số: y=tan( √(x2+2x))
Hướng dẫn giải
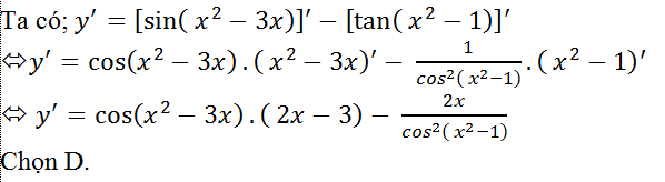
Ví dụ 7. Tính đạo hàm của hàm số: y= sin( x2- 3x) – tan(x2- 1)?
Hướng dẫn giải
Ví dụ 8. Tính đạo hàm của hàm số: y= sin4 ( 6x-2)?
A. 4.sin3 ( 6x-2)
B. 4.sin3 ( 6x-2).cos( 6x-2)
C. 24.sin3 ( 6x-2).cos( 6x-2)
D. -24.sin3 ( 6x-2).cos( 6x-2)
Hướng dẫn giải
Ta có: y'=4.sin3 ( 6x-2).[sin( 6x-2) ]'
⇔ y'= 4.sin3 ( 6x-2).cos( 6x-2).( 6x-2)'
⇔ y'= 24.sin3 ( 6x-2).cos( 6x-2)
Chọn C.
Ví dụ 9. Tính đạo hàm của hàm số y= xsin(x+ 1)?
A. sin(x+ 1) + x. cos( x+ 1) B. cos( x+ 1) – x.sin ( x+1)
C. – sin( x+ 1) + x.cos( x+ 1) D. sin( x+ 1) – x.cos(x+ 1)
Hướng dẫn giải
Áp dụng công thức đạo hàm của một tích ta có:
y'=( x' ).sin(x+1)+ x.[sin(x+1)]'
⇔ y'=1.sin(x+1)+x.cos(x+1 ) ( x+1)'
⇔ y'=sin(x+1)+x.cos( x+1).
Chọn A.
Ví dụ 10.Tính đạo hàm của hàm số y= ( 1+ tanx)4
Hướng dẫn giải
Ví dụ 11. Tính đạo hàm của hàm số y= √(sin4x)
Hướng dẫn giải
Áp dụng công thức đạo hàm của hàm hợp y= √u với u= sin4x ta có:
Ví dụ 12. Tính đạo hàm của hàm số y= √(cos( x3- x2+2))?
Hướng dẫn giải
Áp dụng công thức đạo hàm của hàm hợp y =√u với u= cos( x3- x2+2) ta có
Ví dụ 13. Tính đạo hàm của hàm số y= sin( tanx)?
Hướng dẫn giải
Áp dụng công thức đạo hàm của hàm hợp và đạo hàm của hàm số lượng giác ta có;
Ví dụ 14.Tính đạo hàm của hàm số y= sin2x. cosx
A. 2cos2x – sin2x .cosx B. - sinx. cos2x + sin3x
C. 2sinx. cos2x + sin3x D. 2sinx. cos2x – sin3x
Hướng dẫn giải
Áp dụng công thức đạo hàm của hàm số lượng giác và đạo hàm của một tích ta có:
y'=( sin2 x)'.cosx+ sin2 x( cosx)'
⇔ y'=2sinx.( sinx)'.cosx+ sin2x.(-sinx)
⇔ y'=2sinx.cosx.cosx- sin3 x = 2sinx. cos2x – sin3x
Chon D
Ví dụ 15. Tính đạo hàm của hàm số y= x/cosx
Hướng dẫn giải
Áp dụng công thức đạo hàm của một thương ta có:
Ví dụ 16. Tính đạo hàm của hàm số y= (x2+ 2x).cos x
A. ( 2x+2).cosx+( x2+2x).sinx B. ( 2x+2).cosx-( x2+2x)
C. ( 2x+2).cosx-( x2+2x).sinx D. Đáp án khác
Hướng dẫn giải
Áp dụng công thức đạo hàm của một tích ta có:
y'=( x2+2x)'.cosx+( x2+2x).( cosx)'
⇔y'=( 2x+2).cosx-( x2+2x).sinx
Chọn C.
Ví dụ 17. Tính đạo hàm của hàm số y= (1- cos 2x) (2- sin3x)
A. y'=-2sin2x.( 2-sin3x)+3cos 3x( 1- cos2x)
B. y'=2sin2x.( 2-sin3x)-3cos 3x( 1- cos2x)
C. y'=2sin2x.( 2-sin3x)+3cos 3x( 1- cos2x)
D. Đáp án khác
Hướng dẫn giải
Áp dụng công thức đạo hàm của một tích ta có
y'=( 1-cos2x)'.( 2-sin3x)+( 1-cos2x).( 2-sin3x)'
⇔ y'=sin2x.( 2x)'.( 2-sin3x)+( 1-cos2x).( -cos3x).( 3x)'
⇔ y'=2sin2x.( 2-sin3x)-3cos 3x( 1- cos2x)
Chọn B.
Ví dụ 18. Tính đạo hàm của hàm số:
Hướng dẫn giải
Ví dụ 19. Tính đạo hàm của hàm số sau
Hướng dẫn giải
C. Bài tập vận dụng
Câu 1: Tính đạo hàm của hàm số y= sin (x2+ 4x- 20)?x
A. ( 2x- 4) cos(x2+ 4x – 20 ) B. (x2+ 4x- 20). cos(x2 +4x- 20)
C. (2x+ 4).cos( x2+ 4x- 20) D. -2cos( x2+4x- 20)
Lời giải:
+ Áp dụng công thức đạo hàm của hàm hợp ta có;
y'=cos(x2+ 4x-20).( x2+4x-20)' = cos(x2+ 4x- 20).( 2x+ 4)
Chọn C
Câu 2: Tính đạo hàm của hàm số: y= cos( x2+√x - 2)?
A. - sin(x2+ √x - 2).( 2x+ 1/(2√x)). B.- sin ( x2+√x – 2)( x2+√x- 2)
C. – (2x+√x). sin(x2 + √x- 2) D. sin(x2+ 7x- 2)( 2x+ √x)
Lời giải:
Áp dụng công thức đạo hàm của hàm hợp ta có:
y'= -sin(x2+√x-2).(x2+√x-2)' = - sin(x2+ √x - 2).( 2x+ 1/(2√x)).
Chọn A.
Câu 3: Tính đạo hàm của hàm số: y= 3sin 2x - 4cos 6x
A. - 6 cos2x + 24 sin6x B. 6cos2x + 24sin 6x
C. 6.cos2x + 2sin6x D. 3cos2x + 4sin x
Lời giải:
Ta có: y'=( 3sin2x)'- (4cos6x)'=3.2 cos2x+4.6 sin6x
Hay y'=6cos2x+24. sin6x
Chọn B.
Câu 4: Tính đạo hàm của hàm số: y=4 sin( √(2x+3)-x2+2x) ?
Lời giải:
Câu 5: Tính đạo hàm của hàm số y= 3tan(x2 - 1) – 4cot 4x?
Lời giải:
Câu 6: Tính đạo hàm của hàm số: y=tan( √(2x2+x))+x -10
Lời giải:
Câu 7: Tính đạo hàm của hàm số: y= sin[ (x- 1)( x+ 2) + 10] – tan(x3- x2)?
Lời giải:
Câu 8: Tính đạo hàm của hàm số: y= sin3 ( √(4x+2))?
Lời giải:
Câu 9: Tính đạo hàm của hàm số y= ( 2x+ 2) .sin( 2x- 3)?
A. sin(2x-3)+2(2x+2).cos( 2x-3).
B. 2sin(2x-3)+(2x+2).cos( 2x-3).
C. 2sin(2x-3)-2(2x+2).cos( 2x-3).
D. 2sin(2x-3)+2(2x+2).cos( 2x-3).
Lời giải:
Áp dụng công thức đạo hàm của một tích ta có:
y'=( 2x+2)'.sin(2x-3)+ (2x+2).[sin(2x-3)]'
⇔ y'=2.sin(2x-3)+( 2x+2).cos(2x-3 ) (2x-3)'
⇔ y'=2sin(2x-3)+2(2x+2).cos( 2x-3).
Chọn D.
Câu 10: Tính đạo hàm của hàm số y= ( -cotx+ tanx)3
Lời giải:
Áp dụng công thức đạo hàm của hàm hơp y= un với u= -cotx+ tanx ta được”
y'=3.(-cotx+tanx)2.(-cotx+tanx)'
Câu 11: Tính đạo hàm của hàm số y= √(sin(x3+ x2-x))
Lời giải:
Áp dụng công thức đạo hàm của hàm hợp y= √u với u= sin(x3+ x2-x) ta có:
Câu 12: Tính đạo hàm của hàm số y= √(cos3 ( 2x+2) ) ?
Lời giải:
Áp dụng công thức đạo hàm của hàm hợp y =√u với u= cos3 ( 2x+2) ta có
Câu 13: Tính đạo hàm của hàm số y= 2cos(3cot 2x)?
Lời giải:
Áp dụng công thức đạo hàm của hàm hợp và đạo hàm của hàm số lượng giác ta có;
y'=-2 sin( 3cot2x).( 3.cot2x)'
Câu 14: Tính đạo hàm của hàm số y= sin( 2x- 3).cos( 8- 4x)
A. 2 cos( 2x-3).cos( 8-4x)+2 sin( 2x-3).sin( 8-4x)
B. - 2 cos( 2x-3).cos( 8-4x)-8 sin( 2x-3).sin( 8-4x)
C. - 2 cos( 2x-3).cos( 8-4x)-4 sin( 2x-3).sin( 8-4x)
D. 2 cos( 2x-3).cos( 8-4x)+4 sin( 2x-3).sin( 8-4x)
Lời giải:
Áp dụng công thức đạo hàm của hàm số lượng giác và đạo hàm của một tích ta có:
y^'=[sin( 2x-3)]'.cos( 8-4x)+sin( 2x-3).[cos(8-4x)]'
⇔ y'=cos( 2x-3).(2x-3)'.cos( 8-4x)
+sin( 2x-3).( -sin( 8-4x) ).( 8-4x)'
⇔y'=2 cos( 2x-3).cos( 8-4x)+4 sin( 2x-3).sin( 8-4x)
Chọn D.
Câu 15: Tính đạo hàm của hàm số
Lời giải:
Áp dụng công thức đạo hàm của một thương ta có:
Câu 16: Tính đạo hàm của hàm số y= √(2x3+ x2-1) .sinx
Lời giải:
Áp dụng công thức đạo hàm của một tích ta có:
Câu 17: Tính đạo hàm của hàm số y= ( 2x +cos x) ( cos2x- sin3x)?
A. ( 2- sinx) .( cos2x-sin3x)+(2x+cosx).(2sin2x-3cos3x)
B. ( 2+ sinx) .( cos2x-sin3x)+(2x+cosx).(- 2sin2x-3cos3x)
C. ( 2- sinx) .( cos2x-sin3x)+(2x+cosx).(- 2sin2x-3cos3x)
D.Đáp án khác
Lời giải:
Áp dụng công thức đạo hàm của một tích ta có
y'=( 2x+ cosx)'.(cos2x-sin3x)+( 2x+ cosx).( cos2x-sin3x)'
⇔ y'=( 2- sinx) .( cos2x-sin3x)+(2x+cosx).(- 2sin2x-3cos3x)
Chọn C.
Câu 18: Tính đạo hàm của hàm số
Lời giải:
Áp dụng công thức đạo hàm của một thương
Câu 19: Tính đạo hàm của hàm số y= 1/cot( x2+2x) ?
Lời giải:
Câu 20: Tính đạo hàm của hàm số:
Lời giải:
Câu 21: Tính đạo hàm của hàm số sau: y=sin(x+1)/(x-2)
Lời giải:
Tủ sách VIETJACK shopee lớp 10-11 (cả 3 bộ sách):
Đã có app VietJack trên điện thoại, giải bài tập SGK, SBT Soạn văn, Văn mẫu, Thi online, Bài giảng....miễn phí. Tải ngay ứng dụng trên Android và iOS.
Theo dõi chúng tôi miễn phí trên mạng xã hội facebook và youtube:Nếu thấy hay, hãy động viên và chia sẻ nhé! Các bình luận không phù hợp với nội quy bình luận trang web sẽ bị cấm bình luận vĩnh viễn.
- Giải Tiếng Anh 11 Global Success
- Giải sgk Tiếng Anh 11 Smart World
- Giải sgk Tiếng Anh 11 Friends Global
- Lớp 11 - Kết nối tri thức
- Soạn văn 11 (hay nhất) - KNTT
- Soạn văn 11 (ngắn nhất) - KNTT
- Giải sgk Toán 11 - KNTT
- Giải sgk Vật Lí 11 - KNTT
- Giải sgk Hóa học 11 - KNTT
- Giải sgk Sinh học 11 - KNTT
- Giải sgk Lịch Sử 11 - KNTT
- Giải sgk Địa Lí 11 - KNTT
- Giải sgk Giáo dục KTPL 11 - KNTT
- Giải sgk Tin học 11 - KNTT
- Giải sgk Công nghệ 11 - KNTT
- Giải sgk Hoạt động trải nghiệm 11 - KNTT
- Giải sgk Giáo dục quốc phòng 11 - KNTT
- Giải sgk Âm nhạc 11 - KNTT
- Lớp 11 - Chân trời sáng tạo
- Soạn văn 11 (hay nhất) - CTST
- Soạn văn 11 (ngắn nhất) - CTST
- Giải sgk Toán 11 - CTST
- Giải sgk Vật Lí 11 - CTST
- Giải sgk Hóa học 11 - CTST
- Giải sgk Sinh học 11 - CTST
- Giải sgk Lịch Sử 11 - CTST
- Giải sgk Địa Lí 11 - CTST
- Giải sgk Giáo dục KTPL 11 - CTST
- Giải sgk Hoạt động trải nghiệm 11 - CTST
- Giải sgk Âm nhạc 11 - CTST
- Lớp 11 - Cánh diều
- Soạn văn 11 Cánh diều (hay nhất)
- Soạn văn 11 Cánh diều (ngắn nhất)
- Giải sgk Toán 11 - Cánh diều
- Giải sgk Vật Lí 11 - Cánh diều
- Giải sgk Hóa học 11 - Cánh diều
- Giải sgk Sinh học 11 - Cánh diều
- Giải sgk Lịch Sử 11 - Cánh diều
- Giải sgk Địa Lí 11 - Cánh diều
- Giải sgk Giáo dục KTPL 11 - Cánh diều
- Giải sgk Tin học 11 - Cánh diều
- Giải sgk Công nghệ 11 - Cánh diều
- Giải sgk Hoạt động trải nghiệm 11 - Cánh diều
- Giải sgk Giáo dục quốc phòng 11 - Cánh diều
- Giải sgk Âm nhạc 11 - Cánh diều


Giải bài tập SGK & SBT
Tài liệu giáo viên
Sách
Khóa học
Thi online
Hỏi đáp

