15 Bài tập Giải phương trình lượng giác cơ bản có lời giải
Bài viết 15 Bài tập Giải phương trình lượng giác cơ bản có lời giải gồm các dạng bài tập về Giải phương trình lượng giác cơ bản lớp 11 từ cơ bản đến nâng cao giúp học sinh lớp 11 biết cách làm bài tập Giải phương trình lượng giác cơ bản.
15 Bài tập Giải phương trình lượng giác cơ bản có lời giải
(199k) Học Toán 11 KNTTHọc Toán 11 CDHọc Toán 11 CTST
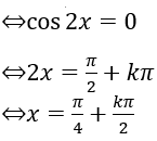
Bài 1: Giải phương trình sau: .
Lời giải:
Đáp án: D
Vậy chọn D
Bài 2: Giải phương trình: cos2x.tanx = 0.
Lời giải:
Đáp án: D
Bài 3: Tìm tất cả các giá trị thực của m để phương trình sinx = m có nghiệm.
A. m ≠ 1 B. m ≠ -1
C. -1 ≤ m ≤ 1 D. m > 1
Lời giải:
Đáp án: C
sinx = m có nghiệm ⇔ |m| ≤ 1. Chọn C
Bài 4: Tìm tất cả các giá trị thực của m đế phương trình cosx - m = 0 có nghiệm.
A. m ∈ (-∞,-1] B. m ∈ (1,+∞]
C. m ∈ [-1,1] D. m ≠ -1
Lời giải:
Đáp án: C
cosx - m = 0 có nghiệm ⇔ cosx = m có nghiệm ⇔ |m| ≤ 1. Chọn C
Bài 5: Số nghiệm của phương trình sin(2x – 40º) = 1 với -180º < x < 180º là:
A.1 B.2 C.3 D.4
Lời giải:
Đáp án: B
sin(2x-40º) = 1 ⇔ 2x-40º = 90º + k360º ⇔ x = 65º + k180º
-180º < x < 180º ⇒ x=65º (k=0),x= -115º (k= -1) .Chọn B.
Bài 6: Gọi a là nghiệm dương nhỏ nhất của phương trình . Mệnh đề nào sau đây đúng:
Lời giải:
Đáp án: C
k = 0 ⇒ x= π/4 (không thoả mãn)
k = 1 ⇒ x= 3π/4→Chọn C
Bài 7: Có bao nhiêu giá trị nguyên của tham số m để phương trình cosx = m +1 có nghiệm:
A.1 B.2 C.3 D. vô số.
Lời giải:
Đáp án: C
cosx = m + 1 có nghiệm ⇔ |m+1| ≤ 1 ⇔ -2 ≤ m ≤ 0
Vì m nguyên ⇒ m ∈ {-2;-1;0}→Chọn C
Bài 8: Phương trình nào sau đây có tập nghiệm trùng với tập nghiệm của phương trình tanx = 1:
A.sinx = √2/2 B. cosx = √2/2 C.cotx = 1 D. cot2x = 1
Lời giải:
Đáp án: C
tanx = 1 ⇒ cotx = 1 ⇒ Chọn C
Bài 9: Giá trị nào là nghiệm của phương trình tan3x.cot2x = 0
Lời giải:
Đáp án: D
Kết hợp với điều kiện ta chọn D.
Bài 10: Số nghiệm của phương trình tanx = tan(3π/11) trên khoảng [π/4,2 π] là:
A.1 B.2 C.3 D. vô số.
Lời giải:
Đáp án: B
Bài 11: Tổng các nghiệm của phương trình tan5x – tanx = 0 trên nửa khoảng [o, π) bằng:
A. π B.2 π C. 3π/2 D. 5π/2.
Lời giải:
Đáp án: C
tan5x = tanx ⇔ x = kπ/4. x ∈ [0; π) ⇒ x=0; π/4; π/2; 3π/4
⇒ Tổng các nghiệm: 3π/2 .Chọn C
Bài 12: Nghiệm nhỏ nhất của phương trình cosx = 1 trên [0,10 π] là:
A. π B.2 π C. 3π/2 D. 5π/2.
Lời giải:
Đáp án: A
cosx=1 ⇔ x = k2π ⇒ nghiệm nhỏ nhất là 0 . Chọn A
Bài 13: Số nghiệm của phương trình cosx = 0.566 trên đoạn [π/2,2 π] là:
A.1 B.2 C.3 D. 4.
Lời giải:
Đáp án: A
cosx = 0,566
⇔ x ≈ ± 0,3π + k2π ⇒ Số nghiệm trên [π/2;2π] là 1 → Chọn A
Bài 14: Gọi X là tập nghiệm của phương trình cos(x/2 + 15º)=sinx. Mệnh đề nào sau đây đúng:
A.290º ∈ X B. 20º ∈ X C. 220º ∈ X D. 240º ∈ X.
Lời giải:
Đáp án: A
Bài 15: Phương trình sin2 x=0.5 tương đương với phương trình nào sau đây.
A.cosx = 1 B. cos2x = 1 C. sin2x = 0 D. sin(0.5x) = 1
Lời giải:
Đáp án: B
(199k) Học Toán 11 KNTTHọc Toán 11 CDHọc Toán 11 CTST
Xem thêm các dạng bài tập Toán lớp 11 có trong đề thi Tốt nghiệp THPT khác:
- Dạng 1: Cách giải phương trình lượng giác cơ bản
- Dạng 2: Phương trình bậc hai với một hàm số lượng giác
- Trắc nghiệm phương trình bậc hai với một hàm số lượng giác
- Dạng 3: Phương trình bậc nhất theo sinx và cosx
- Trắc nghiệm phương trình bậc nhất theo sinx và cosx
- Dạng 4: Phương trình đẳng cấp bậc 2, bậc 3 lượng giác
- Trắc nghiệm phương trình đẳng cấp bậc 2, bậc 3 lượng giác
Tủ sách VIETJACK shopee lớp 10-11 (cả 3 bộ sách):
Đã có app VietJack trên điện thoại, giải bài tập SGK, SBT Soạn văn, Văn mẫu, Thi online, Bài giảng....miễn phí. Tải ngay ứng dụng trên Android và iOS.
Theo dõi chúng tôi miễn phí trên mạng xã hội facebook và youtube:Nếu thấy hay, hãy động viên và chia sẻ nhé! Các bình luận không phù hợp với nội quy bình luận trang web sẽ bị cấm bình luận vĩnh viễn.
- Giải Tiếng Anh 11 Global Success
- Giải sgk Tiếng Anh 11 Smart World
- Giải sgk Tiếng Anh 11 Friends Global
- Lớp 11 - Kết nối tri thức
- Soạn văn 11 (hay nhất) - KNTT
- Soạn văn 11 (ngắn nhất) - KNTT
- Giải sgk Toán 11 - KNTT
- Giải sgk Vật Lí 11 - KNTT
- Giải sgk Hóa học 11 - KNTT
- Giải sgk Sinh học 11 - KNTT
- Giải sgk Lịch Sử 11 - KNTT
- Giải sgk Địa Lí 11 - KNTT
- Giải sgk Giáo dục KTPL 11 - KNTT
- Giải sgk Tin học 11 - KNTT
- Giải sgk Công nghệ 11 - KNTT
- Giải sgk Hoạt động trải nghiệm 11 - KNTT
- Giải sgk Giáo dục quốc phòng 11 - KNTT
- Giải sgk Âm nhạc 11 - KNTT
- Lớp 11 - Chân trời sáng tạo
- Soạn văn 11 (hay nhất) - CTST
- Soạn văn 11 (ngắn nhất) - CTST
- Giải sgk Toán 11 - CTST
- Giải sgk Vật Lí 11 - CTST
- Giải sgk Hóa học 11 - CTST
- Giải sgk Sinh học 11 - CTST
- Giải sgk Lịch Sử 11 - CTST
- Giải sgk Địa Lí 11 - CTST
- Giải sgk Giáo dục KTPL 11 - CTST
- Giải sgk Hoạt động trải nghiệm 11 - CTST
- Giải sgk Âm nhạc 11 - CTST
- Lớp 11 - Cánh diều
- Soạn văn 11 Cánh diều (hay nhất)
- Soạn văn 11 Cánh diều (ngắn nhất)
- Giải sgk Toán 11 - Cánh diều
- Giải sgk Vật Lí 11 - Cánh diều
- Giải sgk Hóa học 11 - Cánh diều
- Giải sgk Sinh học 11 - Cánh diều
- Giải sgk Lịch Sử 11 - Cánh diều
- Giải sgk Địa Lí 11 - Cánh diều
- Giải sgk Giáo dục KTPL 11 - Cánh diều
- Giải sgk Tin học 11 - Cánh diều
- Giải sgk Công nghệ 11 - Cánh diều
- Giải sgk Hoạt động trải nghiệm 11 - Cánh diều
- Giải sgk Giáo dục quốc phòng 11 - Cánh diều
- Giải sgk Âm nhạc 11 - Cánh diều


Giải bài tập SGK & SBT
Tài liệu giáo viên
Sách
Khóa học
Thi online
Hỏi đáp

