Tìm ảnh của một điểm qua phép vị tự cực hay
Bài viết Tìm ảnh của một điểm qua phép vị tự với phương pháp giải chi tiết giúp học sinh ôn tập, biết cách làm bài tập Tìm ảnh của một điểm qua phép vị tự.
Tìm ảnh của một điểm qua phép vị tự cực hay
(199k) Xem Khóa học Toán 11 KNTTXem Khóa học Toán 11 CDXem Khóa học Toán 11 CTST
A. Phương pháp giải
B. Ví dụ minh họa
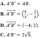
Ví dụ 1: Trong hệ trục tọa độ Oxy, tìm ảnh của các điểm sau qua phép vị tự tâm O, tỉ số k, biết:
Hướng dẫn giải:
Ví dụ 2: Trong hệ trục tọa độ Oxy, tìm tọa độ của điểm A sao cho B là ảnh của A qua phép vị tự tâm O, tỉ số k, biết:
Hướng dẫn giải:
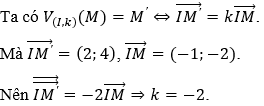
Ví dụ 3: Tìm tỉ số k, biết V(O,k)(A) = A':
a) A(-2; 4), A’(1; -2)
b) A(4; 5), A’(-8; -10)
Hướng dẫn giải:
C. Bài tập trắc nghiệm
Câu 1. Trong mặt phẳng Oxy, cho M(1;0), gọi M'là ảnh của Mqua phép vị tự tâm O(0;0) tỉ số k = -1. Khi đó tọa độ điểm M'là
A. M'(-1;0).
B. M'(1;0).
C. M'(0;1).
D. M'(0;-1).
Lời giải:
Chọn A
M'là ảnh của Mqua phép vị tự tâm O(0;0) tỉ số k = -1 nên M'đối xứng với M qua O(0;0) Do đó M'(-1;0).
Câu 2. Trong mặt phẳng tọa độ Oxy, ảnh của điểm M(1;-2) qua phép vị tự tâm 0 tỉ số k = -2 là
Lời giải:
Chọn B
Gọi M’(x’; y’) với M' = V(O,-2)(M)
Áp dụng biểu thức tọa độ đối với phép vị tự ta được:
Câu 3. Trong mặt phẳng tọa độ Oxy cho phép vị tự tâm I(2;3), tỷ số k = -2 biến điểm M(-7;2) thành điểm M'có tọa độ là:
A. (-10;5).
B. (-10;2).
C. (18;2).
D. (20;5).
Lời giải:
Chọn D
Gọi ảnh của M qua phép vị tự tâm I, tỷ số k = -2 là M'(x';y').
Câu 4. Trong mặt phẳng tọa độ Oxy, phép vị tự tâm I(2;-1) tỉ số k biến điểm M(1;-3) thành điểm M'(4;3). Khi đó giá trị của k là.
Lời giải:
Chọn C
Câu 5. Trong mặt phẳng tọa độ Oxy cho phép vị tự V tỉ số k = 2 biến điểm A(1;-2) thành điểm A'(-5;1). Hỏi phép vị tự V biến điểm B(0;1) thành điểm có tọa độ nào sau đây?
A. (0;2).
B. (12;-5).
C. (-7;7).
D. (11;6).
Lời giải:
Gọi B'(x;y) là ảnh của B qua phép vị tự V.
Chọn C
Câu 6. Trong mặt phẳng Oxy, phép vị tự tâm I tỉ số k = -2 biến điểm A(3;2) thành điểm B(9;8). Tìm tọa độ tâm vị tự I.
A. I(4;5).
B. I(-21;-20).
C. I(7;4).
D. I(5;4).
Lời giải:
Chọn D
Câu 7. Trong mặt phẳng tọa độ Oxy cho hai điểm M(4;6)và M'(-3;5). Phép vị tự tâm I, tỉ số k = 1/2 biến điểm M thành M'. Tìm tọa độ tâm vị tự I.
A. I(-4;10).
B. I(11;1).
C. I(1;11).
D. I(-10;4).
Lời giải:
Chọn D
Câu 8. Trong mặt phẳng tọa độ Oxy cho ba điểm A(1;2), B(-3;4) và I(1;1). Phép vị tự tâm I tỉ số biến điểm A thành A', biến điểm B thành B'. Mệnh đề nào sau đây là đúng?
Lời giải:
Chọn B
Câu 9. Trong mặt phẳng tọa độ Oxy cho ba điểm I(-2;-1), M(1;5) và M'(-1;1). Phép vị tự tâm I tỉ số k biến điểm M thành M'. Tìm k.
Lời giải:
Chọn A
Câu 10. Phép vị tự tâm O tỉ số k (k ≠ 0) biến mỗi điểm M thành điểm M'. Mệnh đề nào sau đây đúng?
Lời giải:
Ta có
Chọn A
Câu 11. Phép vị tự tâm O tỉ số -3 lần lượt biến hai điểm A,B thành hai điểm C, D. Mệnh đề nào sau đây đúng?
Lời giải:
Chọn B
D. Bài tập tự luyện
Bài 1. Cho điểm I(1; 2) cố định và số thực k = 2.
a) Tìm ảnh A’ của điểm A(3; 4) qua phép vị tự tâm I, tỉ số k.
b) Tìm ảnh của đường thẳng d: x – 2y + 1 = 0 qua phép vị tự tâm I, tỉ số k.
Bài 2. Tìm tọa độ A để điểm A’(-1;5) là ảnh của A qua phép vị tự tâm I(1;3), k = -2. Tính tọa độ điểm A?
Bài 3. Trong mặt phẳng tọa độ Oxy, cho điểm A(3; 2). Tìm ảnh của A qua phép vị tự tâm O tỉ số k = -1.
Bài 4. Trong mặt phẳng Oxy, cho điểm D (-3; 4). Tìm tọa độ điểm E là ảnh của D qua phép vị tự tâm O tỉ số k = -2.
Bài 5. Tìm ảnh A’ của điểm A(1; 4) qua phép vị tự tâm I(2; 5), k = 2.
(199k) Xem Khóa học Toán 11 KNTTXem Khóa học Toán 11 CDXem Khóa học Toán 11 CTST
Xem thêm các dạng bài tập Toán lớp 11 có trong đề thi THPT Quốc gia khác:
- Cách tìm ảnh của đường thẳng qua phép quay cực hay
- Cách tìm ảnh của đường tròn qua phép quay cực hay
- Tìm ảnh của một điểm qua phép vị tự cực hay
- Tìm ảnh của một đường thẳng qua phép vị tự cực hay
- Tìm ảnh của một đường tròn qua phép vị tự cực hay
Tủ sách VIETJACK shopee lớp 10-11 (cả 3 bộ sách):
Đã có app VietJack trên điện thoại, giải bài tập SGK, SBT Soạn văn, Văn mẫu, Thi online, Bài giảng....miễn phí. Tải ngay ứng dụng trên Android và iOS.
Theo dõi chúng tôi miễn phí trên mạng xã hội facebook và youtube:Nếu thấy hay, hãy động viên và chia sẻ nhé! Các bình luận không phù hợp với nội quy bình luận trang web sẽ bị cấm bình luận vĩnh viễn.
- Giải Tiếng Anh 11 Global Success
- Giải sgk Tiếng Anh 11 Smart World
- Giải sgk Tiếng Anh 11 Friends Global
- Lớp 11 - Kết nối tri thức
- Soạn văn 11 (hay nhất) - KNTT
- Soạn văn 11 (ngắn nhất) - KNTT
- Giải sgk Toán 11 - KNTT
- Giải sgk Vật Lí 11 - KNTT
- Giải sgk Hóa học 11 - KNTT
- Giải sgk Sinh học 11 - KNTT
- Giải sgk Lịch Sử 11 - KNTT
- Giải sgk Địa Lí 11 - KNTT
- Giải sgk Giáo dục KTPL 11 - KNTT
- Giải sgk Tin học 11 - KNTT
- Giải sgk Công nghệ 11 - KNTT
- Giải sgk Hoạt động trải nghiệm 11 - KNTT
- Giải sgk Giáo dục quốc phòng 11 - KNTT
- Giải sgk Âm nhạc 11 - KNTT
- Lớp 11 - Chân trời sáng tạo
- Soạn văn 11 (hay nhất) - CTST
- Soạn văn 11 (ngắn nhất) - CTST
- Giải sgk Toán 11 - CTST
- Giải sgk Vật Lí 11 - CTST
- Giải sgk Hóa học 11 - CTST
- Giải sgk Sinh học 11 - CTST
- Giải sgk Lịch Sử 11 - CTST
- Giải sgk Địa Lí 11 - CTST
- Giải sgk Giáo dục KTPL 11 - CTST
- Giải sgk Hoạt động trải nghiệm 11 - CTST
- Giải sgk Âm nhạc 11 - CTST
- Lớp 11 - Cánh diều
- Soạn văn 11 Cánh diều (hay nhất)
- Soạn văn 11 Cánh diều (ngắn nhất)
- Giải sgk Toán 11 - Cánh diều
- Giải sgk Vật Lí 11 - Cánh diều
- Giải sgk Hóa học 11 - Cánh diều
- Giải sgk Sinh học 11 - Cánh diều
- Giải sgk Lịch Sử 11 - Cánh diều
- Giải sgk Địa Lí 11 - Cánh diều
- Giải sgk Giáo dục KTPL 11 - Cánh diều
- Giải sgk Tin học 11 - Cánh diều
- Giải sgk Công nghệ 11 - Cánh diều
- Giải sgk Hoạt động trải nghiệm 11 - Cánh diều
- Giải sgk Giáo dục quốc phòng 11 - Cánh diều
- Giải sgk Âm nhạc 11 - Cánh diều


Giải bài tập SGK & SBT
Tài liệu giáo viên
Sách
Khóa học
Thi online
Hỏi đáp

