Dạng bài Tính chất của phép tịnh tiến (hay, chi tiết)
Bài viết Tính chất của phép tịnh tiến với phương pháp giải chi tiết giúp học sinh ôn tập, biết cách làm bài tập Tính chất của phép tịnh tiến.
Dạng bài Tính chất của phép tịnh tiến (hay, chi tiết)
(199k) Xem Khóa học Toán 11 KNTTXem Khóa học Toán 11 CDXem Khóa học Toán 11 CTST
A. Phương pháp giải
[1]. Định nghĩa
Trong mặt phẳng cho vectơ .
+) Phép biến hình biến mỗi điểm M thành điểm M'sao cho được gọi là phép tịnh tiến theo vectơ
.
+) Phép tịnh tiến theo vectơ được kí hiệu là
được gọi là vectơ tịnh tiến.
+) Như vậy:
(M’ được gọi là ảnh của điểm M)
Lưu ý: Phép tịnh tiến theo vectơ – không chính là phép đồng nhất.
[2]. Tính chất
* Tính chất 1:
Nhận xét: M'N' = MN.
* Tính chất 2: Phép tịnh tiến biến đường thẳng thành đường thẳng song song hoặc trùng với nó, biến đoạn thẳng thành đoạn thẳng bằng nó, biến tam giác thành tam giác bằng nó, biến đường tròn thành đường tròn cùng bán kính.
B. Ví dụ minh họa
Ví dụ 1: Cho tam giác ABC, dựng ảnh của tam giác ABC qua phép tịnh tiến theo vec tơ
Hướng dẫn giải:
Ta có
Để tìm ảnh của điểm A ta dựng hình bình hành ABCD.
Do , gọi E là điểm đối xứng với B qua C, khi đó
Suy ra . Vậy ảnh của tam giác ABC là tam giác DCE.
Ví dụ 2: Cho tam giác ABC có G là trọng tâm. Xác định ảnh của tam giác ABC qua phép tịnh tiến theo vectơ . Xác định điểm D sao cho phép tịnh tiến theo vectơ
biến D thành A.
Hướng dẫn giải:
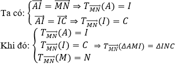
Ví dụ 3: Cho hình vuông ABCD tâm I. Gọi M,N lần lượt là trung điểm AD, DC. Tìm một Phép tịnh tiến biến tam giác AMI thành tam giá INC.
Hướng dẫn giải:
Vậy phép tịnh tiến theo tịnh tiến biến tam giác AMI thành tam giác INC
Ví dụ 4: Cho lục giác đều ABCDEF tâm O. Tìm ảnh của ∆AOF qua phép tịnh tiến theo vectơ .
Hướng dẫn giải:
C. Bài tập trắc nghiệm
Câu 1. Cho phép tịnh tiến theo , phép tịnh tiến
biến hai điểm M và N thành hai điểm M'và N'. Mệnh đề nào sau đây là đúng?
Lời giải:
Chọn C
Câu 2. Cho hình bình hành ABCD, M là một điểm thay đổi trên cạnh AB. Phép tịnh tiến theo vectơ biến điểm M thành M'. Mệnh nào sau đây đúng?
A. Điểm M'trùng với điểm M.
B. Điểm M'nằm trên cạnh BC.
C. Điểm M'là trung điểm cạnh CD.
D. Điểm M'nằm trên cạnhDC.
Lời giải:
Chọn D
Câu 3. Cho hình bình hành ABCD tâm I. Kết luận nào sau đây là sai?
Lời giải:
Chọn D
Cách 1. Giả sử I’ là ảnh của I qua phép tịnh tiến . Khi đó:
Cách 2. Giả sử là hai véc tơ ngược hướng nên không bằng nhau).
D sai, chọn D.
Câu 4. Cho phép tịnh tiến biến điểm M thành M1 và phép tịnh tiến
biến M1 thành M2. Mệnh đề nào sau đây đúng?
A. Phép tịnh tiến biến M1 thành M2.
B. Phép tịnh tiến biến M thành M2.
C. Không khẳng định được có hay không một phép dời hình biến M thành M2.
D. Phép tịnh tiến biến M thành M2.
Lời giải:
Ta có
Đẳng thức chứng tỏ phép tịnh tiến
biến M thành M2.
Chọn D
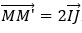
Câu 5. Cho tam giác ABC và I,J lần lượt là trung điểm của AB, AC. Phép biến hình T biến điểm M thành điểm M'sao cho . Mệnh đề nào sau đây đúng?
Lời giải:
Chọn D
Câu 6. Mệnh đề nào sau đây là sai?
A. Phép tịnh tiến bảo toàn khoảng cách giữa hai điểm bất kì.
B. Phép tịnh tiến biến ba điểm thẳng hàng thành ba điểm thẳng hàng.
C. Phép tịnh tiến biến tam giác thành tam giác bằng tam giác đã cho.
D. Phép tịnh tiến biến đường thẳng thành đường thẳng song song với đường thẳng đã cho.
Lời giải:
D sai, vì phép tịnh tiến biến đường thẳng thành đường thẳng song song hoặc trùng với đường thẳng đã cho.
Chọn D
Câu 7. Có bao nhiêu phép tịnh tiến biến một đường thẳng cho trước thành chính nó?
A. 0.
B. 1.
C. 2.
D. Vô số.
Lời giải:
+) Khi tịnh tiến đường thẳng theo vectơ có phương cùng phương với véc tơ chỉ phương của đường thẳng thì đường thẳng biến thành chính nó.
+) Mà một đường thẳng có vô số véc tơ chỉ phương.
+) Vậy có vô số phép tịnh tiến biến một đường thẳng thành chính nó.
Chọn D
Câu 8. Cho hai đường thẳng d và d' song song với nhau. Có bao nhiêu phép tịnh tiến biến d thành d'?
A. 1.
B. 2.
C. 3.
D. Vô số.
Lời giải:
+) Trên d,d' lần lượt lấy A,A' bất kì.
+) Khi đó, d' là ảnh của d qua phép tịnh tiến vectơ
+) Vì trên một đường thẳng có vô số điểm thuộc nó nên có vô số phép tịnh tiến biến d thành d' thỏa mãn d song song d'.
Chọn D
Câu 9. Cho bốn đường thẳng a, b, a', b' trong đó a//a', b//b' và a cắt b. Có bao nhiêu phép tịnh tiến biến a thành a' và b thành b'?
A. 0.
B. 1.
C. 2.
D. Vô số.
Lời giải:
+) Gọi
+) Khi đó, chỉ có duy nhất vectơ được xác định như trên là vectơ tịnh tiến thỏa mãn yêu cầu bài toán.
Chọn B
Câu 10. Cho đường thẳng a cắt hai đường thằng song song b và b'. Có bao nhiêu phép tịnh tiến biến đường thẳng a thành chính nó và biến đường thẳng b thành đường thẳng b'?
A. 0.
B. 1.
C. 2.
D. Vô số.
Lời giải:
+) Gọi
+) Khi đó, chỉ có duy nhất vectơ được xác định như trên là vectơ tịnh tiến thỏa mãn yêu cầu bài toán.
Chọn B
Câu 11. Cho hình bình hành ABCD. Có bao nhiêu phép tịnh tiến biến đường thẳng AB thành đường thẳng CD và biến đường thẳng AD thành đường thẳng BC?
A. 0.
B. 1.
C. 2.
D. Vô số.
Lời giải:
Có một phép tịnh tiến duy nhất theo vectơ tịnh tiến
Chọn B
Câu 12. Phép tịnh tiến không bảo toàn yếu tố nào sau đây?
A. Khoảng cách giữa hai điểm.
B. Thứ tự ba điểm thẳng hàng.
C. Tọa độ của điểm.
D. Diện tích.
Lời giải:
Chọn C
Khi tọa độ của véc tơ tịnh tiến
Câu 13. Cho tam giác ABC có trọng tâm G, . Mệnh đề nào là đúng?
A. M là trung điểm BC.
B. M là đỉnh thứ tư của hình bình hành BGCM
C. M trùng với A.
D. M là đỉnh thứ tư của hình bình hành BCGM.
Lời giải:
Chọn B
Ta có là hình bình hành.
Câu 14. Cho hình vuông ABCD tâm I. Gọi M, N lần lượt là trung điểm của AD, DC. Phép tịnh tiến theo vectơ nào sau đây biến ∆AMI thành ∆MDN?
Lời giải:
Chọn A
Từ hình vẽ ta có
Câu 15. Có bao nhiêu phép tịnh tiến biến một hình vuông thành chính nó?
A. 0.
B. 1.
C. 2.
D. Vô số.
Lời giải:
Có đúng một phép tịnh tiến. Tịnh tiến theo vectơ–không.
Chọn B
(199k) Xem Khóa học Toán 11 KNTTXem Khóa học Toán 11 CDXem Khóa học Toán 11 CTST
Xem thêm các dạng bài tập Toán lớp 11 có trong đề thi THPT Quốc gia khác:
- Dạng bài Tính chất của phép tịnh tiến (hay, chi tiết)
- Cách tìm ảnh của 1 điểm qua phép tịnh tiến cực hay
- Cách tìm ảnh của 1 đường thẳng qua phép tịnh tiến cực hay
- Cách tìm ảnh của 1 đường tròn qua phép tịnh tiến cực hay
- Tính chất đối xứng trục cực hay
- Tìm ảnh của một điểm qua phép đối xứng trục cực hay
Tủ sách VIETJACK shopee lớp 10-11 (cả 3 bộ sách):
Đã có app VietJack trên điện thoại, giải bài tập SGK, SBT Soạn văn, Văn mẫu, Thi online, Bài giảng....miễn phí. Tải ngay ứng dụng trên Android và iOS.
Theo dõi chúng tôi miễn phí trên mạng xã hội facebook và youtube:Nếu thấy hay, hãy động viên và chia sẻ nhé! Các bình luận không phù hợp với nội quy bình luận trang web sẽ bị cấm bình luận vĩnh viễn.
- Giải Tiếng Anh 11 Global Success
- Giải sgk Tiếng Anh 11 Smart World
- Giải sgk Tiếng Anh 11 Friends Global
- Lớp 11 - Kết nối tri thức
- Soạn văn 11 (hay nhất) - KNTT
- Soạn văn 11 (ngắn nhất) - KNTT
- Giải sgk Toán 11 - KNTT
- Giải sgk Vật Lí 11 - KNTT
- Giải sgk Hóa học 11 - KNTT
- Giải sgk Sinh học 11 - KNTT
- Giải sgk Lịch Sử 11 - KNTT
- Giải sgk Địa Lí 11 - KNTT
- Giải sgk Giáo dục KTPL 11 - KNTT
- Giải sgk Tin học 11 - KNTT
- Giải sgk Công nghệ 11 - KNTT
- Giải sgk Hoạt động trải nghiệm 11 - KNTT
- Giải sgk Giáo dục quốc phòng 11 - KNTT
- Giải sgk Âm nhạc 11 - KNTT
- Lớp 11 - Chân trời sáng tạo
- Soạn văn 11 (hay nhất) - CTST
- Soạn văn 11 (ngắn nhất) - CTST
- Giải sgk Toán 11 - CTST
- Giải sgk Vật Lí 11 - CTST
- Giải sgk Hóa học 11 - CTST
- Giải sgk Sinh học 11 - CTST
- Giải sgk Lịch Sử 11 - CTST
- Giải sgk Địa Lí 11 - CTST
- Giải sgk Giáo dục KTPL 11 - CTST
- Giải sgk Hoạt động trải nghiệm 11 - CTST
- Giải sgk Âm nhạc 11 - CTST
- Lớp 11 - Cánh diều
- Soạn văn 11 Cánh diều (hay nhất)
- Soạn văn 11 Cánh diều (ngắn nhất)
- Giải sgk Toán 11 - Cánh diều
- Giải sgk Vật Lí 11 - Cánh diều
- Giải sgk Hóa học 11 - Cánh diều
- Giải sgk Sinh học 11 - Cánh diều
- Giải sgk Lịch Sử 11 - Cánh diều
- Giải sgk Địa Lí 11 - Cánh diều
- Giải sgk Giáo dục KTPL 11 - Cánh diều
- Giải sgk Tin học 11 - Cánh diều
- Giải sgk Công nghệ 11 - Cánh diều
- Giải sgk Hoạt động trải nghiệm 11 - Cánh diều
- Giải sgk Giáo dục quốc phòng 11 - Cánh diều
- Giải sgk Âm nhạc 11 - Cánh diều


Giải bài tập SGK & SBT
Tài liệu giáo viên
Sách
Khóa học
Thi online
Hỏi đáp

