Cách giải phương trình lượng giác bằng cách đưa về dạng tích cực hay
Bài viết Cách giải phương trình lượng giác bằng cách đưa về dạng tích với phương pháp giải chi tiết giúp học sinh ôn tập, biết cách làm bài tập Cách giải phương trình lượng giác bằng cách đưa về dạng tích.
Cách giải phương trình lượng giác bằng cách đưa về dạng tích cực hay
(199k) Xem Khóa học Toán 11 KNTTXem Khóa học Toán 11 CDXem Khóa học Toán 11 CTST
A. Phương pháp giải
+ Để đưa một phương trình lượng giác về dạng tích ta cần sử dụng linh hoạt các công thức lượng giác: Công thức cộng; công thức nhân đôi; công thức hạ bậc; công thức biến đổi tổng thành tích; tích thành tổng...
+ Sau khi đưa được phương trình về dạng tích: A.B=0
Giải từng phương trình A = 0; B= 0
B. Ví dụ minh họa
Ví dụ 1: Giải phương trình 1+ cosx + cos2 x+ cos3x – sin2 x=0
A.
B.
C.
D.
Lời giải
Ta có: 1+ cosx + cos2 x+ cos3x – sin2 x=0
⇒ ( 1- sin2 x)+ cos2 x+ ( cosx+ cos3x )=0
⇒ cos2 x+ cos2 x + 2.cos 2x.cos x= 0
⇒ 2cos2 x + 2cos2x.cosx=0
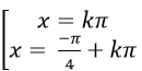
⇒ 2cosx . (cosx + cos2x) = 0
Chọn B
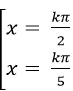
Ví dụ 2: Phương trình sin3x – 4sinx. cos2x = 0 có các nghiệm là:
A.x=k2π
B.x= π/2+kπ
C.x=kπ
D. x= π/2+k2π
Lời giải
Ta có: sin 3x- 4sinx. cos2x = 0
⇒ sin3x- 2[ sin3x + sin( -x)]=0
⇒ sin3x- 2sin3x + 2sinx=0 ( vì sin(-x)= - sinx)
⇒ 2sinx= -sin3x
⇒ 2sinx= 4sin3 x- 3sinx
⇒ 2sinx – 4sin3 x+ 3sinx= 0
⇒ 5sinx – 4sin3 x= 0
⇒ sinx ( 5- 4sin2 x) = 0
Vậy nghiệm của phương trình đã cho là: x=kπ
Chọn C.
Ví dụ 3. Giải phương trình: ( -sinx + cosx) ( 1+ sinx) = cos2 x
A.
B.
C.
D.
Lời giải
Ta có: (- sinx + cosx) . (1+ sinx)= cos2x
⇒ ( - sinx + cosx). ( 1+sinx)- cos2 x = 0
⇒ ( -sinx + cosx). (1+ sinx) – (1- sin2 x) = 0
⇒ ( - sinx + cosx). ( 1+sinx) – (1- sinx).( 1+ sinx) = 0
⇒ (1+ sinx).( - sinx + cosx – 1 + sinx) = 0
⇒ ( 1+ sinx).( cosx- 1) = 0
Chọn D.
Ví dụ 4. Giải phương trình: 2+ sin2x – 2cos2 x= 0
A.
B.
C.
D.
Lời giải
Ta có: 2 + sin2x – 2cos2 x = 0
⇒ sin 2x + ( 2-2cos2 x) = 0
⇒ 2sinx.cosx + 2sin2 x= 0
⇒ 2sinx ( cosx + sinx) = 0
Chọn A
Ví dụ 5: Giải phương trình:cos2 4x + sin22x= 1
A.
B.
C. Cả A và B đúng
D. Đáp án khác
Lời giải
Ta có: cos2 4x + sin2 2x= 1
⇒ cos24x + sin2 2x- 1=0
⇒ cos2 4x- cos2 2 x=0
⇒ (cos 4x- cos2x).( cos4x+ cos2x) = 0
Chọn C.
Ví dụ 6: Phương trình 4cosx – 2cos 2x – cos4x= 1 có các nghiệm là:
A.
B.
C.
D.
Lời giải
Ta có: 4cosx- 2cos2x – cos4x = 1
⇒ 4cosx – 2cos 2x – ( 2cos22x – 1) – 1= 0
⇒ 4cosx – 2cos2x - 2cos2 2x =0
⇒ 4cos x- 2cos2x( 1+ cos2x) = 0
⇒ 4cosx- 2cos2x .2cos2 x = 0
⇒ 4cosx. (1 – cos 2x. cosx) = 0
⇒ 4cosx. [ 1- ( 2cos2 x-1) . cos x]= 0
⇒ 4cos x. [1- 2cos3 x + cosx] = 0
Chọn A .
Ví dụ 7: Phương trình cosx - 1+ 2sinx – sin2x= 0 có nghiệm là:
A.
B.
C.
D.
Lời giải
Ta có: cosx- 1 + 2sinx – sin2x= 0
⇒ ( cosx- sin2x) + ( 2sinx- 1) = 0
⇒ (cosx – 2. sinx. cosx) + ( 2sinx- 1) = 0
⇒ cosx(1 - 2sinx) – ( 1 - 2sinx)= 0
⇒ ( cosx- 1) . ( 1-2sinx)= 0
Chọn C.
Ví dụ 8: Giải phương trình: sin3x – 1= 2sinx.cos2x – cos2x
A.
B.
C.
D. Đáp án khác
Lời giải
Ta có: sin3x- 1= 2sinx. cos2x- cos2x
⇒ sin 3x- 1= sin3x + sin( -x) – cos2 x
⇒ sin 3x- 1 = sin3x – sin x – cos 2x
⇒ (sin3x- sin3x) + (cos2x – 1) + sinx = 0
⇒ - 2sin2x + sin x = 0
⇒ sinx(- 2sinx + 1) = 0
Chọn B.
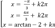
Ví dụ 9. Giải phương trình : cot2x + 3tan 3x = 2tan2x
A. x= π/4+kπ
B. x=kπ
C.x= π/2+kπ
D. Vô nghiệm
Lời giải
Điều kiện:
Ta có; cot2x + 3tan3 x = 2tan2x
⇒ (cot2x + tan 3x) +(2tan3x- 2tan2x)= 0
⇒ cosx. cos2x + 2sinx. sin2x=0
⇒ ( cosx.cos2x + sinx.sin2x) + sinx. sin2x = 0
⇒ cosx+ sinx. 2sinx.cosx= 0
⇒ cosx. (1+ 2sin2 x) = 0
⇒ cosx=0 ( vì 1+ 2sin2 x > 0 với mọi x)
⇒ x= π/2+kπ
Kết hợp với điều kiện suy ra phương trình đã cho vô nghiệm
Chọn D.
Ví dụ 10. Giải phương trình: 4cos5x.sinx – 4sin5 x.cosx = cos22x
A .
B.
C.
D. Đáp án khác
Lời giải
Ta có: 4cos5x.sinx – 4sin5 x.cosx = cos22x
⇒ 4cosx.sinx .( cos4 x- sin4 x) = cos2 2x
⇒ 4.cosx.sinx. ( cos2 x –sin2 x) .( cos2 x+ sin2 x) – cos2 2x = 0
⇒ 2sin2x. cos2x. 1 – cos2 2x= 0
⇒ cos2x ( 2sin2x – cos2x) = 0
Chọn B
Ví dụ 11. Tìm nghiệm dương nhỏ nhất của phương trình: cos4x – cos2x+ 2sin6 x=0
A. x= π/2 B.x= π C. x= π/3 D.x= π/4
Lời giải
Ta có: cos4x – cos2x+ 2sin6 x=0
⇒ (1- sin2 x)2 – (1- 2sin2 x) + 2sin6 x = 0
⇒ 1 – 2sin2 x+ sin4 x – 1 +2sin2x + 2sin6 x=0
⇒ sin4 x + 2sin6 x= 0
⇒ sin4 x. ( 1+ 2sin2 x) = 0
⇒ sin4 x= 0 ( vì 1+ 2sin2 x > 0 với mọi x)
⇒ sinx=0 ⇒ x=kπ
⇒ Nghiệm dương nhỏ nhất của phương trình là x= π ( khi đó k = 1)
Chọn B
Ví dụ 12. Tìm nghiệm dương nhỏ nhất của phương trình: cos2x + cos22x+ cos23x = 1
A. x= π/3 B. x= π/4 C. x= π/6 D. x= π/2
Lời giải
Ta có: cos2x+ cos22x+ cos23x= 1
⇒ 1+cos2x+ 1+ cos4x+ 1+ cos 6x= 2
⇒ ( cos 2x+ cos 6x)+ cos4x + 1 = 0
⇒ 2cos4x. cos2x + 2cos2 2x= 0
⇒ 2cos 2x. ( cos 4x+ cos2x)= 0
⇒ 2cos2x. 2.cos3x. cosx = 0
⇒ Nghiệm dương nhỏ nhất của phương trình là x= π/6
Chọn C.
Ví dụ 13. Tìm nghiệm âm lớn nhất của phương trình :
A. x=
B. x=
C. x=
D. x=
Lời giải
Chọn D.
Ví dụ 14. Giải phương trình: sin22x + sin2 4x= cos2 2x+ cos2 4x
A.
B.
C.
D.
Lời giải
Ta có: sin22x + sin2 4x= cos2 2x+ cos2 4x
⇒ ( sin2 2x – cos22x ) + ( sin24x – cos24x) = 0
⇒ - cos4x – cos8x = 0
⇒ cos4x+ cos 8x = 0
⇒ 2.cos 6x.cos2x= 0
Chọn B.
C. Bài tập vận dụng
Câu 1:Giải phương trình sin2x. ( cotx + tan2x) = 4cos2 x
A .
B.
C.
D.
Lời giải:
Chọn D.
Câu 2:Giải phương trình: cos3 x- sin3 x= 1- 2sin2 x
A.
B.
C.
D.
Lời giải:
Do 1- 2sin2 x= sin2 x+ cos2 x- 2sin2 x= cos2 x- sin2 x
Nên: cos2 x – sin2 x = 1- 2sin2 x
⇒ (cosx – sinx) .( cos2 x + cosx. sinx + sin2 x) = cos2 x- sin2 x
⇒ ( cosx- sinx ). (1+ cosx. sinx) – ( cos2 x –sin2 x)= 0
⇒ ( cosx- sinx). ( 1 + cosx. sinx) - ( cosx- sinx ) . (cosx+ sinx) = 0
⇒ ( cosx- sinx ). ( 1 + cosx. sinx – cosx- sinx) = 0
⇒ ( cosx- sinx). [ (1- cosx ) - ( - cosx. sinx + sinx) = 0
⇒ (cosx- sinx). [( 1- cosx) - sinx(1- cosx)]= 0
⇒ (cosx- sinx) . (1- cosx) (1- sinx) = 0
Chọn A.
Câu 3:Giải phương trình: 1+ sinx+ cosx + tanx =0
A.
B.
C.
D.
Lời giải:
Điều kiện: cosx ≠ 0
Chọn B
Câu 4:Một họ nghiệm của phương trình 2sin2x – 2sinx = cot x – 1.
A. x=
B. x=
C. x=
D .Tất cả sai
Lời giải:
Điều kiện: sinx ≠ 0
Ta có: 2sin2x – 2sinx = cot x- 1
⇒ 2sin2x -2sinx – cotx + 1 = 0
+ Nếu 2cosx. sinx + cosx- sinx = 0 hay sinx- cosx – 2sinx. cosx=0 (*)
Chọn A.
Câu 5:Giải phương trình sin3 x+ cos3x= 2sin5 x+ 2cos5x.
A.
B.
C.
D.
Lời giải:
Ta có: sin3 x+ cos3x= 2sin5 x+ 2cos5x.
⇒ (sin3 x – 2sin5x ) + (cos3 x – 2cos5 x) = 0
⇒ sin3 x( 1- 2sin2 x) + cos3 x. ( 1- 2cos2 x) = 0
⇒ sin3 x.cos2x + cos3 x. (-cos2x) = 0
⇒ cos 2x.( sin3 x – cos3x) = 0
⇒ cos2x. (sinx- cosx).( sin2 x+ sinx.cosx + cos2x) =0
⇒ cos 2x. (sinx- cosx) . (1+ sinx.cosx) = 0
Chọn B.
Câu 6:Giải phương trình: tanx + tan 2x = - sin3x. cos2x
A. x= kπ/6
B. x= kπ/4
C. x= kπ/3
D. Cả A và B đúng
Lời giải:
Chọn C.
Câu 7:Giải phương trình
A.
B.
C.
D.
Lời giải:
Chọn D.
Câu 7:Phương trình 2√2.sin 5x. cos 3x = sin4x + 2√2 sin3x. cos 5x có nghiệm là:
A. x= kπ/2
B. x= kπ
C.
D.
Lời giải:
Chọn A.
Câu 8:Giải phương trình cosx – sinx = sin2x - 2cos2 x :
A.
B.
C.
D.
Lời giải:
Ta có: cosx- sinx= sin2x -2cos2x
⇒ cosx – sinx - ( sin2x – 2cos2 x) = 0
⇒ (cosx- sinx) - (2.sinx.cosx – 2cos2 x) = 0
⇒ ( cosx – sinx) – 2cosx( sinx – cosx) = 0
⇒ ( cosx- sinx).( 1- 2cosx) = 0
Chọn C.
Câu 9:Đâu không là một họ nghiệm của phương trình: sin2 x+ sin22x + sin23x=2 là.
A.
B.
C.
D.
Lời giải:
Chọn A.
Câu 10:Tìm nghiệm âm lớn nhất của phương trình :
A.
B.
C.
D.
Lời giải:
Chọn B.
Câu 10:Phương trình có bao nhiêu họ nghiệm ?
A. 2
B. 3
C. 4
D. 1
Lời giải:
Kết hợp điều kiện suy ra phương trình đã cho có ba họ nghiệm
Chọn B
Câu 11:Phương trình: có nghiệm là:
A.
B.
C.
D.Đáp án khác
Lời giải:
Chọn D
Câu 12:Giải phương trình : sin23x + cos26x = sin2 5x +cos2 4x
A.
B.
C.
D.
Lời giải:
⇒ 1- cos 6x+ 1+ cos12x= 1- cos10x + 1+ cos 8x
⇒ - cos 6x+ cos12x = - cos10x + cos 8x
⇒ (cos12x + cos10x) – ( cos8x+ cos6x)= 0
⇒ 2.cos 11x.cosx – 2cos7x. cos x= 0
⇒ 2cosx. ( cos11x- cos7x)=0
Chọn A.
Câu 12:Giải phương trình :
A.
B.
C.
D. Đáp án khác
Lời giải:
+ Ta có: cosx+ cos2x + cos3x = ( cosx+cos 3x) + cos2x
= 2cos 2x.cosx + cos2x = cos2x. (2cosx + 1)
Câu 13:Giải phương trình: sin2x + cosx + 1+ 3sin2 x – cos2 x + 2sinx= 0
A.
B.
C.
D. Đáp án khác
Lời giải:
Ta có: sin2x+ cosx + 1+ 3sin2 x –cos2 x+2sinx=0
⇒ (sin2x + 2sinx ) + (cosx+ 1) + (3sin2 x – cos2x) = 0
⇒ ( 2sinx. cosx+ 2sinx) + (cosx+1) +( 3sin2 x + sin2 x- 1) = 0
⇒ 2sinx.( cosx+ 1) + ( cosx+ 1) + ( 4sin2 x -1) = 0
⇒ (2sinx+ 1).( cosx+1) + ( 2sinx- 1). ( 2sinx+1) = 0
⇒ (2sinx +1) . (cosx+ 1 +2sinx -1) = 0
⇒ ( 2sinx+1) .( cosx+ 2sinx) = 0
Chọn C .
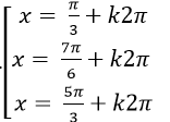
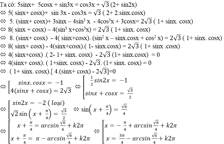
Câu 14:Phương trình: 5sinx+ 5cosx + sin3x = cos3x + √3 (2+ sin2x) có bao nhiêu họ nghiệm?
A. 1
B. 2
C.3
D.4
Lời giải:
Vậy phương trình đã cho có hai họ nghiệm.
Chọn B.
Câu 15:Giải phương trình
A.
B.
C.
D. Cả A và B đều đúng
Lời giải:
Chọn C.
D. Bài tập tự luyện
Bài 1. Giải phương trình: sin2x – cos2x + 3sinx – cosx – 1 = 0.
Bài 2. Giải phương trình: sin3x – 2cos2x = 3sinx + 2cosx.
Bài 3. Giải phương trình:
a) sin2x(cosx + 3) - cos3x - cos2x + ;
b) 9sinx + 6cosx – 3sin2x + cos2x = 8;
c) sin2x + 2cos2x = 1 + sinx – 4 cosx;
d) 2sin2x – cos2x = 7sinx + 2cosx – 4.
Bài 4. Giải phương trình: cos2x + 5 = 2(2 – cosx)(sinx – cosx).
Bài 5. Giải phương trình sau:
a) sin3x – 3sin2x – cos2x + 3sinx + 3cosx – 2 = 0;
b) 1 + sinx + cos3x = cosx + sin2x + cos2x;
c) 2cos3x + cos2x + sinx = 0;
d) 2sinx + cos3x + sin2x = 1 + sin4x.
(199k) Xem Khóa học Toán 11 KNTTXem Khóa học Toán 11 CDXem Khóa học Toán 11 CTST
Xem thêm các dạng bài tập Toán lớp 11 có trong đề thi THPT Quốc gia khác:
- Tìm điều kiện của tham số m để phương trình lượng giác có nghiệm
- Điều kiện để phương trình bậc nhất đối với sinx và cosx có nghiệm
- Giải phương trình bậc nhất đối với sinx và cosx
- Phương trình quy về phương trình bậc nhất đối với sinx và cosx
- Phương trình thuần nhất bậc 2 đối với sinx và cosx
- Phương trình đối xứng, phản đối xứng đối với sinx và cosx
- Phương trình lượng giác không mẫu mực
- Tìm số nghiệm của phương trình lượng giác trong khoảng, đoạn
Tủ sách VIETJACK shopee lớp 10-11 (cả 3 bộ sách):
Đã có app VietJack trên điện thoại, giải bài tập SGK, SBT Soạn văn, Văn mẫu, Thi online, Bài giảng....miễn phí. Tải ngay ứng dụng trên Android và iOS.
Theo dõi chúng tôi miễn phí trên mạng xã hội facebook và youtube:Nếu thấy hay, hãy động viên và chia sẻ nhé! Các bình luận không phù hợp với nội quy bình luận trang web sẽ bị cấm bình luận vĩnh viễn.
- Giải Tiếng Anh 11 Global Success
- Giải sgk Tiếng Anh 11 Smart World
- Giải sgk Tiếng Anh 11 Friends Global
- Lớp 11 - Kết nối tri thức
- Soạn văn 11 (hay nhất) - KNTT
- Soạn văn 11 (ngắn nhất) - KNTT
- Giải sgk Toán 11 - KNTT
- Giải sgk Vật Lí 11 - KNTT
- Giải sgk Hóa học 11 - KNTT
- Giải sgk Sinh học 11 - KNTT
- Giải sgk Lịch Sử 11 - KNTT
- Giải sgk Địa Lí 11 - KNTT
- Giải sgk Giáo dục KTPL 11 - KNTT
- Giải sgk Tin học 11 - KNTT
- Giải sgk Công nghệ 11 - KNTT
- Giải sgk Hoạt động trải nghiệm 11 - KNTT
- Giải sgk Giáo dục quốc phòng 11 - KNTT
- Giải sgk Âm nhạc 11 - KNTT
- Lớp 11 - Chân trời sáng tạo
- Soạn văn 11 (hay nhất) - CTST
- Soạn văn 11 (ngắn nhất) - CTST
- Giải sgk Toán 11 - CTST
- Giải sgk Vật Lí 11 - CTST
- Giải sgk Hóa học 11 - CTST
- Giải sgk Sinh học 11 - CTST
- Giải sgk Lịch Sử 11 - CTST
- Giải sgk Địa Lí 11 - CTST
- Giải sgk Giáo dục KTPL 11 - CTST
- Giải sgk Hoạt động trải nghiệm 11 - CTST
- Giải sgk Âm nhạc 11 - CTST
- Lớp 11 - Cánh diều
- Soạn văn 11 Cánh diều (hay nhất)
- Soạn văn 11 Cánh diều (ngắn nhất)
- Giải sgk Toán 11 - Cánh diều
- Giải sgk Vật Lí 11 - Cánh diều
- Giải sgk Hóa học 11 - Cánh diều
- Giải sgk Sinh học 11 - Cánh diều
- Giải sgk Lịch Sử 11 - Cánh diều
- Giải sgk Địa Lí 11 - Cánh diều
- Giải sgk Giáo dục KTPL 11 - Cánh diều
- Giải sgk Tin học 11 - Cánh diều
- Giải sgk Công nghệ 11 - Cánh diều
- Giải sgk Hoạt động trải nghiệm 11 - Cánh diều
- Giải sgk Giáo dục quốc phòng 11 - Cánh diều
- Giải sgk Âm nhạc 11 - Cánh diều


Giải bài tập SGK & SBT
Tài liệu giáo viên
Sách
Khóa học
Thi online
Hỏi đáp

