Cách tính góc giữa hai mặt phẳng trong không gian cực hay
Bài viết Cách tính góc giữa hai mặt phẳng trong không gian với phương pháp giải chi tiết giúp học sinh ôn tập, biết cách làm bài tập Cách tính góc giữa hai mặt phẳng trong không gian.
Cách tính góc giữa hai mặt phẳng trong không gian cực hay
(199k) Xem Khóa học Toán 11 KNTTXem Khóa học Toán 11 CDXem Khóa học Toán 11 CTST
A. Phương pháp giải
Để tính góc giữa hai mặt phẳng (α) và (β) ta có thể thực hiện theo một trong các cách sau:
Cách 1. Tìm hai đường thẳng a; b lần lượt vuông góc với hai mặt phẳng (α) và (β). Khi đó góc giữa hai đường thẳng a và b chính là góc giữa hai mặt phẳng (α) và (β).
Cách 2. Sử dụng công thức hình chiếu: Gọi S là diện tích của hình (H) trong mp(α) và S’ là diện tích hình chiếu (H’) của (H) trên mp(β) thì S’ = S.cosφ
⇒ cosα ⇒ φ
Cách 3. Xác định cụ thể góc giữa hai mặt phẳng rồi sử dụng hệ thức lượng trong tam giác để tính.
+ Bước 1: Tìm giao tuyến Δ của hai mp
+ Bước 2: Chọn mặt phẳng (γ) vuông góc Δ
+ Bước 3: Tìm các giao tuyến (γ) với (α); (β)
⇒ ((α), (β)) = (a, b)
B. Ví dụ minh họa
Ví dụ 1: Cho tứ diện ABCD có AC = AD và BC = BD. Gọi I là trung điểm của CD. Khẳng định nào sau đây sai?
A. Góc giữa hai mặt phẳng (ABC) và (ABD) là ∠CBD
B. Góc giữa hai mặt phẳng (ACD) và (BCD) là ∠AIB
C. (BCD) ⊥ (AIB)
D. (ACD) ⊥ (AIB)
Hướng dẫn giải
+ Tam giác BCD cân tại B có I trung điểm đáy CD
⇒ CD ⊥ BI (1)
+ Tam giác CAD cân tại A cóI trung điểm đáy CD
⇒ CD ⊥ AI (2)
Từ (1) và (2) ⇒ CD ⊥ (ABI).
⇒ (BCD) ⊥ (ABI) Và (ACD) ⊥ (ABI);
Góc giữa hai mặt phẳng (ACD) và (BCD) là ∠AIB .
Vậy A: sai
Chọn A
Ví dụ 2: Cho tứ diện đều ABCD. Góc giữa (ABC) và (ABD) bằng α. Chọn khẳng định đúng trong các khẳng định sau?
Hướng dẫn giải
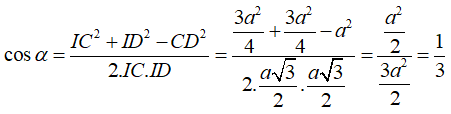
Đặt AB = a. Gọi I là trung điểm của AB.
Tam giác ABC đều cạnh a nên CI ⊥ AB và CI = a√3/2
Tam giác ABD đều nên DI ⊥ AB và DI = a√3/2
Do đó, ((ABC), (ABD)) = (CI, DI) = ∠CID = α
Tam giác CID có
Chọn A
Ví dụ 3: Cho hình chóp tứ giác đều S.ABCD có tất cả các cạnh đều bằng a. Tính của góc giữa một mặt bên và một mặt đáy.
Hướng dẫn giải
Chọn C.
Gọi H là giao điểm của AC và BD.
+ Do S.ABCD là hình chóp tứ giác đều nên SH ⊥( ABCD)
Ta có: (SCD) ∩ (ABCD) = CD. Gọi M là trung điểm CD.
+ Tam giác SCD là cân tại S ; tam giác CHD cân tại H (Tính chất đường chéo hình vuông)
SM ⊥ CD và HM ⊥ CD
⇒ ((SCD), (ABCD)) = (SM, HM) = ∠SMH = α
Từ giả thiết suy ra tam giác SCD là tam giác đều cạnh a có SM là đường trung tuyến ⇒ SM = a√3/2
Ví dụ 4: Cho hình chóp S.ABC có hai mặt bên (SAB) và(SAC) vuông góc với mặt phẳng (ABC) , tam giác ABC vuông cân ở A và có đường cao AH (H ∈ BC) . Gọi O là hình chiếu vuông góc của A lên (SBC) . Khẳng định nào sau đây sai ?
A. SA ⊥ (ABC)
B. O ∈ SH
C. (SAH) ⊥ (SBC)
D. ((SBC), (ABC)) = ∠SBA
Hướng dẫn giải
Ví dụ 5: Cho hình chóp S.ABCD có đáy là hình thoi tâm O cạnh a và có góc ∠BAD = 60°. Đường thẳng SO vuông góc với mặt phẳng đáy (ABCD) và SO = 3a/4. Gọi E là trung điểm BC và F là trung điểm BE. Góc giữa hai mặt phẳng (SOF)và (SBC) là
A. 90° B. 60° C. 30° D. 45°
Hướng dẫn giải
Tam giác BCD có BC = BD và ∠BCD = 60° nên tam giác BCD đều
Lại có E là trung điểm BC ⇒ DE ⊥ BC
Mặt khác, tam giác BDE có OF là đường trung bình
⇒ OF // DE ⇒ BC ⊥ OF (1).
+ Do SO ⊥ (ABCD) ⇒ BC ⊥ SO (2).
+ Từ (1) và (2), suy ra BC ⊥ (SOF) ⇒ (SBC) ⊥ (sOF)
Vậy, góc giữa ( SOF) và( SBC) bằng 90°
Chọn A
Ví dụ 6: Cho hình chóp S.ABCD có đáy ABCD là hình thoi cạnh a và có SA = SB = SC = a. Góc giữa hai mặt phẳng (SBD) và (ABCD) bằng
A. 30° B. 90° C. 60° D. 45°
Hướng dẫn giải
Gọi H là chân đường vuông góc của S xuống mặt phẳng đáy (ABCD) (SH ⊥(ABCD))
+ Do SA = SB = SC = a nên hình chiếu vuông góc H của S lên mp(ABCD) là tâm đường tròn ngoại tiếp tam giác ABC.
+ Mà tam giác ABC cân tại B ( Vì BA = BC = a) ⇒ tâm H phải nằm trên BD ⇒ SH ⊂ (SBD)
Ví dụ 7: Cho hình chóp tứ giác đều S.ABCD, có đáy ABCD là hình vuông tâm O. Các cạnh bên và các cạnh đáy đều bằng a. Gọi M là trung điểm SC. Góc giữa hai mặt phẳng (MBD) và (ABCD) bằng:
A. 90° B. 60° C. 45° D. 30°
Hướng dẫn giải
Gọi M’ là trung điểm OC.
Do S.ABCD là hình chóp tứ giác đều nên SO ⊥ (ABCD)
⇒ SO ⊥ OC.
Xét tam giác SOC vuông tại O đường trung tuyến OM có: OM = SC/2 = a/2
Chọn đáp án C
Ví dụ 8: Cho hình chóp S.ABCD có đáy ABCD là hình chữ nhật tâm O và khoảng cách từ A đến BD bằng 2a/√5. Biết SA ⊥ (ABCD) và SA = 2a. Gọi α là góc giữa hai mặt phẳng (ABCD) và (SBD). Khẳng định nào sau đây sai?
A. (SAB) ⊥ (SAD)
B. (SAC) ⊥ (ABCD)
C. tanα = √5
D. α = ∠SOA
Hướng dẫn giải
Gọi AK là khoảng cách từ A đến BD
Khi đó:
C. Bài tập vận dụng
Câu 1: Cho tam giác ABC vuông tại A. Cạnh AB = a nằm trong mặt phẳng(P), cạnh AC = a√2 , AC tạo với (P) một góc 60°. Chọn khẳng định đúng trong các khẳng định sau?
A. (ABC) tạo với (P) góc 45°
B. BC tạo với (P) góc 30°
C. BC tạo với (P) góc 45°
D. BC tạo với (P) góc 60°
Lời giải:
Gọi H là hình chiếu vuông góc của C lên mặt phẳng (P)
Câu 2: Cho tứ diện ABCD có AC = AD và BC = BD. Gọi I là trung điểm của CD. Khẳng định nào sau đây sai ?
A. Góc giữa hai mặt phẳng (ACD) và (BCD) là góc ∠AIB
B. (BCD) ⊥ (AIB)
C. Góc giữa hai mặt phẳng (ABC) và (ABD) là góc ∠CBD
D. (ACD) ⊥ (AIB)
Lời giải:
Chọn C
Xét phương án C:
Ta có:
Nên đáp án C sai
Câu 3: Cho hình chóp S. ABC có SA ⊥ (ABC) và AB ⊥ BC , gọi I là trung điểm BC. Góc giữa hai mặt phẳng (SBC) và (ABC) là góc nào sau đây?
A. Góc SBA. B. Góc SCA. C. Góc SCB. D. Góc SIA.
Lời giải:
Chọn A
Câu 4: Cho hình chóp S.ABCD có đáy ABCD là hình vuông và SA ⊥ (ABCD), gọi O là tâm hình vuông ABCD. Khẳng định nào sau đây sai?
A. Góc giữa hai mặt phẳng (SBC) và (ABCD) là góc ∠ABS
B. Góc giữa hai mặt phẳng (SBD) và (ABCD) là góc ∠SOA
C. Góc giữa hai mặt phẳng (SAD) và (ABCD) là góc ∠SDA
D. (SAC) ⊥ (SBD)
Lời giải:
Chọn C
Câu 5: Cho hình chóp S.ABCD có đáy ABCD là hình vuông tâm O. Biết SO ⊥ (ABCD), SO = a√3 và đường tròn ngoại tiếp ABCD có bán kính bằng a. Gọi α là góc hợp bởi mặt bên (SCD) với đáy. Khi đó tanα = ?
Lời giải:
Chọn D
Gọi M là trung điểm của CD
Do bán kính đường tròn ngoại tiếp ABCD có bán kính a nên R = OA = a ⇒ AC = 2a ⇒ AB = AD = a√2
Câu 6: Cho hình chóp tam giác đều S.ABC với SA = 2AB. Góc giữa (SAB) và (ABC) bằng α. Chọn khẳng định đúng trong các khẳng định sau?
Lời giải:
Gọi O là tâm của tam giác đều ABC
Gọi CO ∩ AB = H suy ra H là trung điểm AB (vì ΔABC đều)
Câu 7: Trong không gian cho tam giác đều SAB và hình vuông ABCD cạnh a nằm trên hai mặt phẳng vuông góc. Gọi H; K lần lượt là trung điểm của AB, CD. Ta có tan của góc tạo bởi hai mặt phẳng (SAB) và (SCD) bằng :
Lời giải:
Ta có:
Vì H là trung điểm của AB
⇒ SH ⊥ AB ⇒ SH ⊥ d (vì d // AB)
⇒ d ⊥ SK (theo định lý ba đường vuông góc)
Do đó: ∠KSH = α là góc giữa (SAB) và (SCD)
Mà SH là đường cao trong tam giác SAB đều cạnh a ⇒ SH = a√3/2
Xét tam giác SHK vuông tại H có:
Vậy chọn đáp án B
Câu 8: Cho hình lập phương ABCD.A1B1C1D1 . Gọi α là góc giữa hai mặt phẳng (A1D1CB) và (ABCD). Chọn khẳng định đúng trong các khẳng định sau?
A. α = 45° B. α = 30° C. α = 60° D. α = 90°
Lời giải:
Chọn đáp án A
Câu 9: Cho hình chóp S.ABCD có đáy ABCD là hình vuông có tâm O và SA ⊥ (ABCD). Khẳng định nào sau đây sai ?
A. Góc giữa hai mặt phẳng (SBC) và (ABCD) là góc ∠ABS
B. (SAC) ⊥ (SBD)
C. Góc giữa hai mặt phẳng (SBD) và (ABCD) là góc ∠SOA
D. Góc giữa hai mặt phẳng (SAD) và (ABCD) là góc ∠SDA
Lời giải:
Chọn D
Câu 10: Cho tứ diện đều ABCD . Tính của góc giữa hai mặt (ABC) và (ACD) .
Lời giải:
Gọi H là trung điểm của AC khi đó BH ⊥ AC, DH ⊥ AC
Lại có: (ABC) ∩ (ACD) = AC
⇒ Góc giữa hai mặt (ABC) và (ACD)của tứ diện bằng ∠BHD
Câu 11: Cho hình chóp S.ABCD có đáy ABCD là hình thoi cạnh a và góc ∠ABC = 60°. Các cạnh SA ; SB ; SC đều bằng a(√3/2) . Gọi φ là góc của hai mặt phẳng (SAC) và (ABCD) . Giá trị tanφ bằng bao nhiêu?
A. 2√5 B. 3√5 C. 5√3 D. Đáp án khác
Lời giải:
Do AB = BC và ∠ABC = 60° nên tam giác ABC đều
Gọi H là hình chiếu của S lên (ABCD)
Do SA = SB = SC nên H là tâm đường tròn ngoại tiếp tam giác ABC
Chọn D
Câu 12: Cho hình chóp S.ABCD có đáy ABCD là hình thang vuông tại A và D. AB = 2a; AD = DC = a. Cạnh bên SA vuông góc với đáy và SA = a√2. Chọn khẳng định sai trong các khẳng định sau?
A. (SBC) ⊥ (SAC)
B. Giao tuyến của (SAB) và (SCD) song song với AB
C. (SDC) tạo với (BCD) một góc 60°
D. (SBC) tạo với đáy một góc 45°
Lời giải:
Vậy chọn C
Câu 13: Cho hình hộp chữ nhật ABCD.A'B'C'D' có AB = AA’ = a; AD = 2a. Gọi α là góc giữa đường chéo A’C và đáy ABCD. Tính α .
A. α ≈ 20°45' B. α ≈ 24°5' C. α ≈ 30°18' D. α ≈ 25°48'
Lời giải:
Chọn B.
Từ giả thiết ta suy ra: AA' ⊥ (ABCD) nên AC là hình chiếu vuông góc của A’C lên mặt phẳng (ABCD)
⇒ (A'C, (ABCD)) = (A'C, AC) = ∠A'CA = α
Áp dụng định lý Pytago trong tam giác ABC vuông tại B ta có:
AC2 = AB2 + BC2 = a2 + 4a2 = 5a2 ⇒ AC = a√5 .
Áp dụng hệ thức lượng trong tam giác AA’C vuông tại A ta có:
Câu 14: Cho hình lập phương ABCD.A'B'C'D'. Xét mặt phẳng (A’BD). Trong các mệnh đề sau mệnh đề nào đúng?
A. Góc giữa mặt phẳng ( A’BD) và các mặt phẳng chứa các cạnh của hình lập phương bằng α mà tanα = 1/√2 .
B. Góc giữa mặt phẳng (A’BD) và các mặt phẳng chứa các cạnh của hình lập phương bằng α mà tanα = 1/√3
C. Góc giữa mặt phẳng (A’BD) và các mặt phẳng chứa các cạnh của hình lập phương phụ thuộc vào kích thước của hình lập phương.
D. Góc giữa mặt phẳng ( A’BD) và các mặt phẳng chứa các cạnh của hình lập phương bằng nhau.
Lời giải:
ABCD.A'B'C'D' là hình lặp phương nên hình chiếu của tam giác A’BD lên các mặt chứa các cạnh của hình lặp phương là các tam giác bằng nhau.
Gọi S1 là diện tích các tam giác này
Lại có S1 = SAD'B.cosα
⇒ Góc giữa mặt phẳng (A’BD) và các mặt phẳng chứa các cạnh của hình lập phương bằng nhau.
Vậy chọn đáp án D
Câu 15: Cho hình chóp tam giác đều S.ABC có cạnh đáy bằng a và đường cao SH bằng cạnh đáy. Tính số đo góc hợp bởi cạnh bên và mặt đáy.
A. 30° B. 45° C. 60° D. 75°
Lời giải:
Chọn C
+ Gọi M, N lần lượt là trung điểm của AC, BC
Vì tam giác ABC là tam giác đều cạnh a nên tính được : AN = a(√3)/2
Từ giả thiết suy ra H là trọng tậm tam giác ABC
+ Áp dụng hệ thức lượng trong tam giác SHA vuông tại H ta có:
Câu 16: Cho hình chóp tứ giác đều có cạnh đáy bằng a√2 và chiều cao bằng a√2/2 . Tính số đo của góc giữa mặt bên và mặt đáy.
A. 30° B. 45° C. 60° D. 75°
Lời giải:
Chọn B
Giả sử hình chóp đã cho là S.ABCD có đường cao SH.
Ta có: (ABCD) ∩ (SCD) = CD
Gọi M là trung điểm của CD
+ Ta có: SH ⊥ CD và HM ⊥ CDnên CD ⊥(SHM)
SM ⊥ CD .
((ABCD), (SCD)) = (HM, SM) = ∠SMH
Mặt khác: HM là đường trung bình của tam giác ACD nên HM = (1/2)AD = a√2/2
Áp dụng hệ thức lượng trong tam giác SHM vuông tại H , ta có :
Chọn B
Câu 17: Cho hình chóp S.ABCD có đáy ABCD là hình vuông cạnh a. Cạnh bên SA vuông góc với đáy và SA = a√3 . Gọi φ là góc giữa hai mặt phẳng (SBC) và (SCD) . Chọn khẳng định đúng trong các khẳng định sau?
Lời giải:
Ta có SB = SD = 2a
⇒ ΔSCD = ΔSCB (c.c.c)
⇒ Chân đường cao hạ từ B và D đến SC của hai tam giác đó trùng nhau và độ dài đường cao bằng nhau; BH = DH
Lại có BH = DH và O là trung điểm BD nên HO ⊥ BD hay tam giác HOB vuông tại O
Chọn đáp án C
Câu 18: Cho hình chóp S.ABCD có đáyABCD là hình vuông cạnh a. Cạnh bên SA vuông góc với đáy và SA = a. Góc giữa hai mặt phẳng (SBC) và (SCD) bằng bao nhiêu?
A. 30° B. 45° C. 90° D. 60°
Lời giải:
Ta có: SC ⊥ BD (vì BD ⊥ AC, BD ⊥ SA)
Trong mặt phẳng (SAC) , kẻ OI ⊥ SC thì ta có SC ⊥ (BID)
Khi đó ((SCB), (SCD)) = ∠BID
Trong tam giác SAC, kẻ đường cao AH thì AH = a(√2/√3)
Mà O là trung điểm AC và OI // AH nên OI = a/√6
Tam giác IOD vuông tại O có ∠OID = √3 ⇒ ∠OID = 60°
Vậy hai mặt phẳng (SBC) và (SCD) hợp với nhau một góc 60°
Chọn D.
Câu 19: Cho hình chóp S.ABCD có đáy ABCD là hình vuông cạnh a. SA ⊥ (ABCD); SA = x. Xác định x để hai mặt phẳng (SBC) và (SCD) tạo với nhau góc 60°.
A. x = 3a/2 B. x = a/2 C. x = a D. x = 2a
Lời giải:
* Trong (SAB) dựng AI ⊥ SB ta chứng minh được AI ⊥ (SBC) (1)
Trong (SAD) dựng AJ ⊥ SD ta chứng minh được AJ ⊥ (SCD) (2)
Từ (1) và (2) ⇒ góc ((SBC), (SCD)) = (AI, AJ) = ∠IAJ
* Ta chứng minh được AI = AJ. Do đó, nếu góc ∠IAJ = 60° thì ΔAIJ đều ⇒ AI = AJ = IJ
Tam giác SAB vuông tại A có AI là đường cao
Chọn C
Câu 20: Cho hình chóp S.ABC có đáy ABC là tam giác vuông tại B, SA ⊥ (ABC). Gọi E; F lần lượt là trung điểm của các cạnh AB và AC . Góc giữa hai mặt phẳng (SEF) và (SBC) là :
A. ∠CSF B. ∠BSF C. ∠BSE D. ∠CSE
Lời giải:
Ta có: E và F lần lượt là trung điểm của AB và AC nên EF là đường trung bình của tam giác: EF // BC
Góc giữa hai mặt phẳng (SEF) và (SBC) là : ∠BSE
Chọn C
Câu 21: . Cho tam giác đều ABC có cạnh bằng a và nằm trong mặt phẳng (P). Trên các đường thẳng vuông góc với (P) tại B và C lần lượt lấy D; E nằm trên cùng một phía đối với (P) sao cho BD = a(√3/2), CE = a√3 . Góc giữa (P) và (ADE) bằng bao nhiêu?
A. 30° B. 60° C. 90° D. 45°
Lời giải:
Suy ra tam giác ADE cân tại D.
Gọi H là trung điểm AE, ta có
Chọn B
D. Bài tập tự luyện
Bài 1. Cho tam giác đều ABC có cạnh bằng a và nằm trong mặt phẳng (P). Trên các đường thẳng vuông góc với (P) tại B và C lần lượt lấy D; E nằm trên cùng một phía đối với (P) sao cho BD = , CE = . Góc giữa (P) và (ADE) bằng bao nhiêu?
Bài 2. Cho hình chóp S.ABCD có đáy ABCD là hình vuông cạnh a. SA ⊥ (ABCD); SA = x. Xác định x để hai mặt phẳng (SBC) và (SCD) tạo với nhau góc 60°.
Bài 3. Cho hình chóp S.ABC có đáy ABC là tam giác vuông tại B, SA ⊥ (ABC). Gọi E; F lần lượt là trung điểm của các cạnh AB và AC. Tính góc giữa hai mặt phẳng (SEF) và (SBC).
Bài 4. Cho hình chóp tam giác đều S.ABC có cạnh đáy bằng a và đường cao SH bằng cạnh đáy. Tính số đo góc hợp bởi cạnh bên và mặt đáy.
Bài 5. Cho hình lập phương ABCD.A'B'C'D'. Xét mặt phẳng (A’BD). Trong các mệnh đề sau mệnh đề nào đúng?
A. Góc giữa mặt phẳng ( A’BD) và các mặt phẳng chứa các cạnh của hình lập phương bằng α mà tanα = .
B. Góc giữa mặt phẳng (A’BD) và các mặt phẳng chứa các cạnh của hình lập phương bằng α mà tanα = .
C. Góc giữa mặt phẳng (A’BD) và các mặt phẳng chứa các cạnh của hình lập phương phụ thuộc vào kích thước của hình lập phương.
D. Góc giữa mặt phẳng (A’BD) và các mặt phẳng chứa các cạnh của hình lập phương bằng nhau.
Bài 6. Cho tam giác ABC vuông tại A. Cạnh AB = a nằm trong mặt phẳng(P), cạnh AC = , AC tạo với (P) một góc 60°. Tính góc tạo bởi BC và (P).
Bài 7. Cho tứ diện ABCD có AC = AD và BC = BD. Gọi I là trung điểm của CD. Xác điịnh góc giữa các mặt phẳng sau:
a) (ACD) và (BCD).
b) (BCD) và (AIB).
c) (ABC) và (ABD).
Bài 8. Cho hình chóp S.ABCD có đáy ABCD là hình vuông và SA ⊥ (ABCD), gọi O là tâm hình vuông ABCD. Xác định các góc tạo bởi:
a) (SBC) và (ABCD).
b) (SAD) và (ABCD).
c) (SAC) và (SBD).
Bài 9. Cho hình lập phương ABCD.A1B1C1D1. Gọi α là góc giữa hai mặt phẳng (A1D1CB) và (ABCD). Tính α?
Bài 10. Cho hình chóp S.ABCD có đáy ABCD là hình thang vuông tại A và D. AB = 2a; AD = DC = a. Cạnh bên SA vuông góc với đáy và SA = .
a) Xác định giao tuyến giữa (SAB) và (SCD) và giao tuyến đó song song với đường thẳng nào?
b) Tính góc tạo bởi (SDC) và (BCD).
Tủ sách VIETJACK shopee lớp 10-11 (cả 3 bộ sách):
Đã có app VietJack trên điện thoại, giải bài tập SGK, SBT Soạn văn, Văn mẫu, Thi online, Bài giảng....miễn phí. Tải ngay ứng dụng trên Android và iOS.
Theo dõi chúng tôi miễn phí trên mạng xã hội facebook và youtube:Nếu thấy hay, hãy động viên và chia sẻ nhé! Các bình luận không phù hợp với nội quy bình luận trang web sẽ bị cấm bình luận vĩnh viễn.
- Giải Tiếng Anh 11 Global Success
- Giải sgk Tiếng Anh 11 Smart World
- Giải sgk Tiếng Anh 11 Friends Global
- Lớp 11 - Kết nối tri thức
- Soạn văn 11 (hay nhất) - KNTT
- Soạn văn 11 (ngắn nhất) - KNTT
- Giải sgk Toán 11 - KNTT
- Giải sgk Vật Lí 11 - KNTT
- Giải sgk Hóa học 11 - KNTT
- Giải sgk Sinh học 11 - KNTT
- Giải sgk Lịch Sử 11 - KNTT
- Giải sgk Địa Lí 11 - KNTT
- Giải sgk Giáo dục KTPL 11 - KNTT
- Giải sgk Tin học 11 - KNTT
- Giải sgk Công nghệ 11 - KNTT
- Giải sgk Hoạt động trải nghiệm 11 - KNTT
- Giải sgk Giáo dục quốc phòng 11 - KNTT
- Giải sgk Âm nhạc 11 - KNTT
- Lớp 11 - Chân trời sáng tạo
- Soạn văn 11 (hay nhất) - CTST
- Soạn văn 11 (ngắn nhất) - CTST
- Giải sgk Toán 11 - CTST
- Giải sgk Vật Lí 11 - CTST
- Giải sgk Hóa học 11 - CTST
- Giải sgk Sinh học 11 - CTST
- Giải sgk Lịch Sử 11 - CTST
- Giải sgk Địa Lí 11 - CTST
- Giải sgk Giáo dục KTPL 11 - CTST
- Giải sgk Hoạt động trải nghiệm 11 - CTST
- Giải sgk Âm nhạc 11 - CTST
- Lớp 11 - Cánh diều
- Soạn văn 11 Cánh diều (hay nhất)
- Soạn văn 11 Cánh diều (ngắn nhất)
- Giải sgk Toán 11 - Cánh diều
- Giải sgk Vật Lí 11 - Cánh diều
- Giải sgk Hóa học 11 - Cánh diều
- Giải sgk Sinh học 11 - Cánh diều
- Giải sgk Lịch Sử 11 - Cánh diều
- Giải sgk Địa Lí 11 - Cánh diều
- Giải sgk Giáo dục KTPL 11 - Cánh diều
- Giải sgk Tin học 11 - Cánh diều
- Giải sgk Công nghệ 11 - Cánh diều
- Giải sgk Hoạt động trải nghiệm 11 - Cánh diều
- Giải sgk Giáo dục quốc phòng 11 - Cánh diều
- Giải sgk Âm nhạc 11 - Cánh diều


Giải bài tập SGK & SBT
Tài liệu giáo viên
Sách
Khóa học
Thi online
Hỏi đáp

