Giải phương trình bậc nhất đối với sinx và cosx
Bài viết Giải phương trình bậc nhất đối với sinx và cosx với phương pháp giải chi tiết giúp học sinh ôn tập, biết cách làm bài tập Giải phương trình bậc nhất đối với sinx và cosx.
Giải phương trình bậc nhất đối với sinx và cosx
(199k) Xem Khóa học Toán 11 KNTTXem Khóa học Toán 11 CDXem Khóa học Toán 11 CTST
A. Phương pháp giải
+ Phương trình bậc nhất đối với sin x và cosx có dạng: a. sinx+ bcosx = c
Trong đó; a, b và c là hằng số.
+ Cách giải phương trình:
• Cách 1:
• Cách 2:
* Chú ý:
+ Cách 2 thường dùng để giải và biện luận.
+ Điều kiện để phương trình đã cho có nghiệm là a2 + b2 ≥ c2
+ Bất đẳng thức bunhia xcopski:
B. Ví dụ minh họa
Ví dụ 1. Nghiệm của phương trình sinx+ cosx= 1 là:
A.
B.
C.
D.
Lời giải
Ta có: sinx+ cosx= 1
Chọn A.
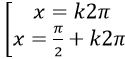
Ví dụ 2: Nghiệm của phương trình là:
A.
B.
C.
D.
Lời giải
Chọn C.
Ví dụ 3. Nghiệm của phương trình là:
A.
B.
C.
D.
Lời giải
Chọn D
Ví dụ 4. Giải phương trình:
A. x= π/8+k.π
B. x= π/3+k.2.π
C. x= π/4+k.π
D. x= π/2+k.π
Lời giải
Chọn C.
Ví dụ 5: Nghiệm của phương trình là:
A.
B.
C.
D.
Lời giải
Chọn D.
Ví dụ 6. Giải phương trình 2sinx+ 2cosx = 3
A.
B.
C.
D.Đáp án khác
Với sinα=3/(2√2)
Lời giải
Ta có: 2sinx+ 2cosx= 3
Chọn A.
Ví dụ 7. Tìm một họ nghiệm của phương trình: 3sin (x- 100) + 6cos(x-100) = -7
A. x=
B.Phương trình vô nghiệm
C. x=
D.Tất cả sai
Lời giải
Phương trình đã cho có dạng a.sinx+ b.cosx = c - là phương trình bậc nhất đối với sinx và cosx.
Trong đó; a= 3; b= 6 và c= - 7
⇒ 32 + 62 < (-7)2
⇒ Phương trình đã cho vô nghiệm.
Chọn B.
Ví dụ 8. Giải phương trình : - 3cosx+ 4sinx = 5
A. x=
B. x=
C. x=
D. Đáp án khác
Trong đó:
Lời giải
Ta có; 3cosx+ 4sinx= 5
Chọn C.
C. Bài tập vận dụng
Câu 1:Giải phương trình : sinx + cosx= √2
A. x=
B. x=
C. x=
D. x=
Lời giải:
Chọn A.
Câu 2: Giải phương trình : √3 sinx- √3 cosx=0?
A. x=
B. x=
C. x=
D. x=
Lời giải:
Chọn C.
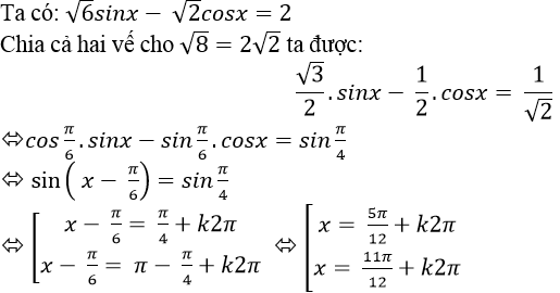
Câu 3:Giải phương trình: √6 sinx- √2 cosx=2
A.
B.
C.
D.
Lời giải:
Chọn D.
Câu 4:Một họ nghiệm của phương trình : là:
A. x=
B. x=
C. x=
D. Tất cả sai.
Lời giải:
Phương trình : là phương trình bậc nhất đối với sinx và cosx và (〖√8)2+ (√10)2 < (2√5)2
⇒ Phương trình đã cho vô nghiệm.
Chọn D.
Câu 5:Giải phương trình:
A.
B.
C.
D.
Lời giải:
Chọn B.
Câu 6:Giải phương trình:
A.
B.
C.
D.Tất cả sai
Lời giải:
Chọn A
Câu 7:Giải phương trình:
A.
B.
C.
D.
Lời giải:
Chọn C.
Câu 8:Giải phương trình:
A.
B.
C.
D.
Lời giải:
Chọn A
(199k) Xem Khóa học Toán 11 KNTTXem Khóa học Toán 11 CDXem Khóa học Toán 11 CTST
Xem thêm các dạng bài tập Toán lớp 11 có trong đề thi THPT Quốc gia khác:
- Tìm điều kiện của tham số m để phương trình lượng giác có nghiệm
- Điều kiện để phương trình bậc nhất đối với sinx và cosx có nghiệm
- Phương trình quy về phương trình bậc nhất đối với sinx và cosx
- Phương trình thuần nhất bậc 2 đối với sinx và cosx
- Phương trình đối xứng, phản đối xứng đối với sinx và cosx
- Phương trình lượng giác đưa về dạng tích
- Phương trình lượng giác không mẫu mực
- Tìm số nghiệm của phương trình lượng giác trong khoảng, đoạn
Tủ sách VIETJACK shopee lớp 10-11 (cả 3 bộ sách):
Đã có app VietJack trên điện thoại, giải bài tập SGK, SBT Soạn văn, Văn mẫu, Thi online, Bài giảng....miễn phí. Tải ngay ứng dụng trên Android và iOS.
Theo dõi chúng tôi miễn phí trên mạng xã hội facebook và youtube:Nếu thấy hay, hãy động viên và chia sẻ nhé! Các bình luận không phù hợp với nội quy bình luận trang web sẽ bị cấm bình luận vĩnh viễn.
- Giải Tiếng Anh 11 Global Success
- Giải sgk Tiếng Anh 11 Smart World
- Giải sgk Tiếng Anh 11 Friends Global
- Lớp 11 - Kết nối tri thức
- Soạn văn 11 (hay nhất) - KNTT
- Soạn văn 11 (ngắn nhất) - KNTT
- Giải sgk Toán 11 - KNTT
- Giải sgk Vật Lí 11 - KNTT
- Giải sgk Hóa học 11 - KNTT
- Giải sgk Sinh học 11 - KNTT
- Giải sgk Lịch Sử 11 - KNTT
- Giải sgk Địa Lí 11 - KNTT
- Giải sgk Giáo dục KTPL 11 - KNTT
- Giải sgk Tin học 11 - KNTT
- Giải sgk Công nghệ 11 - KNTT
- Giải sgk Hoạt động trải nghiệm 11 - KNTT
- Giải sgk Giáo dục quốc phòng 11 - KNTT
- Giải sgk Âm nhạc 11 - KNTT
- Lớp 11 - Chân trời sáng tạo
- Soạn văn 11 (hay nhất) - CTST
- Soạn văn 11 (ngắn nhất) - CTST
- Giải sgk Toán 11 - CTST
- Giải sgk Vật Lí 11 - CTST
- Giải sgk Hóa học 11 - CTST
- Giải sgk Sinh học 11 - CTST
- Giải sgk Lịch Sử 11 - CTST
- Giải sgk Địa Lí 11 - CTST
- Giải sgk Giáo dục KTPL 11 - CTST
- Giải sgk Hoạt động trải nghiệm 11 - CTST
- Giải sgk Âm nhạc 11 - CTST
- Lớp 11 - Cánh diều
- Soạn văn 11 Cánh diều (hay nhất)
- Soạn văn 11 Cánh diều (ngắn nhất)
- Giải sgk Toán 11 - Cánh diều
- Giải sgk Vật Lí 11 - Cánh diều
- Giải sgk Hóa học 11 - Cánh diều
- Giải sgk Sinh học 11 - Cánh diều
- Giải sgk Lịch Sử 11 - Cánh diều
- Giải sgk Địa Lí 11 - Cánh diều
- Giải sgk Giáo dục KTPL 11 - Cánh diều
- Giải sgk Tin học 11 - Cánh diều
- Giải sgk Công nghệ 11 - Cánh diều
- Giải sgk Hoạt động trải nghiệm 11 - Cánh diều
- Giải sgk Giáo dục quốc phòng 11 - Cánh diều
- Giải sgk Âm nhạc 11 - Cánh diều


Giải bài tập SGK & SBT
Tài liệu giáo viên
Sách
Khóa học
Thi online
Hỏi đáp

