Dạng bài tập về phép quay 90 độ cực hay
Bài viết Dạng bài tập về phép quay 90 độ với phương pháp giải chi tiết giúp học sinh ôn tập, biết cách làm bài tập về phép quay 90 độ.
Dạng bài tập về phép quay 90 độ cực hay
(199k) Xem Khóa học Toán 11 KNTTXem Khóa học Toán 11 CDXem Khóa học Toán 11 CTST
A. Phương pháp giải
[1]. Biểu thức tọa độ của phép quay 90° và -90°
Trong hệ trục tọa Oxy:
[2]. Bài toán xác định vị trí của điểm, hình khi thực hiện phép quay cho trước
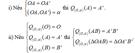
Bước 1. Xác định tâm quay và góc quay theo yêu cầu bài toán.
Bước 2. Áp dụng các kiến thức sau:
Bước 3. Kết luận.
B. Ví dụ minh họa
Ví dụ 1: Cho tam giác ABC, trọng tâm G ( thứ tự các điểm như hình vẽ)
a) Tìm ảnh của điểm B qua phép quay tâm A góc quay 90°
b) Tìm ảnh của đường thẳng BC qua phép quay tâm A góc quay 90°
c) Tìm ảnh của tam giác ABC qua phép quay tâm G góc quay 90°
Hướng dẫn giải:
a)
Dựng đoạn thẳng AB’ bằng đoạn thẳng AB sao cho (Vị trí B’ như hình vẽ sao để chiều quay dương và có độ lớn góc quay bằng 90°)
• Khi đó:
• Vậy B’ à ảnh của điểm B qua phép quay tâm A, góc quay 90°
b)
• Dựng đoạn thẳng AC’ bằng đoạn thẳng AC sao cho (Vị trí C’ như hình vẽ sao để chiều quay dương và có độ lớn góc quay bằng 90°)
•
Mặt khác, Q(A,90°)(B) = B' (theo câu a) (2)
• Từ (1) và (2) suy ra: Q(A,90°)(BC) = B'C'
c)
• Dựng đoạn thẳng GA’ bằng đoạn thẳng GA sao cho (Vị trí A’ như hình vẽ sao để chiều quay dương và có độ lớn góc quay bằng 90°)
• Dựng đoạn thẳng GB’’ bằng đoạn thẳng GB sao cho (Vị trí B’’ như hình vẽ sao để chiều quay dương và có độ lớn góc quay bằng 90°)
• Dựng đoạn thẳng GC’’ bằng đoạn thẳng GC sao cho (Vị trí C’’ như hình vẽ sao để chiều quay dương và có độ lớn góc quay bằng 90°)
• Khi đó:
Từ (1),(2),(3) suy ra: Q(G,90°)(ΔABB) = ΔAB''C''
Ví dụ 2: Cho hình vuông ABCD tâm O ( thứ tự các điểm như hình vẽ)
a) Tìm ảnh của điểm C qua phép quay tâm A, góc quay 90°
b) Tìm ảnh của đường thẳng BC qua phép quay tâm O, góc quay 90°
Hướng dẫn giải:
a) Gọi E là điểm đối xứng của C qua D.
Khi đó:
Vậy E là ảnh của C qua phéo quay tâm A, góc quay 90°
b) Vì ABCD là hình vuông nên
Từ (1) và (2) suy ra: Q(O,90°)(BC) = CD
Vậy CD là ảnh của BC qua phép quay tâm O góc quay 90°
Ví dụ 3: Trong mặt phẳng tọa độ Oxy cho điểm A(-1;5); đường thẳng d: 3x - y + 2 = 0 và đường tròn (C): (x + 4)2 + (y - 1)2 = 16
a) Tìm tọa độ điểm B là ảnh của điểm A qua phép quay tâm O(0;0) góc quay -90°.
b) Viết phương trình đường thẳng d' là ảnh của d qua phép quay tâm O góc quay -90°.
c) Tìm ảnh của đường tròn (C) qua phép quay tâm O, góc quay -90°
Hướng dẫn giải:
a)
Cách 1:
+) Do Q(O,90°)(A) = B nên dựa vào vẽ bên ta suy ra: B(5;1).
Cách 2:
+) Do Q(O,90°)(A) = B nên .
Vậy B(5;1).
b) Qua phép quay tâm O góc quay -90° đường thẳng d biến thành đường thẳng d' vuông góc với d.
Phương trình đường thẳng d' có dạng: x + 3y + m = 0.
Lấy A(0;2) ∈ d. Qua phép quay tâm O góc quay -90°, điểm A(0;2) biến thành điểm B(2;0) ∈ d'. Khi đó m = -2.
Vậy phương trình đường d' là x + 3y - 2 = 0.
c) Từ (C), ta có tâm I(-4; 1) và bán kính R = 4.
Khi đó: Q(O,90°)(I) = I'(1;4) và bán kính R' = R = 4.
Vậy: Q(O,90°)(C) = (C'): (x - 1)2 + (y - 4)2 = 16
C. Bài tập trắc nghiệm
Câu 1. Cho hình vuông ABCD tâm O, M là trung điểm của AB, N là trung điểm của OA ( thứ tự các điểm A,B,C,D như hình vẽ)
Tìm ảnh của ΔAMN qua phép quay tâm O, góc quay 90°.
A. ΔDM’N’, M’, N’ lần lượt là là trung điểm OC, OB
B. ΔDM’N’, M’, N’ lần lượt là là trung điểm OA, OB
C. ΔAM’N’, M’, N’ lần lượt là là trung điểm OC, OD
D. ΔAM’N’ với M’, N’ lần lượt là là trung điểm BC, OB
Lời giải:
Chọn D.
Câu 2. Cho hai hình vuông vuông ABCD và BEFG (như hình vẽ). Tìm ảnh của ΔABG trong phép quay tâm B, góc quay -90°.
A. ΔCBE
B. ΔCBF
C. ΔCBG
D. ΔCBD
Lời giải:
Chọn A.
Câu 3. Cho hình vuông ABCD có tâm là O,. Gọi M,N,P,Q theo thứ tự là trung điểm các cạnh AD, DC, CB, BA ( xem hình vẽ)
Tìm ảnh của tam giác ODN qua phép quay tâm O góc quay -90°.
A. ΔOCP
B. ΔOCM
C. ΔMCP
D. ΔNCP
Lời giải:
Chọn A
+) Ta có:
+) Từ (1), (2), (3) suy ra: Q(O,-90°)(ΔODN) = ΔOCP.
Câu 4. Trong mặt phẳng Oxy, ảnh của điểm M(-6;1) qua phép quay Q(O,90°)là:
A. M(1;6).
B. M(-1;-6).
C. M(-6;-1).
D. M(6;1).
Lời giải:
Chọn B
Cho điểm M(x;y). Khi đó Q(O,90°)(M) = M'(-y;x).
Do đó, với điểm M(-6;1) thì Q(O,90°)(M) = M'(-1;-6).
Câu 5. Trong mặt phẳng với hệ trục tọa độ Oxy, cho điểm M(2;0) và điểm N(0;2). Phép quay tâm O biến điểm M thành điển N, khi đó góc quay của nó là
A. φ = 30°.
B. φ = 45°.
C. φ = 90°.
D. φ = 270°.
Lời giải:
Chọn C
+ Q(O;φ): M(x;y) ↦ N(x';y'). Khi đó:
Thử đáp án ta nhận φ = 90°.
+ Hoặc biểu diễn trên hệ trục tọa độ ta cũng được đáp án tương tự
Câu 6. Trong mặt phẳng Oxy, cho điểm B(-3;6). Tìm toạ độ điểm E sao cho B là ảnh của E qua phép quay tâm O góc quay(-90°).
A. E(6;3).
B. E(-3;-6).
C. E(-6;-3).
D. E(3;6).
Lời giải:
Chọn C.
Điểm E(-6;-3).
Câu 7. Trong mặt phẳng với hệ tọa độ Oxy cho đường thẳng Δ: x + 2y - 6 = 0. Viết phương trình đường thẳng Δ' là ảnh của đường thẳng Δ qua phép quay tâm O góc 90°?
A. 2x - y + 6 = 0.
B. 2x - y-6 = 0.
C. 2x + y + 6 = 0.
D. 2x + y-6 = 0.
Lời giải:
Chọn A
Ta có Δ' ⊥ Δ ⇒ Δ': 2x - y+c = 0.
Lấy M(0;3) ∈ Δ, phép quay Q(O,90°) biến điểm M(0;3) thành điểm M'(-3;0).
Thế tọa độ điểm M'(-3;0) vào phương trình đường Δ': 2x - y + c = 0 ta được c = 6.
Vậy phương trình đường Δ': 2x - y + 6 = 0.
Câu 8. Trong mặt phẳng Oxy, cho đường tròn (C): (x - 2)2 + y2 = 8. Viết phương trình đường tròn (C1) sao cho (C) là ảnh của đường tròn (C1) qua phép quay tâm O, góc quay 90°.
A. x2 + (y + 2)2 = 8.
B. x2 + (y + 2)2 = 4.
A. (x - 2)2 + y2 = 8.
C. x2 + (y - 2)2 = 8.
Lời giải:
Chọn A
D. Bài tập tự luyện
Bài 1. Trong mặt phẳng tọa độ (Oxy), phép quay tâm (O) góc quay (90 độ) biến điểm M(-1; 2) thành điểm (M'). Tìm tọa độ điểm (M').
Bài 2. Phép quay tâm O góc quay 90 độ biến (C): x2 + y2 + 4y - 5 = 0. Tìm phương trình đường tròn (C').
Bài 3. Trong mặt phẳng tọa độ Oxy, Phép quay tâm O góc quay 90 độ biến điểm M(- 3;5) thành điểm nào?
Bài 4. Trong mặt phẳng Oxy phép quay Q(O; 90°) biến đường thẳng d có phương trình: 2x - y + 1 = 0 thành đường thẳng d’ có phương trình?
Bài 5. Cho hình chữ nhật EFHK. Phép quay tâm F, góc quay 90 độ biến điểm E thành điểm nào dưới đây?
A. Điểm H.
B. Điểm I thỏa mãn F là trung điểm HI.
C. Điểm K.
D. Điểm J thỏa mãn F là trung điểm EJ.
(199k) Xem Khóa học Toán 11 KNTTXem Khóa học Toán 11 CDXem Khóa học Toán 11 CTST
Xem thêm các dạng bài tập Toán lớp 11 có trong đề thi THPT Quốc gia khác:
- Tìm ảnh của một đường tròn qua phép đối xứng tâm cực hay
- Cách tìm tâm đối xứng cực hay
- Dạng bài tập về phép quay 90 độ cực hay
- Dạng bài tập về phép quay 180 độ cực hay
- Cách tìm ảnh của điểm qua phép quay cực hay
- Cách tìm ảnh của đường thẳng qua phép quay cực hay
Tủ sách VIETJACK shopee lớp 10-11 (cả 3 bộ sách):
Đã có app VietJack trên điện thoại, giải bài tập SGK, SBT Soạn văn, Văn mẫu, Thi online, Bài giảng....miễn phí. Tải ngay ứng dụng trên Android và iOS.
Theo dõi chúng tôi miễn phí trên mạng xã hội facebook và youtube:Nếu thấy hay, hãy động viên và chia sẻ nhé! Các bình luận không phù hợp với nội quy bình luận trang web sẽ bị cấm bình luận vĩnh viễn.
- Giải Tiếng Anh 11 Global Success
- Giải sgk Tiếng Anh 11 Smart World
- Giải sgk Tiếng Anh 11 Friends Global
- Lớp 11 - Kết nối tri thức
- Soạn văn 11 (hay nhất) - KNTT
- Soạn văn 11 (ngắn nhất) - KNTT
- Giải sgk Toán 11 - KNTT
- Giải sgk Vật Lí 11 - KNTT
- Giải sgk Hóa học 11 - KNTT
- Giải sgk Sinh học 11 - KNTT
- Giải sgk Lịch Sử 11 - KNTT
- Giải sgk Địa Lí 11 - KNTT
- Giải sgk Giáo dục KTPL 11 - KNTT
- Giải sgk Tin học 11 - KNTT
- Giải sgk Công nghệ 11 - KNTT
- Giải sgk Hoạt động trải nghiệm 11 - KNTT
- Giải sgk Giáo dục quốc phòng 11 - KNTT
- Giải sgk Âm nhạc 11 - KNTT
- Lớp 11 - Chân trời sáng tạo
- Soạn văn 11 (hay nhất) - CTST
- Soạn văn 11 (ngắn nhất) - CTST
- Giải sgk Toán 11 - CTST
- Giải sgk Vật Lí 11 - CTST
- Giải sgk Hóa học 11 - CTST
- Giải sgk Sinh học 11 - CTST
- Giải sgk Lịch Sử 11 - CTST
- Giải sgk Địa Lí 11 - CTST
- Giải sgk Giáo dục KTPL 11 - CTST
- Giải sgk Hoạt động trải nghiệm 11 - CTST
- Giải sgk Âm nhạc 11 - CTST
- Lớp 11 - Cánh diều
- Soạn văn 11 Cánh diều (hay nhất)
- Soạn văn 11 Cánh diều (ngắn nhất)
- Giải sgk Toán 11 - Cánh diều
- Giải sgk Vật Lí 11 - Cánh diều
- Giải sgk Hóa học 11 - Cánh diều
- Giải sgk Sinh học 11 - Cánh diều
- Giải sgk Lịch Sử 11 - Cánh diều
- Giải sgk Địa Lí 11 - Cánh diều
- Giải sgk Giáo dục KTPL 11 - Cánh diều
- Giải sgk Tin học 11 - Cánh diều
- Giải sgk Công nghệ 11 - Cánh diều
- Giải sgk Hoạt động trải nghiệm 11 - Cánh diều
- Giải sgk Giáo dục quốc phòng 11 - Cánh diều
- Giải sgk Âm nhạc 11 - Cánh diều


Giải bài tập SGK & SBT
Tài liệu giáo viên
Sách
Khóa học
Thi online
Hỏi đáp

