Cách tính xác suất bài toán liên quan đến hình học (cực hay có lời giải)
Bài viết Cách tính xác suất bài toán liên quan đến hình học với phương pháp giải chi tiết giúp học sinh ôn tập, biết cách làm bài tập Cách tính xác suất bài toán liên quan đến hình học.
Cách tính xác suất bài toán liên quan đến hình học (cực hay có lời giải)
(199k) Xem Khóa học Toán 11 KNTTXem Khóa học Toán 11 CDXem Khóa học Toán 11 CTST
A. Phương pháp giải
1. Cho đa giác có n đỉnh. Xét tam giác có 3 đỉnh là 3 đỉnh của đa giác và:
Có đúng 1 cạnh chung với đa giác: có n(n-4) tam giác
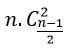
Có đúng 2 cạnh chung với đa giác: có n tam giác.
Không có cạnh chung với đa giác: có
2. Cho đa giác đều có 2n đỉnh.
Số tam giác vuông có 3 đỉnh là 3đỉnh của đa giác là: n(2n-2)
3. Cho đa giác đều có n đỉnh. Số tam giác tù được tạo thành từ 3 trong n đỉnh của đa giác là:
+ Nếu n chẵn có:
+ Nếu n lẻ có:
4. Cho đa giác đều có n đỉnh. Số tam giác nhọn được tạo thành từ 3 trong n đỉnh của đa giác là: – (số tam giác tù + số tam giác vuông)
5. Cho đa giác có n đỉnh . Xét tứ giác có 4 đỉnh là 4 đỉnh của đa giác.
Chứng minh.
+ Tứ giác có đúng 1 cạnh chung với đa giác
Chọn 1 cạnh trong n cạnh của đa giác nên có n cách.
Chọn 2 đỉnh còn lại trong n-4 đỉnh (tham khảo hình vẽ trên) nên có nhưng 2 đỉnh này không được liên tiếp nên trừ cho n-5 (vì 2 đỉnh liên tiếp sẽ tạo nên 1 cạnh mà có n-4 đỉnh còn lại nên có n-5 cạnh).
Vậy trong trường hợp này có
+ Tứ giác có đúng 2 cạnh chung với đa giác
Trường hợp 1: Tứ giác có hai cạnh kề trùng với cạnh của đa giác
Vì hai cạnh kề cắt nhau tại 1 đỉnh, mà đa giác có n đỉnh nên có n cách chọn hai cạnh kề trùng với cạnh của đa giác.
Chọn 1 đỉnh còn lại trong n-5 đỉnh (bỏ 3 đỉnh tạo nên hai cạnh kề và 2 đỉnh hai bên, tham khảo hình vẽ).
Do đó trường hợp này có n(n-5) tứ giác.
Trường hợp 2: Tứ giác có hai cạnh đối thuộc cạnh của đa giác
Chọn 1 cạnh trong n cạnh của đa giác nên có n cách.
Trong n-4 đỉnh còn lại (bỏ 2 đỉnh tạo nên cạnh đã chọn ở trên và 2 đỉnh liền kề cạnh đã chọn, tham khảo hình vẽ) sẽ tạo nên n-5 cạnh. Chọn 1 cạnh trong n- 5 cạnh đó nên có n-5 cách.
Tuy nhiên trong trường hợp này số tứ giác mình đếm đến 2 lần.
Do đó trường hợp này có n(n-5)/2 tứ giác.
Vậy có n(n-5)+ n( n-5)/2 tứ giác thỏa mãn.
+ Tứ giác có đúng 3 cạnh chung với đa giác
Đánh số thứ tự các đỉnh của đa giác, ta có n bộ 4 số:
( 1,2,3,4);( 2,3,4,5); ....( n-3; n- 2;n-1; n); (n-2; n-1; n;1); ( n-1; n;1;2) và (n;1;2;3)
Vậy trường hợp này có n tứ giác thỏa mãn.
6. Cho đa giác đều có 2n đỉnh. Số tứ giác có 4 đỉnh là 4 đỉnh của đa giác và tạo thành hình chữ nhật là: C2n.
7. Cho đa giác đều có 4n đỉnh. Số tứ giác có 4 đỉnh là 4 đỉnh của đa giác và tạo thành hình vuông là n.
B. Ví dụ minh họa
Ví dụ 1: Cho đa giác có 12 đỉnh. Chọn ngẫu nhiên 3 đỉnh của đa giác đó. Xác suất để 3 đỉnh được chọn tạo thành một tam giác không có cạnh nào là cạnh của đa giác đã cho bằng
A.24/55 B.31/55 C.28/55 D.27/55
Hướng dẫn giải :
Đáp án : C
+ Số tam giác được tạo từ 3 đỉnh trong 12 đỉnh: nên n(Ω)=
.
+ Trường hợp 1 : Số tam giác có 3 đỉnh là 3 đỉnh của đa giác và 2 cạnh là cạnh của đa giác: cứ 3 đỉnh liên tiếp cho 1 tam giác thỏa mãn đề bài, nên có 12 tam giác
+ Trường hợp 2: Số tam giác có 3 đỉnh là đỉnh của đa giác và 1 cạnh là cạnh của đa giác: Trước tiên ta chọn 1 cạnh trong 12 cạnh của đa giác nên có 12 cách chọn; tiếp theo chọn 1 đỉnh còn lại trong 8 đỉnh (trừ 2 đỉnh tạo nên cạnh đã chọn và 2 đỉnh liền kề với cạnh đã chọn). Do đó trong trường hợp này có 8.12= 96 tam giác.
⇒ Số tam giác có 3 cạnh không có cạnh nào là cạnh của đa giác đã cho là:
-12-96= 112 tam giác
⇒ xác suất cần tìm là:
Ví dụ 2: : Cho đa giác đều 12 đỉnh. Chọn ngẫu nhiên 3 đỉnh trong 12 đỉnh của đa giác. Xác suất để 3 đỉnh được chọn tạo thành tam giác đều là
A.P= 1/55 B.P= 1/220 C.P= 1/4 D.P= 1/14
Hướng dẫn giải :
Đáp án : A
+ Số phần tử không gian mẫu: n(Ω)= =220.
(chọn 3 đỉnh bất kì từ 12 đỉnh của đa giác ta được một tam giác)
+ Gọi A: “3 đỉnh được chọn tạo thành tam giác đều ”.
Chia 12 đỉnh thành 3 phần. Mỗi phần gồm 4 đỉnh liên tiếp nhau. Mỗi đỉnh của tam giác đều ứng với 1 điểm của một phần.Chỉ cần chọn 1 đỉnh thì 2 đỉnh còn lại xác định là duy nhất.
Khi đó: P(A)= 4/220= 1/55.
Ví dụ 3: Cho đa giác (H) có n đỉnh (n> 4) .Biết số các tam giác có 3 đỉnh là đỉnh của (H) và không có cạnh nào là cạnh của (H) gấp 5 lần số các tam giác có 3 đỉnh là đỉnh của (H) và có đúng 1 cạnh là cạnh của (H). Khẳng định nào sau đây đúng?
A.n∈[ 4,12] B.n∈ [13; 21] C.n∈ [22; 30] D.n∈ [31; 38]
Hướng dẫn giải :
Đáp án : D
Số tam giác tạo thành có 3 đỉnh là 3 đỉnh của đa giác là C3n
Số tam giác tạo thành có đúng 2 cạnh là cạnh của đa giác là n..
Số tam giác tạo thành có đúng 1 cạnh là cạnh của đa giác là n(n-4) (điều kiện n> 4).
=> số tam giác tạo thành không có cạnh nào là cạnh của đa giác là :
Ví dụ 4: Cho một đa giác đều gồm 2n đỉnh (n>3). Chọn ngẫu nhiên ba đỉnh trong số 2n đỉnh của đa giác, xác suất ba đỉnh được chọn tạo thành một tam giác vuông là 1/5. Tìm n.
A.n= 4 B.n= 5 C.n= 8 D.n= 10
Hướng dẫn giải :
Đáp án : C
Ta có số phần tử của không gian mẫu là:
Gọi A là biến cố ba đỉnh được chọn tạo thành một tam giác vuông.
Để ba đỉnh được chọn tạo thành tam giác vuông khi và chỉ khi có hai đỉnh trong ba đỉnh là hai đầu mút của một đường kính của đường tròn ngoại tiếp đa giác và đỉnh còn lại là một trong số (2n-2) đỉnh còn lại của đa giác.
Đa giác đều có 2n đỉnh nên có 2n/2=n đường kính.
+ Số cách chọn 1 đường kính là n.
+ Số cách chọn 1 đỉnh còn lại trong 2n- 2 đỉnh là 2n- 2.
Suy ra n(A)= n(2n- 2)
Theo đề bài ta có phương trình:
Ví dụ 5: Cho đa giác đều có 20 đỉnh. Chọn ngẫu nhiên 3 đỉnh của đa giác đều, xác suất để 3 đỉnh được chọn là 3 đỉnh của một tam giác vuông, không cân là
A.3/19 B.2/35 C.8/57 D.17/114
Hướng dẫn giải :
Đáp án : C
Số phần tử của không gian mẫu là:
Gọi A là biến cố chọn được 3 đỉnh là 3 đỉnh của một tam giác vuông, không cân.
+ Để ba đỉnh được chọn tạo thành tam giác vuông khi và chỉ khi có hai đỉnh trong ba đỉnh là hai đầu mút của một đường kính của đường tròn ngoại tiếp đa giác và đỉnh còn lại là một trong số 18 đỉnh còn lại của đa giác.
Đa giác đều có 20 đỉnh nên có 20/2=10 đường kính.
+ Số cách chọn 1 đường kính là 10.
+ Số cách chọn 1 đỉnh còn lại trong 20- 2= 18 đỉnh là 18.
⇒ Số tam giác vuông là 10.18= 180
+ Số tam giác vuông cân: Cứ mỗi cách chọn 1 đường kính là có 2 tam giác cân ( 2điểm tạo nên tam giác cân là giao điểm của đường thẳng qua tâm vuông góc với đường kính đã chọn với đường tròn). Do đó có 10.2 =20 tam giác vuông cân.
⇒ Số tam giác vuông; không cân là: n(A)= 180 – 20= 160
Xác suất của biến cố A là: P(A)= 160/1140= 8/57
Ví dụ 6: Cho đa giác đều có 15 đỉnh. Gọi M là tập tất cả các tam giác có ba đỉnh là ba đỉnh của đa giác đã cho. Chọn ngẫu nhiên một tam giác thuộc tập M, xác suất để tam giác được chọn là một tam giác cân nhưng không phải là tam giác đều là
A.8/91 B.18/91 C.20/91 D.73/91
Hướng dẫn giải :
Đáp án : B
- Số phần tử của không gian mẫu là:
Gọi A là biến cố tam giác được chọn là tam giác cân nhưng không phải tam giác đều.
- Gọi O là tâm đường tròn ngoại tiếp của đa giác đều. Xét một đỉnh A bất kỳ của đa giác: Có 7 cặp đỉnh của đa giác đối xứng với nhau qua đường thẳng OA, hay có 7 tam giác cân tại đỉnh A.
Như vậy, với mỗi một đỉnh của đa giác có 7 tam giác nhận nó làm đỉnh tam giác cân.
- Số tam giác đều có 3 đỉnh là các đỉnh của đa giác là 15: 3= 5 tam giác.
- Tuy nhiên, trong các tam giác cân đã xác định ở trên có cả tam giác đều, do mọi tam giác đều thì đều cân tại 3 đỉnh nên tam giác đều được đếm 3 lần.
Suy ra n(A)= 7.15- 3.5= 90
Xác suất của biến cố A là:
P(A)= 90/455= 18/91
Ví dụ 7: Có 5 đoạn thẳng có độ dài lần lượt là 2cm; 4 cm; 6 cm; 8 cm và 10 cm. Lấy ngẫu nhiên 3 đoạn thẳng trong 5 đoạn thẳng trên, tính xác suất để 3 đoạn thẳng lấy ra lập thành một tam giác.
A.3/10 B.2/3 C.7/10 D.2/5
Hướng dẫn giải :
Đáp án : A
+ Không gian mẫu là số cách lấy 3 đoạn thẳng từ 5 đoạn thẳng.
Suy ra số phần tử của không gian mẫu là :
+ Gọi A là biến cố “3 đoạn thẳng lấy ra lập thành một tam giác”. Để ba đoạn thẳng tạo thành một tam giác chỉ có các trường hợp: (4; 6; 8) hoặc (6; 8; 10) hoặc( 4; 8; 10).
Suy ra số phần tử của biến cố A là n(A)= 3.
Vậy xác suất cần tìm là: P(A)= 3/10.
Ví dụ 8: Cho đa giác đều 100 đỉnh nội tiếp một đường tròn. Số tam giác tù được tạo thành từ 3 trong 100 đỉnh của đa giác là
A.44100 B.58800 C.78400 D.117600
Hướng dẫn giải :
Đáp án : D
Đánh số các đỉnh là A1; A2; ...;A100
Xét đường chéo A1A51 của đa giác là đường kính của đường tròn ngoại tiếp đa giác đều chia đường tròn ra làm hai phần, mỗi phần có 49 điểm: từ A2 đến A50 và A52 đến A100.
Khi đó, mỗi tam giác có dạng A1AiAj là tam giác tù nếu Ai và Aj cùng nằm trong nửa đường tròn
+ Chọn nửa đường tròn: có 2 cách chọn.
+ Chọn hai điểm Ai; Aj là hai điểm tùy ý được lấy từ 49 điểm A2; A3;..; A50 có:
Giả sử Ai nằm giữa A1 và Aj thì tam giác A1AiAj tù tại đỉnh A1.
Mà ∆AjAiA1= ∆A1AiAj nên kết quả bị lặp hai lần.
+ Có 100 cách chọn đỉnh.
Vậy số tam giác tù là 2.117600/2=117600
Ví dụ 9: Cho đa giác có 20 đỉnh. Có bao nhiêu tứ giác được tạo thành mà có các đỉnh là các đỉnh của đa giác và có đúng 1 cạnh chung với đa giác ?
A.1700 B.2100 C.2400 D.3500
Hướng dẫn giải :
Đáp án : B
Số các tứ giác được tạo thành mà có các đỉnh là các đỉnh của đa giác và có đúng 1 cạnh chung với đa giác là:
Ví dụ 10: Cho đa giác đều có 20 đỉnh. Tính xác suất mà hai đường chéo được chọn một cách ngẫu nhiên sẽ cắt nhau bên trong đa giác.
A.57/169 B.43/169 C.59/248 D.62/165
Hướng dẫn giải :
Đáp án : A
Gọi A là biến cố hai đường chéo được chọn sẽ cắt nhau bên trong đa giác.
Đa giác có 20 đỉnh nên có: -20=170 đường chéo
⇒ Số phần tử của không gian mẫu là: n(Ω)=
Biến cố chính là số tứ giác có 4 đỉnh được chọn từ 20 đỉnh của đa giác (vì cứ mỗi tứ giác tạo thành sẽ có đúng một cặp đường chéo cắt nhau trong đa giác) nên số kết quả thuận lợi cho biến cố A là: n(A) =
⇒ Xác suất của biến cố A là:
Ví dụ 11: Trong mặt phẳng Oxy, cho hình chữ nhật OMNP với M(0; 10); N(100;10) và P(100; 0). Gọi S là tập hợp tất cả các điểm A(x;y) với x; y∈Z nằm bên trong (kể cả trên cạnh) của OMNP. Lấy ngẫu nhiên một điểm A( x;y)∈S. Xác suất để x+ y≤90 bằng
A.169/200 B.213/765 C.86/101 D.125/469
Hướng dẫn giải :
Đáp án : C
- Nhận thấy các điểm cần tìm nằm trên các đường thẳng y= m với m= 0; 1; 2...; 10
Ứng với mỗi đường thẳng y= m tương ứng có101 giá trị của x thỏa mãn
x∈{0,1,2,..., 100.
Suy ra tập S có: 11. 101= 1111 phần tử.
- Số phần tử của không gian mẫu là:
- Gọi B là biến cố lấy được điểm A(x; y)∈S;x+y≤90
+ Trên đường y=0 lần lượt có 91 điểm thỏa mãn x∈ {0,1,2..,90}.
+ Trên đường y= 1 lần lượt có 90 điểm thỏa mãn x ∈ { 0;1; 2; ...;89}.
+ Trên đường y=10 lần lượt có 81 điểm thỏa mãn x∈ { 0,1,2,..., 80}.
Suy ra n(B)= 91+ 90+ ...+ 81= 946
Xác suất của biến cố B là: P(B)= 946/1111= 86/101
Ví dụ 12: Trong mặt phẳng tọa độ Oxy, ở góc phần tư thứ nhất ta lấy 2 điểm phân biệt; cứ thế ở các góc phần tư thứ hai, thứ ba, thứ tư ta lần lượt lấy 3,4,5 điểm phân biệt (các điểm không nằm trên các trục tọa độ). Trong 14 điểm đó ta lấy 2 điểm bất kỳ. Tính xác suất để đoạn thẳng nối hai điểm đó cắt hai trục tọa độ. ( biết rằng đường thẳng đi qua 2 điểm bất kì không song song với hai trục tọa độ)
A.8/91 B.23/91 C.68/91 D.83/91
Hướng dẫn giải :
Đáp án : B
+ Không gian mẫu là số cách chọn 2 điểm bất kỳ trong 14 điểm đã cho.
Suy ra số phần tử của không gian mẫu là
+ Gọi A là biến cố “ Đoạn thẳng nối 2 điểm được chọn cắt hai trục tọa độ”.
+ Để xảy ra biến cố A thì hai đầu đoạn thẳng đó phải ở góc phần tư thứ nhất và thứ ba hoặc phần tư thứ hai và thứ tư.
+ Hai đầu đoạn thẳng ở góc phần tư thứ nhất và thứ ba, có
+ Hai đầu đoạn thẳng ở góc phần tư thứ hai và thứ tư, có
Suy ra số phần tử của biến cố A là n(A)= 8+ 15= 23.
Vậy xác suất cần tính P(A)= 23/91
C. Bài tập trắc nghiệm
Câu 1: Cho đa giác (H) có 12 cạnh. Chọn ngẫu nhiên 3 đỉnh của của đa giác (H). Tính xác suất để tam giác được chọn có 2 cạnh là cạnh của đa giác (H)?
A.4/55 B.3/25 C.7/25 D.3/55
Lời giải:
Đáp án : D
+ Số phần tử của không gian mẫu là: n(Ω)=
+ Gọi A là biến cố tam giác được chọn có 2 cạnh là cạnh của đa giác (H).
⇒ n(A) = 12.
Xác suất của biến cố A là:
P(A)=12/()= 3/55
Câu 2: Cho đa giác đều 18 đỉnh. Chọn ngẫu nhiên 3 đỉnh trong 12 đỉnh của đa giác. Xác suất để đỉnh được chọn tạo thành tam giác đều là
A.P = 1/204 B. P = 1/220 C.P = 1/136 D.P = 1/142
Lời giải:
Đáp án : D
+ Số phần tử không gian mẫu:
(chọn 3 đỉnh bất kì từ 18 đỉnh của đa giác ta được một tam giác)
+ Gọi A: “3 đỉnh được chọn tạo thành tam giác đều ”.
Chia 18 đỉnh thành 3 phần. Mỗi phần gồm 6 đỉnh liên tiếp nhau. Mỗi đỉnh của tam giác đều ứng với 1 điểm của một phần.Chỉ cần chọn 1 đỉnh thì 2 đỉnh còn lại xác định là duy nhất.
Khi đó: P(A)= 6/816= 1/136.
Câu 3: Cho đa giác (H) có n đỉnh (n> 4) .Biết số các tam giác có 3 đỉnh là đỉnh của (H) và không có cạnh nào là cạnh của (H) gấp 5/6 lần số các tam giác có 3 đỉnh là đỉnh của (H) và có đúng 1 cạnh là cạnh của (H). Khẳng định nào sau đây đúng?
A.n∈[ 4,12] B.n∈ [13; 21] C.n∈ [22; 30] D.n∈ [31; 38]
Lời giải:
Đáp án : A
Số tam giác tạo thành có 3 đỉnh là 3 đỉnh của đa giác là C3n.
Số tam giác tạo thành có đúng 2 cạnh là cạnh của đa giác là n..
Số tam giác tạo thành có đúng 1 cạnh là cạnh của đa giác là n(n-4) (điều kiện n> 4).
=> số tam giác tạo thành không có cạnh nào là cạnh của đa giác là :
Câu 4: Cho đa giác có 60 đỉnh. Người ta lập một tứ giác tùy ý có 4 đỉnh là các đỉnh của đa giác. Xác suất để lập được một tứ giác có 4 cạnh đều là đường chéo của đa giác đã cho gần nhất với số nào trong các số sau?
A.43,48% B.40,45% C.80,7% D.64,5%
Lời giải:
Đáp án : C
Câu 5: Cho một đa giác đều 12 đỉnh nội tiếp đường tròn. Chọn ngẫu nhiên 4 đỉnh của đa giác, xác suất để 4 đỉnh được chọn ra tạo thành một hình chữ nhật bằng:
A.2/15 B.13/15 C.1/33 D.13/33
Lời giải:
Đáp án :
Gọi A là biến cố 4 đỉnh được chọn là 4 đỉnh của hình chữ nhật.
+ Số phần tử của không gian mẫu là :
+ Đa giác đều đã cho có: 12: 2= 6 đường chéo lớn.
+ Mỗi hình chữ nhật có các đỉnh là 4 đỉnh trong 12 đỉnh có các đường chéo là hai đường chéo lớn. ( chú ý: tứ giác có 2 đường chéo bằng nhau và cắt nhau tại trung điểm mỗi đường là hình chữ nhật).
Suy ra số phần tử của biến cố A là :
+ Xác suất của biến cố A là :
Câu 6: Cho một đa giác đều 2n đỉnh nội tiếp đường tròn. Biết rằng số tam giác có các đỉnh là 3 trong 2n đỉnh nhiều gấp 20 lần số hình chữ nhật có các đỉnh là 4 trong 2n đỉnh. Tìm n.
A.14 B.n= 8 C. n= 12 D. n= 10
Lời giải:
Đáp án : B
+ Số tam giác có 3 đỉnh là 3 trong số 2n đỉnh của đa giác đã cho là: C32n
+ Đa giác đều đã cho có: 2n : 2= n đường chéo lớn.
+ Mỗi hình chữ nhật có các đỉnh là 4 đỉnh trong 12 đỉnh có các đường chéo là hai đường chéo lớn. ( chú ý: tứ giác có 2 đường chéo bằng nhau và cắt nhau tại trung điểm mỗi đường là hình chữ nhật) .
Câu 7: Cho đa giác đều có 20 cạnh. Có bao nhiêu hình chữ nhật được tạo thành nhưng không phải là hình vuông, có các đỉnh là đỉnh của đa giác đều đã cho ?
A. 35 B. 40 C. 45 D. 50
Lời giải:
Đáp án : B
Số hình chữ nhật được tạo thành (bao gồm cả hình vuông) là C210=45
Số hình vuông được tạo thành là 20/4=5
Vậy số hình chữ nhật thõa mãn yêu cầu bài toán là: 45- 5= 40
Câu 8: Trong mặt phẳng tọa độ Oxy; ở góc phần tư thứ nhất ta lấy 2 điểm phân biệt; cứ thế ở các góc phần tư thứ hai, thứ ba, thứ tư ta lần lượt lấy 3,4,5 điểm phân biệt (các điểm không nằm trên các trục tọa độ). Trong 14 điểm đó ta lấy 2 điểm bất kỳ. Tính xác suất để đoạn thẳng nối hai điểm đó cắt hai trục tọa độ.
A.68/91 B.23/91 C.18/91 D.72/91
Lời giải:
Đáp án : B
- Không gian mẫu là số cách chọn 2 điểm bất kỳ trong 14 điểm đã cho.
Suy ra số phần tử của không gian mẫu là :
- Gọi A là biến cố “ Đoạn thẳng nối 2 điểm được chọn cắt hai trục tọa độ”.
Để xảy ra biến cố A thì hai đầu đoạn thẳng đó phải ở góc phần tư thứ nhất và thứ ba hoặc phần tư thứ hai và thứ tư.
- Hai đầu đoạn thẳng ở góc phần tư thứ nhất và thứ ba, có:
- Hai đầu đoạn thẳng ở góc phần tư thứ hai và thứ tư, có :
Suy ra số phần tử của biến cố A là: n(A)=8+15= 23
Vậy xác suất cần tính: P(A)= 23/91
Câu 9: Trên mặt phẳng Oxy; ta xét một hình chữ nhật ABCD có các điểm A( -2;0); B(-2;2); C( 4; 2) và D( 4; 0). Một con bọ ngựa nhảy trong hình chữ nhật đó tính cả trên cạnh hình chữ nhật sao cho chân nó luôn chạm xuống mặt phẳng tại các điểm có tọa độ nguyên. Tính xác suất để nó chạm xuống điểm M(x; y )mà x+ y < 2?
A.1/3 B.3/7 C.4/7 D.10/17
Lời giải:
Đáp án : B
+ Số các điểm có tọa độ nguyên thuộc hình chữ nhật là 7.3= 21 điểm vì :
+ Để con bọ ngựa chạm xuống các điểm M(x ; y) có x+ y < 2 thì con bọ ngựa sẽ nhảy trong khu vực hình thang BEIA
Để M(x ;y) có tọa độ nguyên thì :
+ Nếu x∈{-2; -1}thì y∈ {0,1,2} ⇒ có 2.3= 6 điểm.
+ Nếu x= 0 thì y∈ {0 ; 1} ⇒ có 2 điểm.
+ Nếu x= 1 ⇒ y=0 ⇒ có 1 điểm.
Suy ra : có tất cả 6+ 2+ 1 = 9 điểm thỏa mãn.
Vậy xác suất cần tính:P= 9/21= 3/7.
Câu 10: Trong mặt phẳng với hệ tọa độ Oxy, chọn ngẫu nhiên một điểm mà tọa độ là số nguyên có giá trị tuyệt đối nhỏ hơn hay bằng 4. Nếu các điểm đều có cùng xác suất được chọn như nhau, vậy thì xác suất để chọn được một điểm mà khoảng cách đến gốc tọa độ nhỏ hơn hoặc bằng 2 là:
Lời giải:
Đáp án : C
Gọi tọa độ điểm M(x; y) thỏa mãn x; y∈Z và |x|≤4;|y|≤4
⇒ x;y∈ { -4; -3; -2; -1; 0; 1;2; 3; 4}
⇒ có 9 cách chọn x; 9 cách chọn y.
Suy ra số phần tử của không gian mẫu là: n(Ω)= 9.9= 81
Gọi điểm M’(x;y) thỏa mãn x;y ∈Z và OM≤2.
+ Nếu x= 0 ⇒ y∈ { -2; -1;0; 1;2}. Do đó có 1.5= 5 cách chọn.
+ Nếu x= ± 1 ⇒y∈{ 0; ±1}. Do đó có 2.3= 6 cách chọn.
+ Nếu x= ± 2 ⇒ y=0 . Do đó có 2.1= 2 cách chọn.
Suy ra n(A)= 5+ 6+ 2= 13.
Vậy xác suất cần tín:P= 13/81
D. Bài tập tự luyện
Bài 1. Trong mặt phẳng tọa độ Oxy, chọn ngẫu nhiên một điểm mà tọa độ là số các nguyên có trị tuyệt đối nhỏ hơn hoặc bằng 4. Biết các điểm đều có cùng xác suất được chọn như nhau, tính xác suất để chọn được một điểm mà khoảng cách đến gốc tọa độ nhỏ hơn hoặc bằng 2.
Bài 2. Cho đa giác đều có 15 đỉnh. Chọn ngẫu nhiên 3 đỉnh. Hãy tính xác suất để chọn được 3 đỉnh là 3 đỉnh của một tam giác cân nhưng không phải là tam giác đều?
Bài 3. Cho (H) là đa giác đều 2n đỉnh nội tiếp đường tròn tâm O (n ∈ ℕ*, n ≥ 2 ). Gọi S là tập hợp các tam giác có ba đỉnh là các đỉnh của đa giác (H). Chọn ngẫu nhiên một tam giác thuộc tập S, biết rằng xác suất chọn được một tam giác vuông trong tập S là . Tìm n.
Bài 4. Trong không gian cho 2n điểm phân biệt (n > 4, n ∈ ℕ), trong đó không có ba điểm nào thẳng hàng và trong 2n điểm đó có đúng n điểm cùng nằm trên một mặt phẳng. Tìm tất cả các giá trị của n sao cho từ 2n điểm đã cho tạo ra đúng 505 mặt phẳng phân biệt.
Bài 5. Cho đa giác đều (H) có 20 đỉnh. Chọn ngẫu nhiên 3 đỉnh. Tính xác suất để ba đỉnh được chọn là ba đỉnh của một tam giác vuông không cân.
(199k) Xem Khóa học Toán 11 KNTTXem Khóa học Toán 11 CDXem Khóa học Toán 11 CTST
Xem thêm các dạng bài tập Toán lớp 11 có trong đề thi THPT Quốc gia khác:
- Cách tìm xác suất của biến cố (cực hay có lời giải)
- Cách tính xác suất bài toán liên quan đến đếm số (cực hay có lời giải)
- Cách giải bài tập Xác suất nâng cao, (cực hay có lời giải)
- Phương pháp giải bài tập Quy tắc cộng xác suất (cực hay có lời giải)
- Phương pháp giải bài tập Biến cố đối (cực hay có lời giải)
- Phương pháp giải bài tập Quy tắc nhân xác suất (cực hay có lời giải)
Tủ sách VIETJACK shopee lớp 10-11 (cả 3 bộ sách):
Đã có app VietJack trên điện thoại, giải bài tập SGK, SBT Soạn văn, Văn mẫu, Thi online, Bài giảng....miễn phí. Tải ngay ứng dụng trên Android và iOS.
Theo dõi chúng tôi miễn phí trên mạng xã hội facebook và youtube:Nếu thấy hay, hãy động viên và chia sẻ nhé! Các bình luận không phù hợp với nội quy bình luận trang web sẽ bị cấm bình luận vĩnh viễn.
- Giải Tiếng Anh 11 Global Success
- Giải sgk Tiếng Anh 11 Smart World
- Giải sgk Tiếng Anh 11 Friends Global
- Lớp 11 - Kết nối tri thức
- Soạn văn 11 (hay nhất) - KNTT
- Soạn văn 11 (ngắn nhất) - KNTT
- Giải sgk Toán 11 - KNTT
- Giải sgk Vật Lí 11 - KNTT
- Giải sgk Hóa học 11 - KNTT
- Giải sgk Sinh học 11 - KNTT
- Giải sgk Lịch Sử 11 - KNTT
- Giải sgk Địa Lí 11 - KNTT
- Giải sgk Giáo dục KTPL 11 - KNTT
- Giải sgk Tin học 11 - KNTT
- Giải sgk Công nghệ 11 - KNTT
- Giải sgk Hoạt động trải nghiệm 11 - KNTT
- Giải sgk Giáo dục quốc phòng 11 - KNTT
- Giải sgk Âm nhạc 11 - KNTT
- Lớp 11 - Chân trời sáng tạo
- Soạn văn 11 (hay nhất) - CTST
- Soạn văn 11 (ngắn nhất) - CTST
- Giải sgk Toán 11 - CTST
- Giải sgk Vật Lí 11 - CTST
- Giải sgk Hóa học 11 - CTST
- Giải sgk Sinh học 11 - CTST
- Giải sgk Lịch Sử 11 - CTST
- Giải sgk Địa Lí 11 - CTST
- Giải sgk Giáo dục KTPL 11 - CTST
- Giải sgk Hoạt động trải nghiệm 11 - CTST
- Giải sgk Âm nhạc 11 - CTST
- Lớp 11 - Cánh diều
- Soạn văn 11 Cánh diều (hay nhất)
- Soạn văn 11 Cánh diều (ngắn nhất)
- Giải sgk Toán 11 - Cánh diều
- Giải sgk Vật Lí 11 - Cánh diều
- Giải sgk Hóa học 11 - Cánh diều
- Giải sgk Sinh học 11 - Cánh diều
- Giải sgk Lịch Sử 11 - Cánh diều
- Giải sgk Địa Lí 11 - Cánh diều
- Giải sgk Giáo dục KTPL 11 - Cánh diều
- Giải sgk Tin học 11 - Cánh diều
- Giải sgk Công nghệ 11 - Cánh diều
- Giải sgk Hoạt động trải nghiệm 11 - Cánh diều
- Giải sgk Giáo dục quốc phòng 11 - Cánh diều
- Giải sgk Âm nhạc 11 - Cánh diều


Giải bài tập SGK & SBT
Tài liệu giáo viên
Sách
Khóa học
Thi online
Hỏi đáp

