Cách tính khoảng cách giữa đường thẳng và mặt phẳng song song cực hay
Bài viết Cách tính khoảng cách giữa đường thẳng và mặt phẳng song song với phương pháp giải chi tiết giúp học sinh ôn tập, biết cách làm bài tập Cách tính khoảng cách giữa đường thẳng và mặt phẳng song song.
- Cách giải bài tập tính khoảng cách giữa đường thẳng và mặt phẳng song song
- Ví dụ minh họa bài tập tính khoảng cách giữa đường thẳng và mặt phẳng song song
- Bài tập vận dụng tính khoảng cách giữa đường thẳng và mặt phẳng song song
- Bài tập tự luyện tính khoảng cách giữa đường thẳng và mặt phẳng song song
Cách tính khoảng cách giữa đường thẳng và mặt phẳng song song cực hay
(199k) Xem Khóa học Toán 11 KNTTXem Khóa học Toán 11 CDXem Khóa học Toán 11 CTST
A. Phương pháp giải
Cho đường thẳng d // (P); để tính khoảng cách giữa d và (P) ta thực hiện các bước:
+ Bước 1: Chọn một điểm A trên d, sao cho khoảng cách từ A đến (P) có thể được xác định dễ nhất.
+ Bước 2: Kết luận: d(d; (P)) = d(A; (P)).
B. Ví dụ minh họa
Ví dụ 1: Cho hình chóp S. ABCD có SA ⊥ (ABCD), đáy ABCD là hình thang vuông tại A và B; AB = a. Gọi I và J lần lượt là trung điểm của AB và CD. Tính khoảng cách giữa đường thẳng IJ và (SAD)
Hướng dẫn giải
Chọn C
Ta có: I và J lần lượt là trung điểm của AB và CD nên IJ là đường trung bình của hình thang ABCD
Ví dụ 2: Cho hình thang vuông ABCD vuông ở A và D; AD = 2a. Trên đường thẳng vuông góc tại D với (ABCD) lấy điểm S với SD = a√2. Tính khỏang cách giữa đường thẳng CD và (SAB).
Hướng dẫn giải
Chọn A
Vì DC // AB nên DC // (SAB)
⇒ d(DC; (SAB)) = d(D; (SAB))
Kẻ DH ⊥ SA
Do AB ⊥ AD và AB ⊥ SA nên AB ⊥ (SAD)
⇒ DH ⊥ AB lại có DH ⊥ SA
⇒ DH ⊥ (SAB)
Nên d(CD; (SAB)) = DH.
Trong tam giác vuông SAD ta có:
Ví dụ 3: Cho hình chóp O.ABC có đường cao OH = 2a/√3 . Gọi M và N lần lượt là trung điểm của OA và OB. Khoảng cách giữa đường thẳng MN và (ABC) bằng:
Hướng dẫn giải
Chọn D
Vì M và N lần lượt là trung điểm của OA và OB nên
MN // AB
⇒ MN // (ABC)
Khi đó, ta có:
(vì M là trung điểm của OA).
Ví dụ 4: Cho hình chóp tứ giác đều S.ABCD có AB = SA = 2a . Khoảng cách từ đường thẳng AB đến (SCD) bằng bao nhiêu?
Hướng dẫn giải
Gọi O là giao điểm của AC và BD; gọi I và M lần lượt là trung điểm cạnh AB và CD. Khi đó; IM // AD //BC
Do S.ABCD là hình chóp tứ giác đều có O là tâm của hình vuông nên SO ⊥ (ABCD) .
+ Do tam giác SAB là đều cạnh 2a
Chọn đáp án D
C. Bài tập vận dụng
Câu 1: Cho hình chóp S.ABCD có đáy ABCD là hình vuông tâm O, cạnh a. Biết hai mặt bên (SAB) và (SAD) cùng vuông góc với mặt phẳng đáy và SA = a√2. Gọi E là trung điểm AD. Khoảng cách giữa AB và (SOE) là
Lời giải:
+ Vì hai mặt bên (SAB) và (SAD) cùng vuông góc với mặt phẳng đáy .
mà (SAB) ∩ (SAD) = SA
⇒ SA ⊥ (ABCD) .
+ Do E là trung điểm của AD khi đó
Tam giác ABD có EO là đường trung bình
⇒ EO // AB ⇒ AB // (SOE)
⇒ d(AB, (SOE)) = d(A; (SOE)) = AH
với H là hình chiếu của A lên SE.
Câu 2: Cho hình lập phương ABCD.A'B'C'D' có cạnh bằng 1 (đvdt). Khoảng cách giữa AA’ và (BB’D’) bằng:
Lời giải:
Chọn B
Ta có: AA’ // BB’ mà BB’ ⊂ ( BDD’B’)
⇒ AA’ // (BDD’B’)
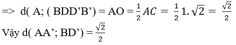
⇒ d( AA’; (BD’B’)) = d(A; (BDD’B’)
Gọi O là giao điểm của AC và BD
⇒ AO ⊥ (BDD’B’) (tính chất hình lập phương)
Câu 3: Cho hình chóp S.ABCD có SA ⊥ (ABCD) đáy ABCD là hình chữ nhật với AC = a√5 và BC = a√2. Tính khoảng cách giữa (SDA) và BC?
Lời giải:
+ Ta có: BC // AD nên BC // (SAD)
⇒ d(BC; (SAD)) = d(B; SAD))
+ Ta chứng minh BA ⊥ (SAD) :
Do BA ⊥ AD (vì ABCD là hình chữ nhật)
Và BA ⊥ SA (vì SA ⊥ (ABCD))
⇒ BA ⊥ (SAD)
⇒ d(B; (SAD)) = BA
Áp dụng định lí Pytago trong tam giác vuông ABC có:
AB2 = AC2 - BC2 = 5a2 - 2a2 = 3a2
⇒ AB = √3 a
⇒ d(CB; (SAD)) = AB = √3 a
Đáp án D
Câu 4: Cho hình chóp S.ABCD có đáy ABCD là hình chữ nhật và AB = 2a; BC = a . Các cạnh bên của hình chóp bằng nhau và bằng a√2 . Gọi E và F lần lượt là trung điểm của AB và CD; K là điểm bất kỳ trên BC. Khoảng cách giữa hai đường thẳng EF và (SBK) là:
Lời giải:
Gọi O là giao điểm của AC và BD; I là trung điểm cạnh BC
+ Do SA = SB = SC = SD và OA = OB = OC = OD nên SO ⊥ (ABCD)
+ Ta chứng minh BC ⊥ (SOI)
- Tam giác SBC cân tại S có SI là đường trung tuyến nên đồng thời là đường cao: BC ⊥ SI (1).
- Lại có: BC ⊥ SO (vì SO ⊥ (ABCD)) (2)
Từ ( 1) và ( 2) suy ra: BC ⊥ (SOI)
Mà OH ⊂ (SOI) nên BC ⊥ OH
⇒ OH ⊥ (SBC)
Do EF // BK nên EF // (SBK)
⇒ d(EF; (SBK)) = d(O; (SBK)) = OH
Chọn đáp án D.
Câu 5: Cho hình chóp S.ABC có đáy ABC là tam giác vuông tại B; AB= a cạnh bên SA vuông góc với đáy và SA = a√2. Gọi M và N lần lượt là trung điểm của AB; AC. Khoảng cách giữa BC và (SMN) bằng bao nhiêu?
Lời giải:
+ Tam giác ABC có MN là đường trung bình nên MN // BC
⇒ BC // (SMN) nên :
d(BC; (SMN)) = d(B; (SMN)) = d(A; (SMN))
Gọi H là hình chiếu vuông góc của A trên đoạn SM.
+ Ta chứng minh: MN ⊥ (SAM):
Chọn đáp án A
Câu 6: Cho hình chóp S.ABCD có đáy là hình vuông ABCD cạnh a. Các cạnh bên SA = SB = SC = SD = a√2. Khoảng cách giữa hai đường thẳng AD và (SBC) là:
Lời giải:
+ Do AD // BC nên AD // (SBC)
⇒ d (AD, (SBC)) = d(H; (SBC))
trong đó H là trung điểm AD.
+ Gọi M là trung điểm của BC và K là hình chiếu vuông góc của H lên SM
⇒ d(H; (SBC)) = HK.
+ Diện tích tam giác SMH là:
Chọn đáp án C
Câu 7: Cho hình chóp S.ABCD có đáy là hình vuông cạnh a, SD = a√17/2 . Hình chiếu vuông góc H của đỉnh S lên mặt phẳng (ABCD) là trung điểm của cạnh AB. Gọi K là trung điểm của AD. Tính khoảng cách giữa hai đường HK và (SBD) theo a
Lời giải:
+ Ta có: H và K lần lượt là trung điểm của AB và AD nên HK là đường trung bình của tam giác ABD
⇒ HK // BD ⇒ HK // (SBD)
⇒ d(HK; (SBD)) = d(H, (SBD))
Kẻ HI ⊥ BD và HJ ⊥ SI
Chọn đáp án C
Câu 8: Cho hình chóp S.ABCD có đáy ABCD là hình thoi cạnh a và ∠ABC = 60° Hai mặt phẳng (SAC) và (SBD) cùng vuông góc với đáy, góc giữa hai mặt phẳng (SAB) và (ABCD) bằng 30°. Khoảng cách giữa hai đường thẳng CD và (SAB) theo a bằng:
Lời giải:
Gọi O là giao điểm của AC và BD
Kẻ: OI ⊥ AB; OH ⊥ SI
+ Do CD // AB nên CD // (SAB)
⇒ d(CD, (SAB)) = d(C; (SAB)) = 2d( O; (SAB))
Ta có: AB ⊥ SO , AB ⊥ OI ⇒ AB ⊥ (SOI) ⇒ AB ⊥ OH
Nên OH ⊥ (SAB) ⇒ d(O, (SAB)) = OH
Mà tam giác ACB cân tại B có ∠ABC = 60° nên tam giác ABC đều
⇒ OC = (1/2)AC = (1/2)AB = a/2 .
+ xét tam giác OAB có:
Chọn đáp án B
Câu 9: Cho hình chóp tứ giác đều S.ABCD có đường cao SO = 2, mặt bên hợp với mặt đáy một góc 60°. Khi đó khoảng cách giữa hai đường thẳng AB và (SCD) bằng
Lời giải:
+ Gọi I là trung điểm của CD . Ta có:
⇒ ((SCD), (ABCD)) = (OI, SI) = 60°
+ Ta có: AB // CD nên AB // (SCD)
⇒ d(AB, (SCD)) = d(A, ( SCD)) = 2.d(O, (SCD))
+ Trong mp (SOI) , gọi H là hình chiếu vuông góc của O lên SI
+ Tam giác SOI vuông tại O, có đường cao OH nên
Do đó: d(AB; (SCD)) = 2d(O; (SCD)) = 2.OH = 2.1 = 2
Chọn B
D. Bài tập tự luyện
Bài 1. Cho hình thang vuông ABCD vuông ở A và D; AD = a. Trên đường thẳng vuông góc tại D với (ABCD) lấy điểm S với SD = . Tính khỏang cách giữa đường thẳng CD và (SAB).
Bài 2. Cho hình chóp S.ABCD có đáy ABCD là hình vuông tâm O, cạnh a. Biết hai mặt bên (SAB) và (SAD) cùng vuông góc với mặt phẳng đáy và SA = . Gọi E là trung điểm AD. Khoảng cách giữa AB và (SOE) bằng bao nhiêu?
Bài 3. Cho hình chóp S.ABCD có SA ⊥ (ABCD) đáy ABCD là hình chữ nhật với AC = và BC = . Tính khoảng cách giữa (SDA) và BC.
Bài 4. Cho hình chóp tứ giác đều S.ABCD có đường cao SO = 2, mặt bên hợp với mặt đáy một góc 60°. Tính khoảng cách giữa hai đường thẳng AB và (SCD).
Bài 5. Cho hình chóp tứ giác đều S.ABCD có AB = SA = a . Khoảng cách từ đường thẳng AB đến (SCD) bằng bao nhiêu?
Tủ sách VIETJACK shopee lớp 10-11 (cả 3 bộ sách):
Đã có app VietJack trên điện thoại, giải bài tập SGK, SBT Soạn văn, Văn mẫu, Thi online, Bài giảng....miễn phí. Tải ngay ứng dụng trên Android và iOS.
Theo dõi chúng tôi miễn phí trên mạng xã hội facebook và youtube:Nếu thấy hay, hãy động viên và chia sẻ nhé! Các bình luận không phù hợp với nội quy bình luận trang web sẽ bị cấm bình luận vĩnh viễn.
- Giải Tiếng Anh 11 Global Success
- Giải sgk Tiếng Anh 11 Smart World
- Giải sgk Tiếng Anh 11 Friends Global
- Lớp 11 - Kết nối tri thức
- Soạn văn 11 (hay nhất) - KNTT
- Soạn văn 11 (ngắn nhất) - KNTT
- Giải sgk Toán 11 - KNTT
- Giải sgk Vật Lí 11 - KNTT
- Giải sgk Hóa học 11 - KNTT
- Giải sgk Sinh học 11 - KNTT
- Giải sgk Lịch Sử 11 - KNTT
- Giải sgk Địa Lí 11 - KNTT
- Giải sgk Giáo dục KTPL 11 - KNTT
- Giải sgk Tin học 11 - KNTT
- Giải sgk Công nghệ 11 - KNTT
- Giải sgk Hoạt động trải nghiệm 11 - KNTT
- Giải sgk Giáo dục quốc phòng 11 - KNTT
- Giải sgk Âm nhạc 11 - KNTT
- Lớp 11 - Chân trời sáng tạo
- Soạn văn 11 (hay nhất) - CTST
- Soạn văn 11 (ngắn nhất) - CTST
- Giải sgk Toán 11 - CTST
- Giải sgk Vật Lí 11 - CTST
- Giải sgk Hóa học 11 - CTST
- Giải sgk Sinh học 11 - CTST
- Giải sgk Lịch Sử 11 - CTST
- Giải sgk Địa Lí 11 - CTST
- Giải sgk Giáo dục KTPL 11 - CTST
- Giải sgk Hoạt động trải nghiệm 11 - CTST
- Giải sgk Âm nhạc 11 - CTST
- Lớp 11 - Cánh diều
- Soạn văn 11 Cánh diều (hay nhất)
- Soạn văn 11 Cánh diều (ngắn nhất)
- Giải sgk Toán 11 - Cánh diều
- Giải sgk Vật Lí 11 - Cánh diều
- Giải sgk Hóa học 11 - Cánh diều
- Giải sgk Sinh học 11 - Cánh diều
- Giải sgk Lịch Sử 11 - Cánh diều
- Giải sgk Địa Lí 11 - Cánh diều
- Giải sgk Giáo dục KTPL 11 - Cánh diều
- Giải sgk Tin học 11 - Cánh diều
- Giải sgk Công nghệ 11 - Cánh diều
- Giải sgk Hoạt động trải nghiệm 11 - Cánh diều
- Giải sgk Giáo dục quốc phòng 11 - Cánh diều
- Giải sgk Âm nhạc 11 - Cánh diều


Giải bài tập SGK & SBT
Tài liệu giáo viên
Sách
Khóa học
Thi online
Hỏi đáp

