Tổng của n số hạng đầu tiên của một cấp số cộng lớp 11 (cách giải + bài tập)
Chuyên đề phương pháp giải bài tập Tổng của n số hạng đầu tiên của một cấp số cộng lớp 11 chương trình sách mới hay, chi tiết với bài tập tự luyện đa dạng giúp học sinh ôn tập, biết cách làm bài tập Tổng của n số hạng đầu tiên của một cấp số cộng.
Tổng của n số hạng đầu tiên của một cấp số cộng lớp 11 (cách giải + bài tập)
(199k) Xem Khóa học Toán 11 KNTTXem Khóa học Toán 11 CDXem Khóa học Toán 11 CTST
1. Phương pháp giải
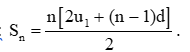
Cho cấp số cộng (un) có số hạng đầu là u1; công sai là d. Tổng n số hạng đầu tiên của cấp số cộng là: .
Ngoài ra, ta còn có 1 cách tính khác là:
Chú ý: Cho dãy số (un) là cấp số cộng có công sai d.
Cho x và y là hai số hạng của cấp số cộng.
Khi đó từ x đến y có số số hạng là: .
2. Ví dụ minh họa
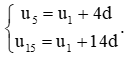
Ví dụ 1. Cho cấp số cộng (un) có u5 = −10 và u15 = 60. Tính tổng của 20 số hạng đầu tiên của cấp số cộng.
Hướng dẫn giải:
Ta có:
Theo giả thiết ta có:
Tổng 20 số hạng đầu tiên của cấp số cộng là:
Ví dụ 2. Cho cấp số cộng (un) thỏa mãn:
Tổng S = u5 + u6 + …+ u30 = ?
Hướng dẫn giải:
Từ giả thiết bài toán, ta có:
Ta có: u5; u6; ...; u30 là cấp số cộng có 26 số hạng; số hạng đầu là
u5 = 2 + 4.(–3) = –10; công sai d = –3.
Vậy tổng
3. Bài tập tự luyện
Bài 1. Cho cấp số cộng: −4; −8; −12; −16;...Tổng của 10 số hạng đầu tiên là
A. 110;
B. –220;
C. 220;
D. –110.
Bài 2. Cho cấp số cộng (un) thỏa mãn: . Giá trị tổng 20 số hạng đầu của cấp số cộng là
A. −565;
B. −530;
C. −652;
D. −285.
Bài 3. Cho (un) là cấp số cộng thỏa mãn: u2 + u22 = 20. Giá trị của S23 là
A. 120;
B. 230;
C. 150;
D. 200.
Bài 4. Cho dãy số (un) có d = –2; S8 = 72. Giá trị của u1 là
A. u1 = 16;
B. u1 = –16;
C. u1 = 8;
D. u1 = – 4.
Bài 5. Giá trị của tổng: S = 2 + 4 + 6 + ...+ (2n − 2) + 2n là
A. n(2n – 1);
B. n(n + 1);
C. ;
D. .
Bài 6. Cho một cấp số cộng (un) có u1 = 1 và tổng 100 số hạng đầu bằng 24 850. Giá trị của là
A. ;
B. ;
C. ;
D. .
Bài 7. Cho cấp số cộng (un) thỏa mãn . Số hạng đầu tiên của cấp số cộng là
A. ;
B. ;
C. hoặc ;
D. Đáp án khác.
Bài 8. Cho cấp số cộng (un) thỏa mãn: u4 + u8 + u11 + u17 = 100. Giá trị của S19 là
A. 475;
B. 500;
C. 1 000;
D. 750.
Bài 9. Cho (un) là cấp số cộng thỏa mãn: u2 + u3 + u7 + u10 + u12 + u17 = 300. Giá trị của u9 + u8 là
A. 50;
B. 150;
C. 75;
D. 100.
Bài 10. Cho (un) là cấp số cộng thỏa mãn: . Tổng của số hạng đầu và công sai của cấp số cộng là
A. 63;
B. 67;
C. 75;
D. 81.
(199k) Xem Khóa học Toán 11 KNTTXem Khóa học Toán 11 CDXem Khóa học Toán 11 CTST
Xem thêm các dạng bài tập Toán 11 hay, chi tiết khác:
Tủ sách VIETJACK shopee lớp 10-11 (cả 3 bộ sách):
Đã có app VietJack trên điện thoại, giải bài tập SGK, SBT Soạn văn, Văn mẫu, Thi online, Bài giảng....miễn phí. Tải ngay ứng dụng trên Android và iOS.
Theo dõi chúng tôi miễn phí trên mạng xã hội facebook và youtube:Nếu thấy hay, hãy động viên và chia sẻ nhé! Các bình luận không phù hợp với nội quy bình luận trang web sẽ bị cấm bình luận vĩnh viễn.
- Giải Tiếng Anh 11 Global Success
- Giải sgk Tiếng Anh 11 Smart World
- Giải sgk Tiếng Anh 11 Friends Global
- Lớp 11 - Kết nối tri thức
- Soạn văn 11 (hay nhất) - KNTT
- Soạn văn 11 (ngắn nhất) - KNTT
- Giải sgk Toán 11 - KNTT
- Giải sgk Vật Lí 11 - KNTT
- Giải sgk Hóa học 11 - KNTT
- Giải sgk Sinh học 11 - KNTT
- Giải sgk Lịch Sử 11 - KNTT
- Giải sgk Địa Lí 11 - KNTT
- Giải sgk Giáo dục KTPL 11 - KNTT
- Giải sgk Tin học 11 - KNTT
- Giải sgk Công nghệ 11 - KNTT
- Giải sgk Hoạt động trải nghiệm 11 - KNTT
- Giải sgk Giáo dục quốc phòng 11 - KNTT
- Giải sgk Âm nhạc 11 - KNTT
- Lớp 11 - Chân trời sáng tạo
- Soạn văn 11 (hay nhất) - CTST
- Soạn văn 11 (ngắn nhất) - CTST
- Giải sgk Toán 11 - CTST
- Giải sgk Vật Lí 11 - CTST
- Giải sgk Hóa học 11 - CTST
- Giải sgk Sinh học 11 - CTST
- Giải sgk Lịch Sử 11 - CTST
- Giải sgk Địa Lí 11 - CTST
- Giải sgk Giáo dục KTPL 11 - CTST
- Giải sgk Hoạt động trải nghiệm 11 - CTST
- Giải sgk Âm nhạc 11 - CTST
- Lớp 11 - Cánh diều
- Soạn văn 11 Cánh diều (hay nhất)
- Soạn văn 11 Cánh diều (ngắn nhất)
- Giải sgk Toán 11 - Cánh diều
- Giải sgk Vật Lí 11 - Cánh diều
- Giải sgk Hóa học 11 - Cánh diều
- Giải sgk Sinh học 11 - Cánh diều
- Giải sgk Lịch Sử 11 - Cánh diều
- Giải sgk Địa Lí 11 - Cánh diều
- Giải sgk Giáo dục KTPL 11 - Cánh diều
- Giải sgk Tin học 11 - Cánh diều
- Giải sgk Công nghệ 11 - Cánh diều
- Giải sgk Hoạt động trải nghiệm 11 - Cánh diều
- Giải sgk Giáo dục quốc phòng 11 - Cánh diều
- Giải sgk Âm nhạc 11 - Cánh diều


Giải bài tập SGK & SBT
Tài liệu giáo viên
Sách
Khóa học
Thi online
Hỏi đáp

