Phương trình thuần nhất bậc 2 đối với sinx và cosx
Bài viết Phương trình thuần nhất bậc 2 đối với sinx và cosx với phương pháp giải chi tiết giúp học sinh ôn tập, biết cách làm bài tập Phương trình thuần nhất bậc 2 đối với sinx và cosx.
Phương trình thuần nhất bậc 2 đối với sinx và cosx
(199k) Xem Khóa học Toán 11 KNTTXem Khóa học Toán 11 CDXem Khóa học Toán 11 CTST
A. Phương pháp giải
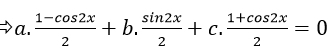
+ Phương trình thuần nhất bậc hai đối với sinx và cosx là phương trình có dạng:
a.sin2 x+ b. sinx. cosx + c. cos2 x= 0 (1)
trong đó a; b và c là các số đã cho với a ≠ 0 hoặc b ≠ 0 hoặc c ≠ 0
+Có hai cách để giải phương trình thuần nhất bậc hai đối với sinx và cosx :
* Cách 1.
Bước 1: Kiểm tra cosx = 0 có nghiệm của phương trình.
Chú ý: cosx=0 ⇒ sin2 x= 1
Bước 2. Nếu cosx ≠ 0 chia cả hai vế của phương trình cho cos2x. Khi đó phương trình đã cho có dạng: a. tan2 x+ b. tanx+ c= 0
Đây là phương trình bậc hai ẩn tanx. Giải phương trình ta tính được tanx
⇒ x= ....
Chú ý:
* Cách 2.Áp dụng công thức hạ bậc; công thức nhân đôi ta có:
a. sin2 x+ b. sinx. cosx+ c.cos2 x= 0
⇒ b.sin2x+( c-a) cos2x = - a- c
Đây là phương trình bậc nhất đối với sinx và cosx
B. Ví dụ minh họa
Ví dụ 1. Giải phương trình:
A.
B.
C.
D. Vô nghiệm
Lời giải
+ Trường hợp 1.
Thay cosx = 0 vào phương trình đã cho ta thấy không thỏa mãn.
+ Trường hợp 2. Với cosx ≠ 0
Phương trình này vô nghiệm
⇒ Phương trình đã cho vô nghiệm.
Chọn D.
Ví dụ 2: Phương trình có các nghiệm là:
A.
B.
C.
D.
Lời giải
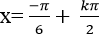
Trường hợp 1. Với cosx=0 ⇒ sin2x = 1 thay vào phương trình đã cho ta được :
6.1+0 – 0= 6 (luôn đúng )
⇒ phương trình có nghiệm x= π/2+kπ
Trường hợp 2. Nếu cos x ≠ 0 chia cả hai vế cho cos2x ta được
Chọn A
Ví dụ 3. Cho phương trình 2sin2 x – 5sinx. cosx +3cos2 x= 0. Tìm một họ nghiệm của phương trình:
A.
B.
C.
D.
Lời giải
+ Trường hợp 1. Nếu cosx=0 ⇒ sin2 x= 1 thay vào phương trình đã cho ta thấy không thỏa mãn.
+ Trường hợp 2. Nếu cosx ≠ 0. Chia cả hai vế của phương trình cho cos2 x ta được:
2tan2 x – 5tanx + 3= 0
Chọn C
Ví dụ 4. Giải phương trình 4sin2 x+4sinx. cosx+ cos2x= 0 .
A.
B.x= arctan(-2)+kπ
C.
D.x= arctan2+kπ
Lời giải
+ Trường hợp 1.Nếu cosx= 0 ⇒ sin2 x= 1 thay vào phương trình đã cho ta thấy không thỏa mãn.
+Trường hợp 2. Nếu cosx ≠ 0. Chia cả hai vế phương trình cho cos2 x ta được :
4tan2 x + 4tanx +1= 0 ⇒ (2tanx+1)2= 0
⇒ 2tanx+1 = 0 ⇒ tan x= (-1)/2
⇒ x= arctan(- 1)/2+kπ
Chọn C.
Ví dụ 5. Phương trình có các nghiệm là:
A .
B.
C.
D. Tất cả sai
Lời giải
+ Trường hợp 1: Nếu cosx= 0 ⇒ sin2x = 1 thay vào phương trình đã cho ta thấy không thỏa mãn
+ trường hợp 2: Nếu cosx ≠ 0 ta chia cả hai vế của phương trình cho cos2 x ta được:
Chọn A.
Ví dụ 6: Giải phương trình - 3sin2x – 2sinx.cosx + 4cos2 x= - 3
A.
B .
C.
D.
Lời giải
+ Trường hợp 1. Nếu cosx= 0 ⇒ sin2 x= 1 thay vào phương trình đã cho ta thấy không thỏa mãn.
+ Trường hợp 2. Nếu cosx ≠ 0. Chia hai vế phương trình cho cos2 x ta được:
- 3tan2 x -2tanx + 4= (- 3)/(cos2 x)
⇒ - 3tan2 x – 2tanx + 4= - 3( 1+ tan2 x)
⇒ - 2tanx = -7 ⇒ tanx= 7/2
⇒ x=arctan 7/2+kπ
Chọn A.
Ví dụ 7: Phương trình 2sin2 x+ sinx.cosx – cos2 x= 0 có nghiệm là:
A.
B.
C.
D.
Lời giải
+ Trường hợp 1. Nếu cosx= 0 ⇒ sin2 x=1 thay vào phương trình ta thấy không thỏa mãn.
+ Trường hợp 2. Nếu cosx ≠ 0; chia cả hai vế của phương trình cho cos2 x ta được:
2tan2 x+ tanx – 1= 0
Chọn C.
Ví dụ 8: Một họ nghiệm của phương trình: 2sin2x - 5sinx.cosx–cos2 x= - 2 là
A. x=
B. x=
C. x=
D. x=
Lời giải
+ Trường hợp 1: Nếu cosx= 0 ⇒ sin2 x= 1 thay vào phương trình đã cho ta thấy không thỏa mãn.
+ trường hợp 2. Nếu cosx ≠ 0 chia cả hai vế cho cos2 x ta được :
2 tan2x – 5 tanx - 1= (- 2)/(cos2 x)
⇒ 2tan2 x – 5tanx – 1= - 2( 1+ tan2x)
⇒ 2tan2x – 5tanx -1= - 2 – 2tan2 x
⇒ 4tan2 x – 5tanx + 1= 0
Chọn B.
Ví dụ 9. Cho phương trình : 2sin2 x- 4sinx.cosx+4 cos2x= m. Tìm điều kiện của m để phương trình đã cho có nghiệm
A. 1 < m hoặc m < - 1
B.m > √3 hoặc m < - √5
C. 2- √5 ≤ m ≤ 2+ √5
D.Đáp án khác
Lời giải
Áp dụng công thức hạ bậc và công thức nhân đôi ta có:
2sin2 x- 4sinx.cosx+ 4cos2 x=m
⇒ (1-cos2x)-2sin2x+2cos2x+1 = m
⇒ cos2x – 2sin2x = m- 2
Đây là phương trình bậc nhất đối với sin2x và cos2x nên điều kiện để phương trình có nghiệm là: 12 + (-2)2 ≥ (m-2)2
⇒ 5 ≥ m2 - 4m+ 4 ⇒ m2 – 4m - 1 ≤ 0
⇒ 2- √5 ≤ m ≤ 2+ √5
Chọn C.
Ví dụ 10: Giải phương trình 4sin3 x+ 3cos3x- 3sinx – sin2x.cosx= 0
A.
B.
C.
D. Đáp án khác
Lời giải
+ Trường hợp 1. Nếu cosx= 0 ⇒ sin2 x= 1 thay vào phương trình đã cho ta thấy không thỏa mãn.
+ Trường hợp 2.Nếu cosx ≠ 0. Chia cả hai vế cho cos3 x ta được:
⇒ 4.tan3 x+ 3- 3tanx.(1+ tan2 x) – tan2x = 0
⇒ 4.tan3 x + 3- 3tanx – 3tan3x – tan2 x = 0
⇒ tan3 x – tan2 x -3tanx + 3= 0
Chọn B.
Ví dụ 11: Giải phương trình 2cos3x = sin3x
A.
B.
C.
D.
Lời giải
Ta có: 2cos3x = sin3x
⇒ 2cos3 x= 3sinx- 4sin3x
Ta thấy cosx=0 không là nghiệm của phương trình đã cho.Chia cả hai vế phương trình cho cos3 x ta được:
⇒ 2= 3. tanx( 1+ tan2 x) – 4tan3 x
⇒ 2= 3tanx + 3tan3x – 4tan3x
⇒ tan3x – 3tanx + 2= 0
Chọn C.
Ví dụ 12: Giải phương trình
A.
B.
C.
D. Đáp án khác
Lời giải
Chọn A.
C. Bài tập vận dụng
Câu 1:Giải phương trình 4sin2x+ 5sinx. cosx – 9cos2 x= 0
A.
B.
C.
D.
Lời giải:
+ Trường hợp 1. Nếu cos x = 0 ⇒ sin2 x= 1
Thay vào phương trình đã cho ta thấy không thỏa mãn
+ Trường hợp 2. Nếu cosx ≠ 0.
Chia cả hai vế cho cos2 x ta được:
4tan2 x + 5tanx – 9=0
Chọn A.
Câu 2:Giải phương trình – sin2 x – 2sin2x- 4cos2 x = 0
A. x = arctan (-3)+ kπ
B. x = arctan 3+ kπ
C. x = arctan 2+ kπ
D. x = arctan (-2)+ kπ
Lời giải:
+ Trường hợp 1. Nếu cosx = 0 ⇒ sin2 x= 1
Thay vào phương trình đã cho ta thây không thỏa mãn.
+ Trường hợp 2. Nếu cosx ≠ 0.
Ta có: - sin2 x – 2sin2x – 4cos2 x = 0
⇒ -sin2 x – 4sinx. cosx – 4cos2 x= 0
Chia cả hai vế của phương trình cho cos2 x ta được :
- tan2 x – 4tanx – 4= 0
⇒ - (tanx + 2)2 = 0
⇒ tanx +2= 0 ⇒ tanx = - 2
⇒ x = arctan (-2)+ kπ
Chọn D
Câu 3:Giải phương trình
A.
B.
C.
D.
Lời giải:
Áp dụng công thức hạ bậc và công thức nhân đôi ta có:
Chọn C.
Câu 4:Một họ nghiệm của phương trình: sin2 x – 3sinx. cosx = 2 là
A.
B.
C.
D.Đáp án khác
Lời giải:
+ Trường hợp 1. Nếu cosx= 0 ⇒ sin2x= 1 thay vào phương trình đã cho thấy không thỏa mãn.
+ Trường hợp 2. Nếu cosx ≠ 0; chia cả hai vế phương trình cho cos2 x ta được :
tan2 x – 3tanx = 2/(cos2 x)
⇒ tan2 x -3tanx= 2( 1+tan2 x)
⇒ tan2 x – 3tanx = 2+ 2 tan2 x
⇒ - tan2 x – 3tanx – 2 = 0
Chọn C.
Câu 5:Giải phương trình 3sin2 x – 4sinx.cosx + 5cos2 x = 2.
A.
B.
C.
D.
Lời giải:
+ trường hợp 1.Nếu cosx=0 ⇒ sin2x= 1 thay vào phương trình đã cho ta thấy không thỏa mãn.
+ Trường hợp 2. Nếu cosx ≠ 0.
Chia cả hai vế của phương trình cho cos2 x ta được :
3tan2 x – 4tan x+ 5= 2/(cos2 x)
⇒ 3. tan2 x – 4tanx + 5= 2( 1+ tan2 x)
⇒ tan2 x - 4tanx + 3= 0
Chọn A
Câu 6:Phương trình : có nghiệm là
A.
B.
C.
D.
Lời giải:
+ Trương hợp 1.
Nếu cosx = 0 ⇒ sin2 x= 1
Thay vào phương trình đã cho ta thấy không thỏa mãn.
+ Trường hợp 2.
Nếu cosx ≠ 0. Chia cả hai vế phương trình cho cos2x ta được :
Chọn B.
Câu 7:Phương trình có nghiệm là
A.
B.
C.
D.
Lời giải:
+ Trường hợp 1. Nếu cos2x = 0 ⇒ sin2 2x= 1
Thay vào phương trình đã cho ta thấy không thỏa mãn.
+ Trường hợp 2.Nếu cos2x ≠ 0. Chia cả hai vế phương trình cho cos2 2x ta được :
Chọn D
Câu 8:Phương trình có một họ nghiệm là
A.
B.
C.
D.
Lời giải:
+ Trường hợp 1. Nếu cosx = 0 ⇒ sin2 x= 1
Thay vào phương trình đã cho ta thấy thỏa mãn.
⇒ x= π/2+kπ là nghiệm của phương trình đã cho
+ Trường hợp 2. Nếu cosx ≠ 0
Chọn D.
Câu 9:Giải phương trình sin2x + 3tanx = cosx.( 4sinx – cosx)
A.
B.
C.
D. Đáp án khác
Lời giải:
Điều kiện : cosx ≠ 0
Ta có: sin2 x+ 3tanx =cosx. (4sinx-cosx)
⇒ sin2 x+ 3tanx= 4sinx. cosx- cos2x
Chia cả hai vế cho cos2 x ta được :
⇒ tan2 x+ 3tanx (1+ tan2 x)- 4tanx + 1= 0
⇒ tan2 x + 3tanx + 3tan3 x – 4tanx + 1 = 0
⇒ 3tan3 x + tan2 x – tanx +1= 0
⇒ tanx= - 1
⇒ x= (- π)/4+kπ
Chọn A.
Câu 10:Giải phương trình: sin2 x. ( tanx+ 1) = 3sinx.(cosx – sinx) + 3
A.
B.
C.
D. Đáp án khác
Lời giải:
Điều kiện: cosx ≠ 0 .
Ta có: sin2 x. (tanx+ 1) = 3sinx.( cosx- sinx) + 3
⇒ sin2 x. (tanx+ 1) = 3sinx. cosx – 3sin2 x+ 3
⇒ sin2 x.(tanx+ 1) = 3sinx.cosx + 3cos2 x ( vì 3-3sin2 x= 3cos2 x)
Chia cả hai vế phương trình cho cos2 x ≠ 0 ta được :
tan2x. ( tanx+ 1) = 3tanx + 3
⇒ tan2 x. ( tanx+ 1) – (3tanx+ 3)= 0
⇒ tan2 x. (tanx +1)- 3( tanx+ 1) = 0
⇒ (tan2 x- 3)( tanx+ 1) = 0
Chọn B.
D. Bài tập tự luyện
Bài 1. Giải phương trình: sin2x + 2sinx.cosx + 3cos2x – 3 = 0.
Bài 2. Cho phương trình: cos2x – sinx.cosx – 2sin2x – m = 0 (*).
a) Giải (*) khi m = 1.
b) Giải và biện luận theo m.
Bài 3. Giải phương trình: 2sin22x - sin2x.cos2x – 4cos22x = 2.
Bài 4. Giải phương trình: sin2x – 2sin2x = 2cos2x.
Bài 5. Giải phương trình: 2sin2x + sinx.cosx – cos2x = 4.
(199k) Xem Khóa học Toán 11 KNTTXem Khóa học Toán 11 CDXem Khóa học Toán 11 CTST
Xem thêm các dạng bài tập Toán lớp 11 có trong đề thi THPT Quốc gia khác:
- Tìm điều kiện của tham số m để phương trình lượng giác có nghiệm
- Điều kiện để phương trình bậc nhất đối với sinx và cosx có nghiệm
- Giải phương trình bậc nhất đối với sinx và cosx
- Phương trình quy về phương trình bậc nhất đối với sinx và cosx
- Phương trình đối xứng, phản đối xứng đối với sinx và cosx
- Phương trình lượng giác đưa về dạng tích
- Phương trình lượng giác không mẫu mực
- Tìm số nghiệm của phương trình lượng giác trong khoảng, đoạn
Tủ sách VIETJACK shopee lớp 10-11 (cả 3 bộ sách):
Đã có app VietJack trên điện thoại, giải bài tập SGK, SBT Soạn văn, Văn mẫu, Thi online, Bài giảng....miễn phí. Tải ngay ứng dụng trên Android và iOS.
Theo dõi chúng tôi miễn phí trên mạng xã hội facebook và youtube:Nếu thấy hay, hãy động viên và chia sẻ nhé! Các bình luận không phù hợp với nội quy bình luận trang web sẽ bị cấm bình luận vĩnh viễn.
- Giải Tiếng Anh 11 Global Success
- Giải sgk Tiếng Anh 11 Smart World
- Giải sgk Tiếng Anh 11 Friends Global
- Lớp 11 - Kết nối tri thức
- Soạn văn 11 (hay nhất) - KNTT
- Soạn văn 11 (ngắn nhất) - KNTT
- Giải sgk Toán 11 - KNTT
- Giải sgk Vật Lí 11 - KNTT
- Giải sgk Hóa học 11 - KNTT
- Giải sgk Sinh học 11 - KNTT
- Giải sgk Lịch Sử 11 - KNTT
- Giải sgk Địa Lí 11 - KNTT
- Giải sgk Giáo dục KTPL 11 - KNTT
- Giải sgk Tin học 11 - KNTT
- Giải sgk Công nghệ 11 - KNTT
- Giải sgk Hoạt động trải nghiệm 11 - KNTT
- Giải sgk Giáo dục quốc phòng 11 - KNTT
- Giải sgk Âm nhạc 11 - KNTT
- Lớp 11 - Chân trời sáng tạo
- Soạn văn 11 (hay nhất) - CTST
- Soạn văn 11 (ngắn nhất) - CTST
- Giải sgk Toán 11 - CTST
- Giải sgk Vật Lí 11 - CTST
- Giải sgk Hóa học 11 - CTST
- Giải sgk Sinh học 11 - CTST
- Giải sgk Lịch Sử 11 - CTST
- Giải sgk Địa Lí 11 - CTST
- Giải sgk Giáo dục KTPL 11 - CTST
- Giải sgk Hoạt động trải nghiệm 11 - CTST
- Giải sgk Âm nhạc 11 - CTST
- Lớp 11 - Cánh diều
- Soạn văn 11 Cánh diều (hay nhất)
- Soạn văn 11 Cánh diều (ngắn nhất)
- Giải sgk Toán 11 - Cánh diều
- Giải sgk Vật Lí 11 - Cánh diều
- Giải sgk Hóa học 11 - Cánh diều
- Giải sgk Sinh học 11 - Cánh diều
- Giải sgk Lịch Sử 11 - Cánh diều
- Giải sgk Địa Lí 11 - Cánh diều
- Giải sgk Giáo dục KTPL 11 - Cánh diều
- Giải sgk Tin học 11 - Cánh diều
- Giải sgk Công nghệ 11 - Cánh diều
- Giải sgk Hoạt động trải nghiệm 11 - Cánh diều
- Giải sgk Giáo dục quốc phòng 11 - Cánh diều
- Giải sgk Âm nhạc 11 - Cánh diều


Giải bài tập SGK & SBT
Tài liệu giáo viên
Sách
Khóa học
Thi online
Hỏi đáp

