Lý thuyết, bài tập Phương pháp quy nạp toán học (hay, chi tiết)
Bài viết Lý thuyết, bài tập Phương pháp quy nạp toán học với phương pháp giải chi tiết giúp học sinh ôn tập, biết cách làm bài tập Lý thuyết, bài tập Phương pháp quy nạp toán học.
Lý thuyết, bài tập Phương pháp quy nạp toán học (hay, chi tiết)
(199k) Xem Khóa học Toán 11 KNTTXem Khóa học Toán 11 CDXem Khóa học Toán 11 CTST
A. Phương pháp giải & Ví dụ
Giả sử cần chứng minh đẳng thức P(n) = Q(n) (hoặc P(n) > Q(n)) đúng với n ≥ n0, n0 ∈ N* ta thực hiện các bước sau:
Bước 1: Tính P(n0),Q(n0) rồi chứng minh P(n0 )= Q(n0)
Bước 2: Giả sử P(k) = Q(k) ; k ≥ n0, k ∈ N*, ta cần chứng minh P(k+1) = Q(k+1).
Ví dụ minh họa
Bài 1: Chứng mình với mọi số tự nhiên n ≥ 1 ta luôn có: 1+2+3+...+n= (n(n+1))/2
Đặt P(n) = 1+2+3+...+n : tổng n số tự nhiên đầu tiên :
Ta cần chứng minh P(n) = Q(n) n ≥ 1 ,n ∈ N*.
Bước 1: Với n = 1 ta có P(1) = 1, Q(1) = 1
⇒ P(1) = Q(1) = 1đúng vớí n = 1.
Bước 2: Giả sử P(k0 = Q(k) với k ≥ 1 ,k ∈ N*. tức là:
Ta cần chứng minh P(k+1) = Q(k+1), tức là:
Thật vậy:
Vậy đẳng thức đã cho đúng với mọi n ≥ 1.
Bài 2:Chứng minh với mọi số tự nhiên n ≥ 1 ta luôn có: 1+3+5+⋯+2n-1=n2
♦ Với n = 1 ta có VT =VP = 1
Suy ra đẳng thức đã cho đúng với n = 1.
♦ Giả sử đẳng thức đã cho đúng với n = k với k ≥ 1 ,k ∈ N*. tức là:
1 + 3 + 5 + ... + 2k - 1 = k2 (1)
Ta cần chứng minh đẳng thức đã cho đúng với n = k+1, tức là:
1 + 3 + 5 + ... + (2k - 1) + (2k + 1) = (k + 1)2 (2)
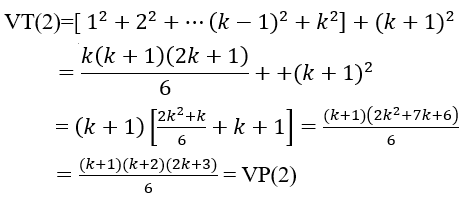
Thật vậy: VT(2) = 1 + 3 + 5 + ... + (2k - 1) + (2k + 1)
= k2 + (2k + 1) = (k + 1)2 = VP(2)
Vậy đẳng thức đã cho đúng với mọi n = 1.
Bài 3: Chứng minh rằng vớí ∀n ≥ 1, ta có bất đẳng thức:
♦ Với n = 1 ta có đẳng thức đã cho trở thành :1/2 < 1/√3 ⇒ 2 > √3 đúng.
⇒ Đẳng thức đã cho đúng với n = 1.
♦ Giả sử đẳng thức đã cho đúng với n = k ≥ 1 , tức là :
Ta phải chứng minh đẳng thức đã cho đúng với n = k+1, tức là :
Thật vậy, ta có :
Ta chứng minh:
⇔ (2k+1)(2k+3) < (2k+2)2
⇒ 3 > 1 (luôn đúng)
Vậy đẳng thức đã cho đúng với mọi số tự nhiên n ≥ 1.
Chú ý: Vậy Phương pháp quy nạp toán học còn được ứng dụng nhiều trong số học và hình học
B. Bài tập vận dụng
Bài 1: Chứng minh rằng với mọi số tự nhiên n ≥ 1 , ta luôn có
Lời giải:
Bước 1: Với n = 1 ta có: VT = 1 ; VP = 1 ⇒ VT=VP
⇒ Đẳng thức đã cho đúng vớí n = 1.
Bước 2: Giả sử đẳng thức đã cho đúng với n = k ≥ 1, tức là
Ta sẽ chứng minh đẳng thức đã cho đúng với n = k+1, tức là cần chứng minh
Thật vậy:
⇒ (1) đúng đẳng thức đã cho đúng với mọi n ≥ 1.
Bài 2: Chứng minh các đẳng thức sau:
Lời giải:
Bài 3: Chứng minh rằng với mọi n ≥ 1 ta có bất đẳng thức:
|sinnx| ≤ k|sinx| ∀x ∈ I
Lời giải:
Làm tương tự câu 1. Với n=1 đẳng thức đã cho đúng
Gợi ý:
* Với n=1 ta có:VT = |sin1.α|=1.|sinα| =VP nên đẳng thức đã cho đúng.
* Giả sử đẳng thức đã cho đúng với n = k+1, tức là :|sinkα| ≤ k|sinα| (1)
Ta phải chứng minh đẳng thức đã cho đúng với n = k+1,tức là :
|sin(k+1)α| ≤ (k+1)|sinα| (2)
Thật vậy:
|sin(k+1)α|=|sinkα.cosα+coskα.sinα| ≤ |sinkα||cosα|+|coskα||sinα| ≤ |sinkα|+|sinα| ≤ k|sinα|+|sinα| ≤ (k+1)|sinα|
Vậy đẳng thức đã cho đúng với n=k+1, nên đẳng thức đã cho cũng đúng với mọi số nguyên dương n.
Bài 4: Chứng minh rằng với mọi số tự nhiên n ≥ 1 thì A(n)=7n+3n-1 luôn chia hết cho 9
Lời giải:
* Với n=1 ⇒ A(1)=71+3.1-1=9 ⇒ A(1)chia hết cho 9
* Giả sử A(k)chia hết cho 9 ∀k ≥ 1, ta chứng minh A(k+1)chia hết cho 9
Thật vậy:A(k+1)=7k+1+3(k+1)1=7.7k+21k-7-18k+9 ⇒ A(k+1)=7A(k)-9(2k-1)
Vì A(k) chia hết cho 9 và 9(2k-1) chia ết cho 9 nên A(2k+1) chia hết cho 9
Vậy A(n) chia hết cho 9 với mọi số tự nhiên n ≥ 1.
Bài 5: Chứng minh rằng tổng các trong một n – giác lồi (n ≥ 1) bằng (n-2)180º.
Lời giải:
* Với n = 3 ta có tổng ba góc trong tam giác bằng 180º
* Giả sử công thức đúng cho tất cả k-giác, với k < n, ta phải chứng minh mệnh đề cũng đúng cho n-giác. Ta có thể chia n-giác bằng một đường chéo thành ra hai đa giác. Nếu số cạnh của một đa giác là k+1, thì số cạnh của đa giác kia là n – k + 1, hơn nữa cả hai số này đều nhỏ hơn n. Theo giả thiết quy nạp tổng các góc của hai đa giác này lần lượt là. (k-1)180ºvà (n-k-1)180º
Tổng các góc của n-giác bằng tổng các góc của hai đa giác trên, nghĩa là (k-1+n-k-1)180º=(n-2)180º.
Suy ra mệnh đề đúng với mọi n ≥ 3..
(199k) Xem Khóa học Toán 11 KNTTXem Khóa học Toán 11 CDXem Khóa học Toán 11 CTST
Xem thêm các dạng bài tập Toán lớp 11 có trong đề thi THPT Quốc gia khác:
- Trắc nghiệm phương pháp quy nạp toán học
- Dạng 2: Xác định số hạng của dãy số
- Trắc nghiệm xác định số hạng của dãy số
- Dạng 3: Tính đơn điệu, tính bị chặn của dãy số
- Trắc nghiệm tính đơn điệu, tính bị chặn của dãy số
- Dạng 4: Phương pháp giải bài tập Cấp số cộng
Tủ sách VIETJACK shopee lớp 10-11 (cả 3 bộ sách):
Đã có app VietJack trên điện thoại, giải bài tập SGK, SBT Soạn văn, Văn mẫu, Thi online, Bài giảng....miễn phí. Tải ngay ứng dụng trên Android và iOS.
Theo dõi chúng tôi miễn phí trên mạng xã hội facebook và youtube:Nếu thấy hay, hãy động viên và chia sẻ nhé! Các bình luận không phù hợp với nội quy bình luận trang web sẽ bị cấm bình luận vĩnh viễn.
- Giải Tiếng Anh 11 Global Success
- Giải sgk Tiếng Anh 11 Smart World
- Giải sgk Tiếng Anh 11 Friends Global
- Lớp 11 - Kết nối tri thức
- Soạn văn 11 (hay nhất) - KNTT
- Soạn văn 11 (ngắn nhất) - KNTT
- Giải sgk Toán 11 - KNTT
- Giải sgk Vật Lí 11 - KNTT
- Giải sgk Hóa học 11 - KNTT
- Giải sgk Sinh học 11 - KNTT
- Giải sgk Lịch Sử 11 - KNTT
- Giải sgk Địa Lí 11 - KNTT
- Giải sgk Giáo dục KTPL 11 - KNTT
- Giải sgk Tin học 11 - KNTT
- Giải sgk Công nghệ 11 - KNTT
- Giải sgk Hoạt động trải nghiệm 11 - KNTT
- Giải sgk Giáo dục quốc phòng 11 - KNTT
- Giải sgk Âm nhạc 11 - KNTT
- Lớp 11 - Chân trời sáng tạo
- Soạn văn 11 (hay nhất) - CTST
- Soạn văn 11 (ngắn nhất) - CTST
- Giải sgk Toán 11 - CTST
- Giải sgk Vật Lí 11 - CTST
- Giải sgk Hóa học 11 - CTST
- Giải sgk Sinh học 11 - CTST
- Giải sgk Lịch Sử 11 - CTST
- Giải sgk Địa Lí 11 - CTST
- Giải sgk Giáo dục KTPL 11 - CTST
- Giải sgk Hoạt động trải nghiệm 11 - CTST
- Giải sgk Âm nhạc 11 - CTST
- Lớp 11 - Cánh diều
- Soạn văn 11 Cánh diều (hay nhất)
- Soạn văn 11 Cánh diều (ngắn nhất)
- Giải sgk Toán 11 - Cánh diều
- Giải sgk Vật Lí 11 - Cánh diều
- Giải sgk Hóa học 11 - Cánh diều
- Giải sgk Sinh học 11 - Cánh diều
- Giải sgk Lịch Sử 11 - Cánh diều
- Giải sgk Địa Lí 11 - Cánh diều
- Giải sgk Giáo dục KTPL 11 - Cánh diều
- Giải sgk Tin học 11 - Cánh diều
- Giải sgk Công nghệ 11 - Cánh diều
- Giải sgk Hoạt động trải nghiệm 11 - Cánh diều
- Giải sgk Giáo dục quốc phòng 11 - Cánh diều
- Giải sgk Âm nhạc 11 - Cánh diều


Giải bài tập SGK & SBT
Tài liệu giáo viên
Sách
Khóa học
Thi online
Hỏi đáp

