Các dạng bài tập Phương trình lượng giác chọn lọc, có lời giải
Các dạng bài tập Phương trình lượng giác chọn lọc, có lời giải
(199k) Xem Khóa học Toán 11 KNTTXem Khóa học Toán 11 CDXem Khóa học Toán 11 CTST
Phần Phương trình lượng giác Toán lớp 11 với các dạng bài tập chọn lọc có trong Đề thi THPT Quốc gia và trên 100 bài tập trắc nghiệm chọn lọc, có lời giải. Vào Xem chi tiết để theo dõi các dạng bài Phương trình lượng giác hay nhất tương ứng.
- Dạng 1: Cách giải phương trình lượng giác cơ bản Xem chi tiết
- Trắc nghiệm giải phương trình lượng giác cơ bản Xem chi tiết
- Dạng 2: Phương trình bậc hai với một hàm số lượng giác Xem chi tiết
- Trắc nghiệm phương trình bậc hai với một hàm số lượng giác Xem chi tiết
- Dạng 3: Phương trình bậc nhất theo sinx và cosx Xem chi tiết
- Trắc nghiệm phương trình bậc nhất theo sinx và cosx Xem chi tiết
- Dạng 4: Phương trình đẳng cấp bậc 2, bậc 3 lượng giác Xem chi tiết
- Trắc nghiệm phương trình đẳng cấp bậc 2, bậc 3 lượng giác Xem chi tiết
- Dạng 5: Phương trình lượng giác đối xứng, phản đối xứng Xem chi tiết
- Trắc nghiệm phương trình lượng giác đối xứng, phản đối xứng Xem chi tiết
- Dạng 6: Cách giải các phương trình lượng giác đặc biệt Xem chi tiết
- Trắc nghiệm giải các phương trình lượng giác đặc biệt Xem chi tiết
- Dạng 7: Tìm nghiệm của phương trình lượng giác thỏa mãn điều kiện Xem chi tiết
- Trắc nghiệm tìm nghiệm của phương trình lượng giác thỏa mãn điều kiện Xem chi tiết
- Dạng 8: Phương pháp loại nghiệm, hợp nghiệm trong phương trình lượng giác Xem chi tiết
- Trắc nghiệm phương pháp loại nghiệm, hợp nghiệm trong phương trình lượng giác Xem chi tiết
- Giải phương trình lượng giác cơ bản Xem chi tiết
- Tìm nghiệm của phương trình lượng giác cơ bản trên khoảng (đoạn) Xem chi tiết
- Phương trình quy về phương trình lượng giác cơ bản Xem chi tiết
- Phương trình bậc nhất đối với hàm số lượng giác Xem chi tiết
- Phương trình quy về phương trình bậc nhất đối với hàm số lượng giác Xem chi tiết
- Phương trình bậc hai đối với hàm số lượng giác Xem chi tiết
- Phương trình quy về phương trình bậc hai đối với hàm số lượng giác Xem chi tiết
- Tìm nghiệm của phương trình lượng giác trong khoảng, đoạn Xem chi tiết
- Tìm điều kiện của tham số m để phương trình lượng giác có nghiệm Xem chi tiết
- Điều kiện để phương trình bậc nhất đối với sinx và cosx có nghiệm Xem chi tiết
- Giải phương trình bậc nhất đối với sinx và cosx Xem chi tiết
- Phương trình quy về phương trình bậc nhất đối với sinx và cosx Xem chi tiết
- Phương trình thuần nhất bậc 2 đối với sinx và cosx Xem chi tiết
- Phương trình đối xứng, phản đối xứng đối với sinx và cosx Xem chi tiết
- Phương trình lượng giác đưa về dạng tích Xem chi tiết
- Phương trình lượng giác không mẫu mực Xem chi tiết
- Tìm số nghiệm của phương trình lượng giác trong khoảng, đoạn Xem chi tiết
Cách giải phương trình lượng giác cơ bản
A. Phương pháp giải & Ví dụ
- Phương trình sinx = a (1)
♦ |a| > 1: phương trình (1) vô nghiệm.
♦ |a| ≤ 1: gọi α là một cung thỏa mãn sinα = a.
Khi đó phương trình (1) có các nghiệm là
x = α + k2π, k ∈ Z
và x = π-α + k2π, k ∈ Z.
Nếu α thỏa mãn điều kiện và sinα = a thì ta viết α = arcsin a.
Khi đó các nghiệm của phương trình (1) là
x = arcsina + k2π, k ∈ Z
và x = π - arcsina + k2π, k ∈ Z.
Các trường hợp đặc biệt:
- Phương trình cosx = a (2)
♦ |a| > 1: phương trình (2) vô nghiệm.
♦ |a| ≤ 1: gọi α là một cung thỏa mãn cosα = a.
Khi đó phương trình (2) có các nghiệm là
x = α + k2π, k ∈ Z
và x = -α + k2π, k ∈ Z.
Nếu α thỏa mãn điều kiện và cosα = a thì ta viết α = arccos a.
Khi đó các nghiệm của phương trình (2) là
x = arccosa + k2π, k ∈ Z
và x = -arccosa + k2π, k ∈ Z.
Các trường hợp đặc biệt:
- Phương trình tanx = a (3)
Điều kiện:
Nếu α thỏa mãn điều kiện và tanα = a thì ta viết α = arctan a.
Khi đó các nghiệm của phương trình (3) là
x = arctana + kπ,k ∈ Z
- Phương trình cotx = a (4)
Điều kiện: x ≠ kπ, k ∈ Z.
Nếu α thỏa mãn điều kiện và cotα = a thì ta viết α = arccot a.
Khi đó các nghiệm của phương trình (4) là
x = arccota + kπ, k ∈ Z
Ví dụ minh họa
Bài 1: Giải các phương trình lượng giác sau:
a) sinx = sin(π/6) c) tanx – 1 = 0
b) 2cosx = 1. d) cotx = tan2x.
Hướng dẫn:
a) sinx = sinπ/6
b)
c) tanx=1⇔cosx= π/4+kπ (k ∈ Z)
d) cotx=tan2x
Bài 2: Giải các phương trình lượng giác sau:
a) cos2 x - sin2x =0.
b) 2sin(2x – 40º) = √3
Hướng dẫn:
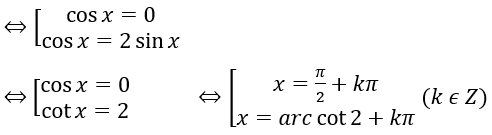
a) cos2x-sin2x=0 ⇔cos2x-2 sinx cosx=0
⇔ cosx (cosx - 2 sinx )=0
b) 2 sin(2x-40º )=√3
⇔ sin(2x-40º )=√3/2
Bài 3: Giải các phương trình lượng giác sau:
Hướng dẫn:
a) sin(2x+1)=cos(3x+2)
b)
⇔ sinx+1=1+4k
⇔ sinx=4k (k ∈ Z)
Nếu |4k| > 1⇔|k| > 1/4; phương trình vô nghiệm
Nếu |4k| ≤ 1 mà k nguyên ⇒ k = 0 .Khi đó:
⇔sinx = 0 ⇔ x = mπ (m ∈ Z)
Cách giải Phương trình bậc hai với một hàm số lượng giác
A. Phương pháp giải & Ví dụ
Định nghĩa:
Phương trình bậc hai đối với một hàm số lượng giác Là phương trình có dạng :
a.f2(x) + b.f(x) + c = 0
với f(x) = sinu(x) hoặc f(x) = cosu(x), tanu(x), cotu(x).
Cách giải:
Đặt t = f(x) ta có phương trình : at2 + bt +c = 0
Giải phương trình này ta tìm được t, từ đó tìm được x
Khi đặt t = sinu(x) hoặc t = cosu(x), ta có điều kiện: -1 ≤ t ≤ 1
Ví dụ minh họa
Bài 1: sin2x +2sinx - 3 = 0
Bài 2: cos2x – sinx + 2 = 0
B. Bài tập vận dụng
Bài 1: 1/(sin2 x)+tanx-1=0
Lời giải:
Bài 2: cosx – sin2x = 0
Lời giải:
Bài 3: cos2x + cosx – 2 = 0
Lời giải:
Cách giải Phương trình bậc nhất theo sinx và cosx
A. Phương pháp giải & Ví dụ
Xét phương trình asinx + bcosx = c (1) với a, b là các số thực khác 0.
Khi đó phương trình (1) được đưa về dạng
Ở đó α là cung thỏa mãn
Chú ý:
Ví dụ minh họa
Bài 1: Giải phương trình sau: cos2x – sin2x = 0.
Bài 2: Giải phương trình sau: sin3x - √3 cos3x = 2sin2x.
(199k) Xem Khóa học Toán 11 KNTTXem Khóa học Toán 11 CDXem Khóa học Toán 11 CTST
Xem thêm các dạng bài tập Toán lớp 11 có trong đề thi THPT Quốc gia khác:
- Tổng hợp lý thuyết chương Hàm số lượng giác - phương trình lượng giác
- Chuyên đề: Hàm số lượng giác
- Chuyên đề: Phương trình lượng giác
- Bài tập chương Hàm số lượng giác, Phương trình lượng giác (phần 1 - có đáp án)
- Bài tập chương Hàm số lượng giác, Phương trình lượng giác (phần 2 - có đáp án)
Tủ sách VIETJACK shopee lớp 10-11 (cả 3 bộ sách):
Đã có app VietJack trên điện thoại, giải bài tập SGK, SBT Soạn văn, Văn mẫu, Thi online, Bài giảng....miễn phí. Tải ngay ứng dụng trên Android và iOS.
Theo dõi chúng tôi miễn phí trên mạng xã hội facebook và youtube:Nếu thấy hay, hãy động viên và chia sẻ nhé! Các bình luận không phù hợp với nội quy bình luận trang web sẽ bị cấm bình luận vĩnh viễn.
- Giải Tiếng Anh 11 Global Success
- Giải sgk Tiếng Anh 11 Smart World
- Giải sgk Tiếng Anh 11 Friends Global
- Lớp 11 - Kết nối tri thức
- Soạn văn 11 (hay nhất) - KNTT
- Soạn văn 11 (ngắn nhất) - KNTT
- Giải sgk Toán 11 - KNTT
- Giải sgk Vật Lí 11 - KNTT
- Giải sgk Hóa học 11 - KNTT
- Giải sgk Sinh học 11 - KNTT
- Giải sgk Lịch Sử 11 - KNTT
- Giải sgk Địa Lí 11 - KNTT
- Giải sgk Giáo dục KTPL 11 - KNTT
- Giải sgk Tin học 11 - KNTT
- Giải sgk Công nghệ 11 - KNTT
- Giải sgk Hoạt động trải nghiệm 11 - KNTT
- Giải sgk Giáo dục quốc phòng 11 - KNTT
- Giải sgk Âm nhạc 11 - KNTT
- Lớp 11 - Chân trời sáng tạo
- Soạn văn 11 (hay nhất) - CTST
- Soạn văn 11 (ngắn nhất) - CTST
- Giải sgk Toán 11 - CTST
- Giải sgk Vật Lí 11 - CTST
- Giải sgk Hóa học 11 - CTST
- Giải sgk Sinh học 11 - CTST
- Giải sgk Lịch Sử 11 - CTST
- Giải sgk Địa Lí 11 - CTST
- Giải sgk Giáo dục KTPL 11 - CTST
- Giải sgk Hoạt động trải nghiệm 11 - CTST
- Giải sgk Âm nhạc 11 - CTST
- Lớp 11 - Cánh diều
- Soạn văn 11 Cánh diều (hay nhất)
- Soạn văn 11 Cánh diều (ngắn nhất)
- Giải sgk Toán 11 - Cánh diều
- Giải sgk Vật Lí 11 - Cánh diều
- Giải sgk Hóa học 11 - Cánh diều
- Giải sgk Sinh học 11 - Cánh diều
- Giải sgk Lịch Sử 11 - Cánh diều
- Giải sgk Địa Lí 11 - Cánh diều
- Giải sgk Giáo dục KTPL 11 - Cánh diều
- Giải sgk Tin học 11 - Cánh diều
- Giải sgk Công nghệ 11 - Cánh diều
- Giải sgk Hoạt động trải nghiệm 11 - Cánh diều
- Giải sgk Giáo dục quốc phòng 11 - Cánh diều
- Giải sgk Âm nhạc 11 - Cánh diều


Giải bài tập SGK & SBT
Tài liệu giáo viên
Sách
Khóa học
Thi online
Hỏi đáp

