Đạo hàm của hàm số lượng giác và cách giải (hay, chi tiết)
Bài viết Đạo hàm của hàm số lượng giác và cách giải sẽ giúp học sinh nắm vững lý thuyết, biết cách làm bài tập từ đó có kế hoạch ôn tập hiệu quả để đạt kết quả cao trong các bài thi môn Toán 11.
Đạo hàm của hàm số lượng giác và cách giải
(199k) Xem Khóa học Toán 11 KNTTXem Khóa học Toán 11 CDXem Khóa học Toán 11 CTST
1. Lý thuyết
a) Giới hạn:
b) Công thức đạo hàm của hàm số lượng giác
|
Đạo hàm của hàm số lượng giác cơ bản |
Đạo hàm của hàm số hợp (u = u(x)) |
|
(sin x)’ = cos x (cos x)’ = – sin x
|
(sin u)’ = u'.cos u (cos u)’ = – u'.sin u
|
2. Các dạng bài tập
Dạng 1. Tính đạo hàm của các hàm chứa hàm số lượng giác
Phương pháp giải:
- Áp dụng các công thức đạo hàm của các hàm số lượng giác.
- Áp dụng quy tắc đạo hàm của tổng, hiệu, tích, thương và hàm số hợp
Ví dụ minh họa:
Ví dụ 1: Tìm đạo hàm của các hàm số sau:
a) y = 5sin x – 3cos x
b) y = sin(x2 – 3x + 2)
d) y = tan 3x – cot 3x
e)
Lời giải
a) Ta có: y' = 5cos x + 3sin x
b) Ta có: y' = (x2 – 3x + 2)’.cos(x2 – 3x + 2) = (2x – 3).cos(x2 – 3x + 2).
c) Ta có:
d) Ta có các cách thực hiện sau:
Cách 1: Ta có ngay:
Cách 2: Ta biến đổi:
e)
Ví dụ 2: Tìm đạo hàm của các hàm số sau:
Lời giải
Dạng 2. Chứng minh đẳng thức, giải phương trình, bất phương trình liên quan đến đạo hàm
Ví dụ 1: Chứng minh rằng:
a) Hàm số y = tan x thoả mãn hệ thức y’ – y2 – 1 = 0.
b) Hàm số y = cot 2x thoả mãn hệ thức y’ + 2y2 + 2 = 0.
Lời giải
a) Trước tiên, ta có:
Khi đó, ta có:
y' − y2 − 1 = (đpcm)
b) Trước tiên, ta có:
Khi đó, ta có:
y' + 2y2 +2 = (đpcm)
Ví dụ 2: Giải phương trình y’ = 0 trong mỗi trường hợp sau:
a) y = sin 2x – 2cos x.
b) y = 3sin 2x + 4cos 2x + 10x.
Lời giải
a) Trước tiên, ta có: y' = 2cos 2x + 2sin x.
Khi đó, phương trình có dạng:
2cos 2x + 2sin x = 0 ⇔ cos2 x = −sin x =
b) Trước tiên, ta có:
y’ = 6cos 2x – 8sin 2x + 10.
Khi đó, phương trình có dạng:
6cos 2x – 8sin 2x + 10 = 0 ⇔ 4sin 2x - 3cos 2x = 5
⇔ sin 2x −
cos 2x = 1
Đặt = cosa và
= sina , do đó ta được:
sin 2x.cosa − cos 2x.sina = 1 ⇔ sin(2x − a) = 1
3. Bài tập tự luyện
Câu 1. Hàm số y = cotx có đạo hàm là:
A. y’ = - tan x B. C.
D. y’ = 1 + cot2x
Câu 2. Hàm số có đạo hàm là:
Câu 3. Hàm số có đạo hàm là:
Câu 4. Đạo hàm của hàm số y = 3sin 2x + cos 3x là:
A. y’ = 3cos 2x – sin 3x
B. y’ = 3cos 2x + sin 3x
C. y’ = 6cos 2x – 3sin 3x
D. y’ = – 6cos 2x + 3sin 3x
Câu 5. Hàm số y = x tan2x có đạo hàm là:
Câu 6. Đạo hàm của hàm số y = 2sin3x.cos5x có biểu thức nào sau đây?
A. 30cos3x.sin5x
B. – 8cos8x + 2cos2x
C. 8cos8x – 2cos2x
D. – 30cos3x + 30sin5x
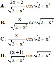
Câu 7. Hàm số có đạo hàm là:
A. B.
C. D.
Câu 8. Hàm số có đạo hàm là:
Câu 9. Hàm số y = tan x – cot x có đạo hàm là:
Câu 10. Đạo hàm của hàm số có biểu thức dạng
Vậy giá trị a là:
A. a = 1 B. a = – 2 C. a = 3 D. a = 2
Câu 11. Cho hàm số . Đạo hàm y' của hàm số là
Câu 12. Đạo hàm của hàm số là
A. y' = 2sin 2x.cos x − sin x.sin2 2x −
B. y' = 2sin 2x.cos x − sin x.sin2 2x −
C. y' = 2sin 4x.cos x + sin x.sin2 2x −
D. y' = 2sin 4x.cos x − sin x.sin2 2x −
Câu 13. Cho hàm số . Giá trị đúng của
bằng
Câu 14. Cho hàm số y = cos2x + sin x. Phương trình y' = 0 có bao nhiêu nghiệm thuộc khoảng (0;π)
A. 1 nghiệm B. 2 nghiệm C. 3 nghiệm D. 4 nghiệm
Câu 15. Cho hàm số y = sin 2x + x. Số nào sau đây là nghiệm của phương trình y’ = 0 trong khoảng (−π;π)
BẢNG ĐÁP ÁN
|
1 |
2 |
3 |
4 |
5 |
6 |
7 |
8 |
9 |
10 |
11 |
12 |
13 |
14 |
15 |
|
C |
B |
B |
C |
C |
B |
B |
D |
C |
B |
C |
D |
A |
C |
B |
(199k) Xem Khóa học Toán 11 KNTTXem Khóa học Toán 11 CDXem Khóa học Toán 11 CTST
Xem thêm phương pháp giải các dạng bài tập Toán lớp 11 có đáp án, hay khác:
- Ứng dụng Đạo hàm để giải phương trình, bất phương trình
- Các bài toán về vi phân, đạo hàm cấp cao và ý nghĩa của đạo hàm
- Các dạng bài tập về tiếp tuyến lớp 11 và cách giải
- Đại cương về đường thẳng và mặt phẳng và cách giải
- Hai đường thẳng song song trong không gian và cách giải
Tủ sách VIETJACK shopee lớp 10-11 (cả 3 bộ sách):
Đã có app VietJack trên điện thoại, giải bài tập SGK, SBT Soạn văn, Văn mẫu, Thi online, Bài giảng....miễn phí. Tải ngay ứng dụng trên Android và iOS.
Theo dõi chúng tôi miễn phí trên mạng xã hội facebook và youtube:Nếu thấy hay, hãy động viên và chia sẻ nhé! Các bình luận không phù hợp với nội quy bình luận trang web sẽ bị cấm bình luận vĩnh viễn.
- Giải Tiếng Anh 11 Global Success
- Giải sgk Tiếng Anh 11 Smart World
- Giải sgk Tiếng Anh 11 Friends Global
- Lớp 11 - Kết nối tri thức
- Soạn văn 11 (hay nhất) - KNTT
- Soạn văn 11 (ngắn nhất) - KNTT
- Giải sgk Toán 11 - KNTT
- Giải sgk Vật Lí 11 - KNTT
- Giải sgk Hóa học 11 - KNTT
- Giải sgk Sinh học 11 - KNTT
- Giải sgk Lịch Sử 11 - KNTT
- Giải sgk Địa Lí 11 - KNTT
- Giải sgk Giáo dục KTPL 11 - KNTT
- Giải sgk Tin học 11 - KNTT
- Giải sgk Công nghệ 11 - KNTT
- Giải sgk Hoạt động trải nghiệm 11 - KNTT
- Giải sgk Giáo dục quốc phòng 11 - KNTT
- Giải sgk Âm nhạc 11 - KNTT
- Lớp 11 - Chân trời sáng tạo
- Soạn văn 11 (hay nhất) - CTST
- Soạn văn 11 (ngắn nhất) - CTST
- Giải sgk Toán 11 - CTST
- Giải sgk Vật Lí 11 - CTST
- Giải sgk Hóa học 11 - CTST
- Giải sgk Sinh học 11 - CTST
- Giải sgk Lịch Sử 11 - CTST
- Giải sgk Địa Lí 11 - CTST
- Giải sgk Giáo dục KTPL 11 - CTST
- Giải sgk Hoạt động trải nghiệm 11 - CTST
- Giải sgk Âm nhạc 11 - CTST
- Lớp 11 - Cánh diều
- Soạn văn 11 Cánh diều (hay nhất)
- Soạn văn 11 Cánh diều (ngắn nhất)
- Giải sgk Toán 11 - Cánh diều
- Giải sgk Vật Lí 11 - Cánh diều
- Giải sgk Hóa học 11 - Cánh diều
- Giải sgk Sinh học 11 - Cánh diều
- Giải sgk Lịch Sử 11 - Cánh diều
- Giải sgk Địa Lí 11 - Cánh diều
- Giải sgk Giáo dục KTPL 11 - Cánh diều
- Giải sgk Tin học 11 - Cánh diều
- Giải sgk Công nghệ 11 - Cánh diều
- Giải sgk Hoạt động trải nghiệm 11 - Cánh diều
- Giải sgk Giáo dục quốc phòng 11 - Cánh diều
- Giải sgk Âm nhạc 11 - Cánh diều


Giải bài tập SGK & SBT
Tài liệu giáo viên
Sách
Khóa học
Thi online
Hỏi đáp

