Phương trình đối xứng, phản đối xứng đối với sinx và cosx
Bài viết Phương trình đối xứng, phản đối xứng đối với sinx và cosx với phương pháp giải chi tiết giúp học sinh ôn tập, biết cách làm bài tập Phương trình đối xứng, phản đối xứng đối với sinx và cosx.
Phương trình đối xứng, phản đối xứng đối với sinx và cosx
(199k) Xem Khóa học Toán 11 KNTTXem Khóa học Toán 11 CDXem Khóa học Toán 11 CTST
A. Phương pháp giải
+ Phương trình đối xứng đối với sinx và cosx có dạng:
a (sinx+ cosx)+ b.sinx. cosx + c = 0
Để giải phương trình này ta làm như sau:
+ Phương trình phản đối xứng đối với sinx và cosx có dạng:
a (sinx- cosx)+ b.sinx. cosx + c = 0
Để giải phương trình này ta làm như sau:
B. Ví dụ minh họa
Ví dụ 1. Phương trình: có nghiệm là:
A.
B.
C.
D.
Lời giải
Đặt sinx+cosx= t (|t| ≤ √2)
⇒ sin 2 x+ cos2 x+ 2sinx.cosx= t2
⇒ 1+ sin2x= t2 ⇒ sin2x= t2 – 1
Thay vào phương trình đã cho ta được:
Chọn D.
Ví dụ 2. Phương trình có nghiệm là:
A.
B.
C.
D.Đáp án khác
Lời giải
Ta có: sin3 x+ cos3 x= 1- 1/2. sin2x
⇒ ( sinx+ cosx) .( sin2 x- sinx. cosx + cos2 x) = 1- 1/2. 2sinx. cosx
⇒ (sinx+ cosx). ( 1- sinx. cosx) = 1- sinx. cosx
⇒ ( sinx+ cosx) . ( 1- sinx. cosx) –( 1 – sinx.cosx) = 0
⇒ (sinx+ cosx – 1) . ( 1 – sinx.cosx) = 0
Chọn A.
Ví dụ 3: Phương trình sinx + cosx – 4.sinx.cosx – 1= 0 có bao nhiêu họ nghiệm
A. 2
B. 1
C. 3
D.4
Lòi giải
Ta có : sinx + cosx – 4sinx. cosx – 1= 0
Chọn D.
Ví dụ 4: Giải phương trình sin2x – 12(sinx - cosx) + 12 = 0
A.
B.
C.
D. Tất cả sai
Lời giải
Đặt t= sinx- cosx = √2 sin( x- π/4) với |t| ≤ √2
⇒ sin2 x + cos2 x- 2sinx.cosx = t2
⇒ 1- sin2x = t2 ⇒ sin2x= 1-t2
Thay vào phương trình đã cho ta được : 1- t2 -12. t+12=0
⇒ - t2 – 12t+ 13 = 0
Chọn C.
Ví dụ 5: Giải phương trình
A.
B.
C.
D. Đáp án khác
Lời giải
Đặt t=sinx-cosx=√2sin(x- π/4) với |t| ≤ √2
⇒ sin2 x+ cos2 x – 2sinx. cosx= t2
⇒ 1 – 2sinx. cosx = t2
⇒ 2sinx.cosx = 1- t2
Chọn C.
Ví dụ 6. Giải phương trình
A.
B.
C.
D. Đáp án khác
Lời giải
+ Điều kiện: sinx ≠ 0
Chọn A.
Ví dụ 7. Giải phương trình |sinx-cosx|+4.sinx.cosx-1=0
A. x= kπ/2
B. x= kπ
C. x= π/2+kπ
D. x= k2π
Lời giải
Đặt t= |sinx-cosx|= √2 |sin( x- π/4) | (0 ≤ t ≤ √2)
⇒ sin2 x+ cos2 x – 2sinx. cosx = t2
⇒ 1 – 2sinx. cosx= t2
⇒ 2sinx. cosx= 1- t2
Khi đó; ta có: t+ 2(1-t2 ) – 1= 0
⇒ - 2t2 + t+ 1= 0
Ví dụ 8: Giải phương trình cos3 x + sin3 x= cos2 x- sin2x
A.
B.
C.
D. Đáp án khác
Lời giải
Ta có: cos3 x + sin3 x= cos2 x- sin2x
⇒ (cosx+ sinx) .(cos2 x – cosx. sinx + sin2 x)= (cosx- sinx) .(cosx +sinx)
⇒ (cosx+ sinx).( 1- cos x. sinx) – (cosx- sinx). (cosx+ sinx) = 0
⇒ (cosx+ sinx). ( 1- cosx. sinx – cosx+ sinx) = 0
⇒ (cosx+ sinx ).[ ( 1- cosx) + ( sinx- cosx. sinx) ]= 0
⇒ ( cosx + sinx) . [ ( 1- cosx) + sinx(1- cos) ]= 0
⇒ ( cosx+ sinx ).(1- cosx) . ( 1+ sinx) = 0
Chọn C.
Ví dụ 9: Giải phương trình sin3 x – cosx + cos3 x- sinx = 2sin2x
A. x= kπ
B. x= kπ/2
C. x= kπ/4
D. Đáp án khác
Lời giải
Ta có: sin3 x – cosx + cos3 x- sinx = 2sin2x
⇒ ( sin3 x+ cos3 x) - (cosx+ sinx) - 2sin2x= 0
⇒ ( sinx+ cosx) . (sin2 x- sinx.cosx + cos2 x) – ( cosx+ sinx) – 2sin2x = 0
⇒ ( sinx+ cosx) . (1- sinx. cosx) – (cosx + sinx) – 2.2.sinx. cosx=0
⇒ (sinx+ cosx).( 1- sinx.cosx- 1) – 4.sinx. cosx= 0
⇒ - (sinx+ cosx). sinx. cosx – 4.sinx.cosx=0 (*)
⇒ - sinx. cosx [ sinx+ cosx + 4] = 0
Chọn B.
C. Bài tập vận dụng
Câu 1:Giải phương trình
A. x=+kπ
B.
C.
D.
Lời giải:
Chọn D.
Câu 2:Cho phương trình sinx.cosx – sinx- cosx + m= 0 trong đó m là tham số thực. Để phương trình có nghiệm, các giá trị thích hợp của m là
A. -√2-1/2 ≤ m ≤ 1
B.√2-1/2 ≤ m ≤ 1
C.-√2-1/2 < m < 1
D. Đáp án khác
Lời giải:
Chọn A.
Câu 2:Phương trình 2sin2x-3√6 |sinx+cosx|+8=0 có nghiệm là
A.
B.
C.
D. Đáp án khác
Lời giải:
Đặt t= |sinx+cosx|= √2|sin(x+ π/4)|;0 ≤ t ≤ √2
⇒ sin2 x+ cos2 x+ 2sinx. cosx = t2
⇒ 1 + 2sinx. cosx= t2 nên 2sinx.cosx= t2 -1
Khi đó; phương trình đã cho trở thành:
2(t2 -1)-3√6.t+8=0
Câu 3:Giải phương trình sinx.cosx + 2(sinx+ cosx) = 2.
A.
B.
C.
D.
Lời giải:
Đặt t= sinx+ cosx = √2sin( x+ π/4) với |t| ≤ √2
⇒ t2 = sin2 x+ cos2 x + 2sinx.cosx
⇒ t2 = 1+ 2sinx. cosx ⇒ sinx.cosx=
Khi đó, phương trình đã cho trở thành:
Câu 4:Cho phương trình 5sin2x+sinx+cosx+6=0 . Trong các phương trình sau, phương trình nào tương đương với phương trình đã cho?
A. sin x = 1/2
B. cosx = 1
C.cot x= 1
D. 1+ sin2x=0
Lời giải:
Đặt t= sinx+ cosx = √2 sin(x+π/4) với |t| ≤ √2
⇒ t2 = sin2 x+ cos2 x+ 2.sinx.cosx
⇒ t2 =1+ 2sinx.cosx ⇒ sin2x= 2sinx.cosx = t2 – 1
Khi đó, phương trình đã cho trở thành:
5.(t2 -1) + t+ 6= 0
⇒ 5t2 + t + 1= 0 phương trình này vô nghiệm
Ta thấy trong các phương án A, B, C, D thì phương trình ở đáp án D vô nghiệm.
Vậy phương trình đã cho tương đương với phương trình 1+sin2 x=0
( chú ý: Hai phương trình được gọi là tương đương nếu chúng có cùng tập nghiệm) .
Chọn D:
Câu 5:Câu 5.Giải phương trình: cos3 x+ sin3 x= cos2x
A.
B.
C.
D. Đáp án khác
Lời giải:
Ta có: cos3 x+ sin3 x= cos2x
⇒ (cosx+ sinx). ( cos2x - cosx.sinx +sin2x) – cos2x= 0
⇒ (cosx+ sinx).( 1 – cosx. sinx) – (cosx- sinx).(cosx+ sinx) = 0
⇒ ( cosx+ sinx). ( 1 – cosx. sinx- cosx + sinx) = 0
⇒ ( cosx+ sinx).[( 1+ sinx) – ( cosx. sinx+ cosx)]=0
⇒ ( cosx+ sinx)[ (1+ sinx) – cosx( sinx+ 1) ]=0
⇒ ( cosx+ sinx) .( 1- cosx).( 1+ sinx) = 0
Chọn C.
Câu 6:Giải phương trình; sin(x+ π/4)+sin2x+1=0
A.
B.
C.
D.
Lời giải:
⇒ phương trình đã cho có ba họ nghiệm là (1); (2) và (3).
Chọn A.
Câu 7:Giải phương trình
A.
B.
C.
D.
Lời giải:
Chọn C.
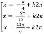
Câu 8:Tìm nghiệm dương bé nhất của phương trình :
A. x=
B. x=
C. x=
D. x=
Lời giải:
Chọn A.
(199k) Xem Khóa học Toán 11 KNTTXem Khóa học Toán 11 CDXem Khóa học Toán 11 CTST
Xem thêm các dạng bài tập Toán lớp 11 có trong đề thi THPT Quốc gia khác:
- Tìm điều kiện của tham số m để phương trình lượng giác có nghiệm
- Điều kiện để phương trình bậc nhất đối với sinx và cosx có nghiệm
- Giải phương trình bậc nhất đối với sinx và cosx
- Phương trình quy về phương trình bậc nhất đối với sinx và cosx
- Phương trình thuần nhất bậc 2 đối với sinx và cosx
- Phương trình lượng giác đưa về dạng tích
- Phương trình lượng giác không mẫu mực
- Tìm số nghiệm của phương trình lượng giác trong khoảng, đoạn
Tủ sách VIETJACK shopee lớp 10-11 (cả 3 bộ sách):
Đã có app VietJack trên điện thoại, giải bài tập SGK, SBT Soạn văn, Văn mẫu, Thi online, Bài giảng....miễn phí. Tải ngay ứng dụng trên Android và iOS.
Theo dõi chúng tôi miễn phí trên mạng xã hội facebook và youtube:Nếu thấy hay, hãy động viên và chia sẻ nhé! Các bình luận không phù hợp với nội quy bình luận trang web sẽ bị cấm bình luận vĩnh viễn.
- Giải Tiếng Anh 11 Global Success
- Giải sgk Tiếng Anh 11 Smart World
- Giải sgk Tiếng Anh 11 Friends Global
- Lớp 11 - Kết nối tri thức
- Soạn văn 11 (hay nhất) - KNTT
- Soạn văn 11 (ngắn nhất) - KNTT
- Giải sgk Toán 11 - KNTT
- Giải sgk Vật Lí 11 - KNTT
- Giải sgk Hóa học 11 - KNTT
- Giải sgk Sinh học 11 - KNTT
- Giải sgk Lịch Sử 11 - KNTT
- Giải sgk Địa Lí 11 - KNTT
- Giải sgk Giáo dục KTPL 11 - KNTT
- Giải sgk Tin học 11 - KNTT
- Giải sgk Công nghệ 11 - KNTT
- Giải sgk Hoạt động trải nghiệm 11 - KNTT
- Giải sgk Giáo dục quốc phòng 11 - KNTT
- Giải sgk Âm nhạc 11 - KNTT
- Lớp 11 - Chân trời sáng tạo
- Soạn văn 11 (hay nhất) - CTST
- Soạn văn 11 (ngắn nhất) - CTST
- Giải sgk Toán 11 - CTST
- Giải sgk Vật Lí 11 - CTST
- Giải sgk Hóa học 11 - CTST
- Giải sgk Sinh học 11 - CTST
- Giải sgk Lịch Sử 11 - CTST
- Giải sgk Địa Lí 11 - CTST
- Giải sgk Giáo dục KTPL 11 - CTST
- Giải sgk Hoạt động trải nghiệm 11 - CTST
- Giải sgk Âm nhạc 11 - CTST
- Lớp 11 - Cánh diều
- Soạn văn 11 Cánh diều (hay nhất)
- Soạn văn 11 Cánh diều (ngắn nhất)
- Giải sgk Toán 11 - Cánh diều
- Giải sgk Vật Lí 11 - Cánh diều
- Giải sgk Hóa học 11 - Cánh diều
- Giải sgk Sinh học 11 - Cánh diều
- Giải sgk Lịch Sử 11 - Cánh diều
- Giải sgk Địa Lí 11 - Cánh diều
- Giải sgk Giáo dục KTPL 11 - Cánh diều
- Giải sgk Tin học 11 - Cánh diều
- Giải sgk Công nghệ 11 - Cánh diều
- Giải sgk Hoạt động trải nghiệm 11 - Cánh diều
- Giải sgk Giáo dục quốc phòng 11 - Cánh diều
- Giải sgk Âm nhạc 11 - Cánh diều


Giải bài tập SGK & SBT
Tài liệu giáo viên
Sách
Khóa học
Thi online
Hỏi đáp

