Điều kiện để phương trình bậc nhất đối với sinx và cosx có nghiệm
Bài viết Điều kiện để phương trình bậc nhất đối với sinx và cosx có nghiệm với phương pháp giải chi tiết giúp học sinh ôn tập, biết cách làm bài tập Điều kiện để phương trình bậc nhất đối với sinx và cosx có nghiệm.
- Cách giải bài tập Điều kiện để phương trình bậc nhất đối với sinx và cosx có nghiệm
- Ví dụ minh họa bài tập Điều kiện để phương trình bậc nhất đối với sinx và cosx có nghiệm
- Bài tập vận dụng Điều kiện để phương trình bậc nhất đối với sinx và cosx có nghiệm
- Bài tập tự luyện Điều kiện để phương trình bậc nhất đối với sinx và cosx có nghiệm
Điều kiện để phương trình bậc nhất đối với sinx và cosx có nghiệm
(199k) Xem Khóa học Toán 11 KNTTXem Khóa học Toán 11 CDXem Khóa học Toán 11 CTST
A. Phương pháp giải
+ Phương trình bậc nhất đối với sin x và cosx có dạng: a. sinx+ bcosx = c
Trong đó: a, b và c là hằng số.
+ Cách giải phương trình:
• Cách 1:
• Cách 2:
* Chú ý:
+ Cách 2 thường dùng để giải và biện luận.
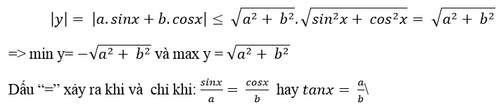
+ Điều kiện để phương trình đã cho có nghiệm là a2 + b2 ≥ c2
+ Bất đẳng thức bunhia-xcopski:
B. Ví dụ minh họa
Ví dụ 1. Cho phương trình a. sinx+ b cosx= c .Điều kiện để phương trình trên có nghiệm là:
A. a2 + b2 > c2
B. a2 + b2 < c2
C. a2+ b2 ≥ c2
D. a2+ b2 ≤ c2
Lời giải
Chọn C.
Ví dụ 2. Cho các phương trình sau:
(I). 2cosx + 4= 0
(II). – 4sinx =1
(III). 2cosx – sinx= 2
(IV). sin2 x + 2sinx – 3= 0
(V) . 7sinx+ 14.sinx.cosx=0
Hỏi có bao nhiêu phương trình là phương trình bậc nhất đối với sinx và cosx .
A. 3
B. 1
C. 2
D. 4
Lời giải
Phương trình bậc nhất đối với sinx và cosx có dạng :
a. sinx+ b. cosx= c ( trong đó a khác 0 hoặc b khác 0)
Ta xét các phương trình :
+(I): 2cosx+ 4= 0 ⇒ 2cosx = - 4 có a= 0; b=2 và c=- 4
⇒ (I) có là phương trình bậc nhất đối sinx và cosx.
+ (II). – 4sinx = 1 có a= -4; b= 0 và c= 1
⇒ (II) có là phương trình bậc nhất đối với sinx và cosx
+ (III). 2cos x- sinx= 2 có a= -1; b= 2 và c= 2
⇒ (III) có là phương trình bậc nhất đối với sinx và cosx.
+ (IV). sin2 x + 2sinx – 3= 0 không có dạng:a. sinx+ b. cosx = c (với a ≠ 0 hoặc b ≠ 0)
⇒ (IV) không là phương trình bậc nhất đối với sinx và cosx.
(V) . 7sinx+ 14.sinx.cosx=0 ⇒ 7sinx(1+ 2cosx) = 0
Phương trình trên không có dạng: a.sinx + b.cosx= c nên (V) không là phương trình bậc nhất đối với sinx và cosx.
Chọn A.
Ví dụ 3. Cho các phương trình sau:
(1). 3cosx+2 = 0
(2). 4- 2sinx= 0
(3). – 2sinx+ cosx= 3
(4). cos2x- sinx = 0
(5).cosx- sin3x. sinx= 0
(6).sin2x – sinx. cosx+ 2cos2 x= 0
Hỏi trong các phương trình trên có bao nhiêu phương trình đã có dạng phương trình bậc nhất đối với sinx và cosx.
A. 2 B. 4 C. 3 D. 5
Lời giải
Phương trình bậc nhất đối với sinx và cosx có dạng :
a.sinx+ b cosx= c ( với a ≠ 0 hoặc b ≠ 0)
Trong các phương trình đã cho có các phương trình : (1); (2); (3) đã có dạng phương trình bậc nhất đối với sinx và cosx.
Chọn C.
Ví dụ 4. Cho các phương trình:
(I). 2sinx- 3cos x= 1
(II).4sinx + 5cos x=10.
(III). - 3sinx – 2cosx= 3
(IV) . – 5sinx + cosx= 3
Hỏi có bao nhiêu phương trình có nghiệm.
A. 1 B.2 C. 3 D.4
Lời giải
+ Các phương trình trên là các phương trình bậc nhất đối với sinx; cosx và có dạng:
a. sinx+ b. cosx = c
Điều kiện để phương trình trên có nghiệm là: a2 + b2 ≥ c2
+ Ta xét các phương án :
(I). 2sinx- 3cos x= 1 có a= 2; b=- 3; c= 1
⇒ a2 + b2 ≥ c2 ( 13 ≥ 1)
⇒ (I) là phương trình có nghiệm.
(II).4sinx + 5cos x=10 có a= 4; b= 5; c= 10
⇒ a2 + b2 < c2 (41 < 100)
⇒ (II) là phương trình vô nghiệm
(III). - 3sinx – 2cosx= 3 có a= - 3; b= - 2 và c= 3
⇒ a2 + b2 ≥ c2 ( 13 ≥ 9)
⇒ (III) là phương trình có nghiệm
(IV) . – 5sinx + cosx= 3 có a= - 5; b= 1 và c= 3
⇒ a2 + b2 ≥ c2 ( 26 ≥ 9)
⇒ (IV) có nghiệm
Vậy có 3 phương trình có nghiệm.
Chọn C.
Ví dụ 5. Cho các phương trình sau:
(1).2sinx - √3 cosx= √5
(2). - √5sin2x + cos2x = 5
(3).√7 cosx= 3
(4). 3√2 sinx= -4
Hỏi có bao nhiêu phương trình vô nghiệm?
A. 0 B.2 C. 1 D.3
Lời giải
Các phương trình trên đều có dạng: a.sinx+ b. cosx= c ( với a ≠ 0 hoặc b ≠ 0 )
Điều kiện để các phương trình bậc nhất đối với sinx và cos x có nghiệm là:
a2 + b2 ≥ c2
⇒ Điều kiện để các phương trình bậc nhất đối với sinx và cosx vô nghiệm là:
a2+ b2 < c2
+ Ta xét các phương trình:
(1): 2sinx - √3 cosx= √5 có a= 2; b= -√3 và c= √5
⇒ a2 + b2 > c2 (7 > 5)
⇒ Phương trình này có nghiệm
(2). - √5sin2x + cos2x = 5 có a= -√5;b=1;c=5
⇒ a2 + b2 < c2 ( vì 6 < 25)
⇒ phương trình (2) vô nghiệm.
(3). √7 cosx= 3 có a= 0; b= √7 và c= 3
⇒ a2 + b2 < c2 ( vì 7 < 9)
⇒ Phương trình (3) vô nghiệm
(4). 3√2 sinx= -4 có a= 3√2; b=0 và c = -4
⇒ a2 + b2 > c2 ( vì 18 > 16)
⇒ Phương trình (4) có nghiệm
Vậy chỉ có phương trình (2) và (3) vô nghiệm
Chọn B.
Ví dụ 6. Phương trình nào sau đây vô nghiệm
A.2sinx- 10 cosx = 12
B. – sinx+ cosx= - 1
C. 2sinx= 2
D. –10 cosx+ 1=0
Lời giải
Xét phương án A: có a= 2; b= -10 và c= 12
⇒ a2 + b2 < c2 (104 < 144)
⇒ Phương trình này vô nghiệm.
Chọn A.
Ví dụ 7: Phương trình nào sau đây vô nghiệm:
A. √3 sinx+cosx=2.
B.√2 sin2x- √2 cos2x=-2.
C.
D.
Lời giải
+ Các phương trình ở đáp án A, B, D đều có dạng A. Sinax+ B.cosax = C và A2+B2 ≥ C2 nên các phương trình này đều có nghiệm.
+Phương trình ở đáp án C có dạng cos(x+a)= m với m= 2π/3 > 1 nên phương trình này vô nghiệm.
Chọn C.
Ví dụ 8. Cho phương trình m.sinx+ cosx= 2. Tìm điều kiện của m để phương trình trên có nghiệm?
A.
B.
C. -√3 ≤ m ≤ √3
D. -√2 ≤ m ≤ √2
Lời giải
Phương trình: m.sinx+ cosx=2 có nghiệm khi và chỉ khi:
m2+ 12 ≥ 22
⇒ m2 + 1 ≥ 4 ⇒ m2 ≥ 3
Chọn A.
Ví dụ 9. Cho phương trình: m.sinx+ (m-2).cosx= √2. Tìm điều kiện của m để phương trình có nghiệm?
A. 1 ≤ m ≤ 3
B. m ≤ 2;m ≥ 3
C.m > 2; m < 3
D. Phương trình luôn có nghiệm với mọi m
Lời giải
Phương trình: m.sinx+ (m-2).cosx= √2 có nghiệm khi và chỉ khi:
m2+ (m-2)2 ≥ (√2)2
⇒ m2+m2 - 4m+4 ≥ 2 ⇒ 2m2 – 4m+ 2 ≥ 0
⇒ 2(m-1)2 ≥ 0 luôn đúng với mọi m.
⇒ Phương trình đã cho luôn có nghiệm với mọi m.
Chọn D.
Ví dụ 10. Cho phương trình sinx+ (m-1)cosx= 2m- 1. Tìm điều kiện của m để phương trình trên vô nghiệm.
A.
B.
C. – 1 < m < 2
D. - 2 ≤ m ≤ 1
Lời giải
Phương trình: sinx+ (m-1)cosx = 2m- 1 vô nghiệm khi và chỉ khi:
12 +(m-1)2 < (2m- 1)2
⇒ 1+ m2 – 2m+ 1 < 4m2 - 4m+ 1
⇒ -3m2 + 2m +1 < 0
Chọn A .
Ví dụ 11. Cho phương trình: (m-1).sinx+ cosx= m. Tìm điều kiện của m để phương trình đã cho vô nghiệm
A. m > 2
B. m < 2
C. m > 1
D. 1 < m < 2
Lời giải
Để phương trình: (m- 1). sinx+ cosx= m vô nghiệm thì:
(m-1)2 +12 < m2
⇒ m2 -2m+ 1 + 12 < m2
⇒ 2-2m < 0 ⇒ m > 1.
Chọn C.
Ví dụ 13: Cho phương trình: . Tìm m để phương trình có nghiệm.
A.
B.
C. Không có giá trị nào của m.
D. m ≥ 3
Lời giải
Chọn C.
Ví dụ 14: Tìm m để phương trình: 2sin2 x+ m. sin2x = 2m vô nghiệm.
A.
B.
C.
D.
Lời giải
Ta có: 2sin2 x + m. sin2x = 2m
⇒ 1- cos2x + m. sin 2x= 2m
⇒ m.sin 2x – cos2x = 2m- 1
Phương trình vô nghiệm khi và chỉ khi:
Chọn D.
C. Bài tập vận dụng
Câu 1:Cho các phương trình sau:
(I). – 4sinx + 2= 0
(II). 10cosx = 0
(III). – 4cosx + 2sinx= 1
(IV). 2sin2 x - 12sinx + 9= 0
(V) . -2sinx - 2.sinx.cosx=0
Hỏi có bao nhiêu phương trình là phương trình bậc nhất đối với sinx và cosx .
A. 3
B. 1
C. 2
D. 4
Lời giải:
Phương trình bậc nhất đối với sinx và cosx có dạng :
a. sinx+ b. cosx= c ( trong đó a khác 0 hoặc b khác 0)
Ta xét các phương trình :
+(I): - 4sinx + 2= 0 ⇒ - 4sinx = - 2 có a= -4; b=0 và c=- 2
⇒ (I) có là phương trình bậc nhất đối sinx và cosx.
+ (II). 10 cosx= 0 có a= 0; b=10 và c = 0
⇒ (II) có là phương trình bậc nhất đối với sinx và cosx
+ (III). – 4cosx + 2sinx = 1 có a= 2; b= -4 và c= 1
⇒ (III) có là phương trình bậc nhất đối với sinx và cosx.
+ (IV).2sin2 x -12sinx + 9 = 0 không có dạng:a. sinx+ b. cosx = c (với a ≠ 0 hoặc b ≠ 0)
⇒ (IV) không là phương trình bậc nhất đối với sinx và cosx.
(V) . -2sinx - 2.sinx.cosx = 0 ⇒ - 2sinx( 1+ cosx)= 0
Phương trình trên không có dạng: a.sinx + b.cosx= c nên (V) không là phương trình bậc nhất đối với sinx và cosx.
Chọn A.
Câu 2:Tìm phương trình không phải là phương trình bậc nhất đối với sinx và cosx.
A. sinx + cosx= 0
B. – 10sinx = 0
C. 8- cosx =0
D. 2sin2x + cosx = 1
Lời giải:
Phương trình bậc nhất đối với sinx và cosx có dạng :
a.sinx+ b cosx = c ( với a ≠ 0 hoặc b ≠ 0) ⇒ a. sinx+ b.cosx – c= 0
Trong các phương trình đã cho có các phương trình : A; B; C đã có dạng phương trình bậc nhất đối với sinx và cosx.
Phương trình D: 2sin2x + cosx= 1chưa có dạng phương trình bậc nhất.
Chọn D.
Câu 3:Cho các phương trình:
(I). 10sinx- cos x= 2
(II). - 3sinx = 2.
(III). 2sinx - 6cosx= 8
(IV) . 2cosx= 3
Hỏi có bao nhiêu phương trình có nghiệm.
A. 1
B.2
C. 3
D.4
Lời giải:
+ Các phương trình trên là các phương trình bậc nhất đối với sinx; cosx và có dạng:
a. sinx+ b. cosx = c
Điều kiện để phương trình trên có nghiệm là: a2 + b2 ≥ c2
+ Ta xét các phương án : (I). 10sinx- cos x= 2
(I). 10sinx – cosx= 2 có a= 10; b= -1 và c = 2
⇒ a2 + b2 ≥ c2 ( 101 ≥ 4)
⇒ (I) là phương trình có nghiệm.
(II). – 3sinx = 2 có a= - 3; b = 0 và c= 2
⇒ a2 + b2 > c2 ( 9 > 4)
⇒ (II) là phương trình có nghiệm
(III). 2sinx – 6cosx= 8 có a= 2; b= - 6 và c= 8
⇒ a2 + b2 < c2 ( 40 < 64)
⇒ (III) là phương trình vô nghiệm
(IV) . 2cosx= 3 có a= 0; b= 2 và c= 3
⇒ a2 + b2 < c2 ( 4 < 9)
⇒ (IV) vô nghiệm
Vậy có 2 phương trình có nghiệm.
Chọn B.
Câu 4:Cho các phương trình sau:
(1).- sinx + 2√3 cosx= √15
(2). √5sin2x + 3cos2x = - 5
(3).√15 cosx= 4
(4). -2√2 sinx= 1
Hỏi có bao nhiêu phương trình vô nghiệm?
A. 0
B.2
C. 1
D.3
Lời giải:
Các phương trình trên đều có dạng: a.sinx+ b. cosx= c( với a ≠ 0 hoặc b ≠ 0)
Điều kiện để các phương trình bậc nhất đối với sinx và cos x có nghiệm là:
a2 + b2 ≥ c2
⇒ Điều kiện để các phương trình bậc nhất đối với sinx và cosx vô nghiệm là:
a2+ b2 < c2
+ Ta xét các phương trình
(1): -sinx + 2√3cosx= √15 có a= -1 ; b= 2√3 và c= √15
⇒ a2 + b2 < c2 (13 < 15)
⇒ Phương trình này vô nghiệm
(2). √5sin2x + 3cos2x = -5 có a= √5;b=3;c=-5
⇒ a2 + b2 < c2 ( vì 14 < 25)
⇒ phương trình (2) vô nghiệm.
(3). √15 cosx= 4 có a= 0; b= √15 và c= 4
⇒ a2 + b2 < c2 ( vì 15 < 16)
⇒ Phương trình (3) vô nghiệm
(4). - 2√2 sinx= 1 có a= -2√2; b=0 và c = 1
⇒ a2 + b2 > c2 ( vì 8 > 1)
⇒ Phương trình (4) có nghiệm
Vậy có ba phương trình (1),(2) và (3) vô nghiệm
Chọn D.
Câu 5:Phương trình nào sau đây vô nghiệm
A. - 4sinx + 4 cosx = 4
B. – sinx + 10cosx= 11
C. -100sinx= 50
D. 48cosx+ 1=0
Lời giải:
Xét phương án B: có a= -1; b= 10 và c= 11
⇒ a2 + b2 < c2 (101 < 121)
⇒ Phương trình này vô nghiệm.
Chọn B.
Câu 6:Phương trình nào sau đây vô nghiệm:
A. √2 sinx-√2 cosx=2.
B.√19 sin3x- 9cos3x=9.
C. cos(x-π/3)= 3π
D. cos( x-100) + 2sin(x-100) = 1
Lời giải:
+Các phương trình ở đáp án A, B, D đều có dạng A. Sinax+ B.cosax = C và A2 + B2 ≥ C2 nên các phương trình này đều có nghiệm.
+Phương trình ở đáp án C có dạng cos(x+a)= m với m= 3.π > 1 nên phương trình này vô nghiệm.
Chọn C.
Câu 7:Cho phương trình 2sinx+m.cosx= 3. Tìm điều kiện của m để phương trình trên có nghiệm?
A.
B.
C. -√3 ≤ m ≤ √3
D. -√5 ≤ m ≤ √5
Lời giải:
Phương trình: 2.sinx+m. cosx=3 có nghiệm khi và chỉ khi:
22+ m2 ≥ 32
m2 + 4 ≥ 9 ⇒ m2 ≥ 5
Chọn B.
Câu 8:Cho phương trình: 2m.sinx+ (m+ 1).cosx = 2√2. Tìm điều kiện của m để phương trình có nghiệm?
A.
B. m ≤ 2;m ≥ 3
C.
D. 2 ≤ m ≤ 3
Lời giải:
Phương trình: 2m.sinx + (m+1).cosx= 2√2 có nghiệm khi và chỉ khi:
⇒ 4m2+ (m+1)2 ≥ (2√2)2
⇒ 4m2+m2 +2m+1 ≥ 8 ⇒ 5m2 +2m -7 ≥ 0
Chọn C.
Câu 9:Câu 9. Cho phương trình sinx- 3mcosx= 3m. Tìm điều kiện của m để phương trình trên vô nghiệm.
A.
B.
C. – 2 < m < 1
D. Đáp án khác
Lời giải:
Phương trình: sinx – 3m.cosx = 3m vô nghiệm khi và chỉ khi:
12 +(-3m)2 < (3m)2
⇒ 1+ 9m2 < 9m2
⇒ 1 < 0 vô lí
⇒ Với mọi m phương trình đã cho luôn có nghiệm.
Chọn D
Câu 10:Câu 10. Cho phương trình: 2sinx+ (2-m) cosx= m. Tìm điều kiện của m để phương trình đã cho vô nghiệm
A. m < 2
B. m > 2
C. m > 1
D. 1 < m < 2
Lời giải:
Để phương trình: 2. sinx+ (2-m)cosx= m vô nghiệm thì:
22 +(2-m)2 < m2
⇒ 4+ 4- 4m+ m2 < m2
⇒ 8 -4m < 0 ⇒ m > 2.
Chọn B .
Câu 11:Cho phương trình: 2m.sin2x – (m2 + 2).cos2 x+ 1= 0. Để phương trình có nghiệm thì giá trị thích hợp của tham số m là
A. m > 1 hoặc m < -2
B.- 2 ≤ m
C.- 1 ≤ m ≤ 2
D.
Lời giải:
Ta có: 2m.sin2x - (m2 +2).cos2x + 1= 0
⇒ 4m. sinx - (m2 +2)cos 2x + m2 +2+ 2=0
⇒ 4m. sinx – (m2 +2).cos2x + m2 + 4= 0
Phương trình trên là phương trình bậc nhất đối với sinx và cosx. Do đó; điều kiện để phương trình có nghiệm là :
16m2 +(m2 +2)2 ≥ (m2 +4)2
⇒ 16m2 + m4 + 4m2 + 4 ≥ m4 + 8m2 + 16
⇒ 12m2 ≥ 12 hay m2 ≥ 1
Câu 12:Tìm m để phương trình: sinx .cosx+ cos2 x=m có nghiệm là
A.
B.
C.
D. Đáp án khác
Lời giải:
Ta có: sinx. cosx+ cos2 x= m
⇒ sin2x + 1+ cos2x = 2m
⇒ sin 2x+ cos2x= 2m -1
Điều kiện để phương trình trên có nghiệm là :
12 + 12 ≥ (2m-1)2
⇒ 2 ≥ 4m2-4m+1
⇒ 4m2 – 4m- 1 ≤ 0
Chọn A.
D. Bài tập tự luyện
Bài 1. Tìm m để phương trình 2sinx + mcosx = 1 – m có nghiệm x .
Bài 2. Có bao nhiêu giá trị nguyên của tham số m để phương trình sinx + (m – 1)cosx = 2m – 1 có nghiệm.
Bài 3. Giải các phương trình sau:
a) 3sinx + 4cosx = 5;
b) 2sin2x – 2cos2x = .
Bài 4. Giải các phương trình sau:
a) sin8x – sin7x = cos8x – cos7x;
b) 2cos2x – cosx + sinx = 0;
c) sin22x + sin4x – 2cos22x = .
Bài 5. Tìm điều kiện tham số m để phương trình sinx + cosx = m – 1 thỏa mãn:
a) Có nghiệm;
b) Vô nghiệm.
(199k) Xem Khóa học Toán 11 KNTTXem Khóa học Toán 11 CDXem Khóa học Toán 11 CTST
Xem thêm các dạng bài tập Toán lớp 11 có trong đề thi THPT Quốc gia khác:
- Tìm điều kiện của tham số m để phương trình lượng giác có nghiệm
- Giải phương trình bậc nhất đối với sinx và cosx
- Phương trình quy về phương trình bậc nhất đối với sinx và cosx
- Phương trình thuần nhất bậc 2 đối với sinx và cosx
- Phương trình đối xứng, phản đối xứng đối với sinx và cosx
- Phương trình lượng giác đưa về dạng tích
- Phương trình lượng giác không mẫu mực
- Tìm số nghiệm của phương trình lượng giác trong khoảng, đoạn
Tủ sách VIETJACK shopee lớp 10-11 (cả 3 bộ sách):
Đã có app VietJack trên điện thoại, giải bài tập SGK, SBT Soạn văn, Văn mẫu, Thi online, Bài giảng....miễn phí. Tải ngay ứng dụng trên Android và iOS.
Theo dõi chúng tôi miễn phí trên mạng xã hội facebook và youtube:Nếu thấy hay, hãy động viên và chia sẻ nhé! Các bình luận không phù hợp với nội quy bình luận trang web sẽ bị cấm bình luận vĩnh viễn.
- Giải Tiếng Anh 11 Global Success
- Giải sgk Tiếng Anh 11 Smart World
- Giải sgk Tiếng Anh 11 Friends Global
- Lớp 11 - Kết nối tri thức
- Soạn văn 11 (hay nhất) - KNTT
- Soạn văn 11 (ngắn nhất) - KNTT
- Giải sgk Toán 11 - KNTT
- Giải sgk Vật Lí 11 - KNTT
- Giải sgk Hóa học 11 - KNTT
- Giải sgk Sinh học 11 - KNTT
- Giải sgk Lịch Sử 11 - KNTT
- Giải sgk Địa Lí 11 - KNTT
- Giải sgk Giáo dục KTPL 11 - KNTT
- Giải sgk Tin học 11 - KNTT
- Giải sgk Công nghệ 11 - KNTT
- Giải sgk Hoạt động trải nghiệm 11 - KNTT
- Giải sgk Giáo dục quốc phòng 11 - KNTT
- Giải sgk Âm nhạc 11 - KNTT
- Lớp 11 - Chân trời sáng tạo
- Soạn văn 11 (hay nhất) - CTST
- Soạn văn 11 (ngắn nhất) - CTST
- Giải sgk Toán 11 - CTST
- Giải sgk Vật Lí 11 - CTST
- Giải sgk Hóa học 11 - CTST
- Giải sgk Sinh học 11 - CTST
- Giải sgk Lịch Sử 11 - CTST
- Giải sgk Địa Lí 11 - CTST
- Giải sgk Giáo dục KTPL 11 - CTST
- Giải sgk Hoạt động trải nghiệm 11 - CTST
- Giải sgk Âm nhạc 11 - CTST
- Lớp 11 - Cánh diều
- Soạn văn 11 Cánh diều (hay nhất)
- Soạn văn 11 Cánh diều (ngắn nhất)
- Giải sgk Toán 11 - Cánh diều
- Giải sgk Vật Lí 11 - Cánh diều
- Giải sgk Hóa học 11 - Cánh diều
- Giải sgk Sinh học 11 - Cánh diều
- Giải sgk Lịch Sử 11 - Cánh diều
- Giải sgk Địa Lí 11 - Cánh diều
- Giải sgk Giáo dục KTPL 11 - Cánh diều
- Giải sgk Tin học 11 - Cánh diều
- Giải sgk Công nghệ 11 - Cánh diều
- Giải sgk Hoạt động trải nghiệm 11 - Cánh diều
- Giải sgk Giáo dục quốc phòng 11 - Cánh diều
- Giải sgk Âm nhạc 11 - Cánh diều


Giải bài tập SGK & SBT
Tài liệu giáo viên
Sách
Khóa học
Thi online
Hỏi đáp

