60 bài tập Hàm số lượng giác, Phương trình lượng giác có đáp án (phần 1)
Với 60 bài tập Hàm số lượng giác, Phương trình lượng giác (phần 1) có lời giải chi tiết sẽ giúp học sinh ôn tập, biết cách làm bài tập Hàm số lượng giác, Phương trình lượng giác (phần 1).
60 bài tập Hàm số lượng giác, Phương trình lượng giác có đáp án (phần 1)
(199k) Xem Khóa học Toán 11 KNTTXem Khóa học Toán 11 CDXem Khóa học Toán 11 CTST
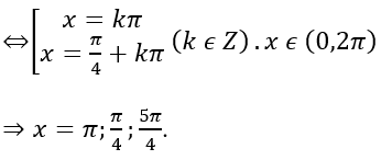
Bài 1: Giá trị x ∈ (0,π) thoả mãn điều kiện cos2x + sinx – 1 = 0 là:
Lời giải:
Đáp án: A
cos2x + sinx-1 = 0 ⇔ -sin2x+ sinx=0
x ∈ (0,π) nên x = π/2 (k=0).
Bài 2: Tập nghiệm của phương trình: 3sin2x - 2√3 sinxcosx - 3cos2x = 0 là:
Lời giải:
Đáp án: A
3sin2x - 2√3 sinxcosx - 3 cos2x=0 (1)
Xét cosx=0 (1) ⇔ sinx=0 (vô lý do: sin2x +cos2x=1)
Xét cosx ≠ 0. Chia cả hai vế của (1) cho cos2x. Ta được :
3tan2x-2√3 tanx-3=0
Bài 3: Tổng các nghiệm của phương trình cos2x - √3sin2x = 1 trong khoảng (0;π) là:
A. 0 B. π C. 2π D. 2π/3
Lời giải:
Đáp án: D
Ta có
cos2x - √3sin2x=1
Bài 4: Giải phương trình sau:
Lời giải:
Đáp án: D
Vậy chọn D.
Bài 5: Nghiệm của phương trình 2(sinx + cosx) + sinxcosx = 2 là:
Lời giải:
Đáp án: A
Đặt t = sinx + cosx. Đk: |t| ≤ √2. Khi đó
Ta có phương trình đã cho có dạng:
Bài 6: Phương trình cos(πcos2x) = 1 có nghiệm là:
Lời giải:
Đáp án: B
cos(π cos2x )=1
⇔ π cos2x=k2π
⇔ cos2x=2k. Để pt có nghiệm thì |2k| ≤ 1⇔|k| ≤ 1/2
Mà k nguyên ⇒ k=0
Bài 7: Tập nghiệm của phương trình tanx + cotx -2 = 0 là:
Lời giải:
Đáp án: B
ĐK: x ≠ kπ/2 (k ∈ Z)
tanx + cotx - 2=0
Bài 8: Phương trình 3sin2x + msin2x – 4cos2x = 0 có nghiệm khi:
A. m = 4 B. m ≥ 4 C. m ≤ 4 D. m ∈ R
Lời giải:
Đáp án: D
3sin2x + m sin2x - 4cos2x=0
Xét cosx=0. PT vô nghiệm
Xét cosx≠0. Chia cả 2 vế của PT cho cos2x:
3 tan2x+ 2m tanx-4=0
Δ'=m2+12 > 0 ∀m
⇒ PT luôn có nghiệm với ∀m.
Bài 9: Tập nghiệm của phương trình
Lời giải:
Đáp án: A
Ta có PT
⇔ 1 + sinx + √3cosx = 2
Bài 10: Giải phương trình: cos2x.tanx = 0.
Lời giải:
Đáp án: D
ĐK: x ≠ π/2+kπ (k ∈ Z)
Bài 11: Nghiệm của phương trình |sinx-cosx| + 8sinxcosx = 1 là:
Lời giải:
Đáp án: C
Đặt t = sinx - cosx. Đk: |t| ≤ √2. Khi đó
Ta có: |t| – 4(1 - t2)=1
Bài 12: Điều kiện của phương trình: cos3xtan5x = sin7x là:
Lời giải:
Đáp án: B
ĐKXĐ:
Bài 13: Tập nghiệm của phương trình 2cos25x + 3cos5x – 5 = 0 thuộc khoảng (0;π) là:
Lời giải:
Đáp án: B
2cos25x+3 cos5x-5=0
Bài 14: Nghiệm của phương trình sin2x – sinxcosx = 1 là:
Lời giải:
Đáp án: A
sin2x-sinx cosx=1 (1)
Xét cosx=0. Ta có (1) ⇔ sin2x=1 ⇔ x = π/2+kπ (k ∈ Z).
Xét cosx≠0. Chia cả 2 vế của PT cho cos2x ta có:
tan2x - tanx = 1/cos2x
⇔ tan2x - tanx = tan2x + 1
⇔ tanx = -1
Bài 15: Điều kiện của phương trình: là:
A. cos2x ≠ 0 C. cos2x ≥ 0
B. cos2x > 0 D. Không xác định tại mọi x.
Lời giải:
Đáp án: C
ĐKXĐ: cos2x ≥ 0. Chọn C.
Bài 16: Tìm tất cả các giá trị thực của m đế phương trình sinx = m có nghiệm.
A. m ≠ 1 C. m ≠ -1
C. -1 ≤ m ≤ 1 D. m > 1
Lời giải:
Đáp án: C
sinx = m có nghiệm ⇔|m| ≤ 1.
Bài 17: Một nghiệm của phương trình sin3x - cos3x = sinx –cosx là:
Lời giải:
Đáp án: A
PT ⇔ (sinx – cosx)( sin2x + cos2x + sinxcosx -1) = 0
Bài 18: Phương trình sinx = cosx có số nghiệm thuộc đoạn [0;π] là:
A.1 B.4 C.5 D.2
Lời giải:
Đáp án: A
Ta có sinx = cosx
Do x ∈ [0;π] nên k = 0. Vậy chỉ có 1 nghiệm của phương trình thuộc [0;π].
Bài 19: Tập nghiệm của phương trình sin4x – 13sin2x + 36 = 0 là:
Lời giải:
Đáp án: D
sin4x - 13sin2x + 36 = 0
Bài 20: Nghiệm của phương trình cos2x - √3sin2x = 1 + sin2x là:
Lời giải:
Đáp án: D
cos2x - √3 sin2x = 1 + sin2x (1)
Xét cosx = 0. PT vô nghiệm
Xét cosx ≠ 0. Chia cả 2 vế của PT cho cos2x ta có:
Bài 21: Tập nghiệm của phương trình √3 sinx+cosx=1/cosx thuộc (0;2π) là:
Lời giải:
Đáp án: A
ĐK: cosx ≠ 0.
Bài 22: Tìm tất cả các giá trị thực của m đế phương trình cosx - m = 0 có nghiệm.
A. m ∈ (-∞,-1] C. m ∈ (1,+∞]
C. m ∈ [-1,1] D. m ≠ -1
Lời giải:
Đáp án: C
cosx - m = 0 có nghiệm ⇔ cosx = m có nghiệm ⇔ |m| ≤ 1. Chọn C.
Bài 23: Tập nghiệm của phương trình tanx + cotx -2 = 0 là:
Lời giải:
Đáp án: B
Đặt t = sinx + cosx. Đk: |t| ≤ √2.
Ta có phương trình đã cho có dạng:
Bài 24: Phương trình sin2x = 1 có nghiệm là:
Lời giải:
Đáp án: D
Hướng dẫn giải. Ta có: sin2x = 1 ⇔ 2x = π/2 + k2π ⇔ x = π/4 + kπ, k ϵ ℤ.
Từ đó suy ra đáp án là D.
Bài 25: Số phần tử thuộc tập nghiệm của phương trình 4sinx = 1/sinx trong khoảng [0;2π}
A. 2 B.4 C.6 D.8
Lời giải:
Đáp án: B
ĐK: sinx ≠ 0
4sinx = 1/sinx
⇔ sin2x = 1/4
⇔ sinx = ± 1/2
Bài 26: Số nghiệm của phương trình sin2x + 2sinxcosx + 3cos2x = 3 thuộc khoảng (0; 2π)
A. 1 B.2 C.3 D.4
Lời giải:
Đáp án: C
sin2x + 2 sinxcosx + 3 cos2x=3
Xét cosx = 0. PT vô nghiệm
Xét cosx ≠ 0. Chia cả 2 vế của PT cho cos2x ta có:
tan2x + 2 tanx+3 = 3 tan2x+3
⇔ tan2x - tanx = 0
Bài 27: Phương trình (m + 2)sinx – 2mcosx = 2(m + 1) có nghiệm khi:
Lời giải:
Đáp án: A
PT đã cho
⇔ 4(m+1)2 ≤ (m+2)2 + 4m2
⇔ m2 + 4m ≥ 0
Bài 28: Số nghiệm của phương trình sin(2x – 40º) = 1 với -180º < x < 180º là:
A.1 B.2 C.3 D.4
Lời giải:
Đáp án: B
sin(2x-40º) = 1 ⇔ 2x-40º = 90º + k360º ⇔ x = 65º + k180º
-180º < x < 180º → x = 65º (k=0), x= -115º (k= -1) .Chọn B.
Bài 29: Tập nghiệm của phương trình cos3x + sin3x = sinx + cosx là:
Lời giải:
Đáp án: B
cos3x + sin3x = sinx + cosx ⇔ (sinx + cosx) (1 – sinxcosx) = 0
Bài 30: Phương trình sin2 (x/3) = 1 có nghiệm là:
Lời giải:
Đáp án: C
Ta có: sin2 (x/3) = 1 ⇔ cos2 (x/3) = 0 ⇔ x/3 = π/2 + kπ
(199k) Xem Khóa học Toán 11 KNTTXem Khóa học Toán 11 CDXem Khóa học Toán 11 CTST
Xem thêm các dạng bài tập Toán lớp 11 có trong đề thi THPT Quốc gia khác:
- Tổng hợp lý thuyết chương Hàm số lượng giác - phương trình lượng giác
- Chuyên đề: Hàm số lượng giác
- Chuyên đề: Phương trình lượng giác
- Bài tập chương Hàm số lượng giác, Phương trình lượng giác (phần 1 - có đáp án)
- Bài tập chương Hàm số lượng giác, Phương trình lượng giác (phần 2 - có đáp án)
Tủ sách VIETJACK shopee lớp 10-11 (cả 3 bộ sách):
Đã có app VietJack trên điện thoại, giải bài tập SGK, SBT Soạn văn, Văn mẫu, Thi online, Bài giảng....miễn phí. Tải ngay ứng dụng trên Android và iOS.
Theo dõi chúng tôi miễn phí trên mạng xã hội facebook và youtube:Nếu thấy hay, hãy động viên và chia sẻ nhé! Các bình luận không phù hợp với nội quy bình luận trang web sẽ bị cấm bình luận vĩnh viễn.
- Giải Tiếng Anh 11 Global Success
- Giải sgk Tiếng Anh 11 Smart World
- Giải sgk Tiếng Anh 11 Friends Global
- Lớp 11 - Kết nối tri thức
- Soạn văn 11 (hay nhất) - KNTT
- Soạn văn 11 (ngắn nhất) - KNTT
- Giải sgk Toán 11 - KNTT
- Giải sgk Vật Lí 11 - KNTT
- Giải sgk Hóa học 11 - KNTT
- Giải sgk Sinh học 11 - KNTT
- Giải sgk Lịch Sử 11 - KNTT
- Giải sgk Địa Lí 11 - KNTT
- Giải sgk Giáo dục KTPL 11 - KNTT
- Giải sgk Tin học 11 - KNTT
- Giải sgk Công nghệ 11 - KNTT
- Giải sgk Hoạt động trải nghiệm 11 - KNTT
- Giải sgk Giáo dục quốc phòng 11 - KNTT
- Giải sgk Âm nhạc 11 - KNTT
- Lớp 11 - Chân trời sáng tạo
- Soạn văn 11 (hay nhất) - CTST
- Soạn văn 11 (ngắn nhất) - CTST
- Giải sgk Toán 11 - CTST
- Giải sgk Vật Lí 11 - CTST
- Giải sgk Hóa học 11 - CTST
- Giải sgk Sinh học 11 - CTST
- Giải sgk Lịch Sử 11 - CTST
- Giải sgk Địa Lí 11 - CTST
- Giải sgk Giáo dục KTPL 11 - CTST
- Giải sgk Hoạt động trải nghiệm 11 - CTST
- Giải sgk Âm nhạc 11 - CTST
- Lớp 11 - Cánh diều
- Soạn văn 11 Cánh diều (hay nhất)
- Soạn văn 11 Cánh diều (ngắn nhất)
- Giải sgk Toán 11 - Cánh diều
- Giải sgk Vật Lí 11 - Cánh diều
- Giải sgk Hóa học 11 - Cánh diều
- Giải sgk Sinh học 11 - Cánh diều
- Giải sgk Lịch Sử 11 - Cánh diều
- Giải sgk Địa Lí 11 - Cánh diều
- Giải sgk Giáo dục KTPL 11 - Cánh diều
- Giải sgk Tin học 11 - Cánh diều
- Giải sgk Công nghệ 11 - Cánh diều
- Giải sgk Hoạt động trải nghiệm 11 - Cánh diều
- Giải sgk Giáo dục quốc phòng 11 - Cánh diều
- Giải sgk Âm nhạc 11 - Cánh diều


Giải bài tập SGK & SBT
Tài liệu giáo viên
Sách
Khóa học
Thi online
Hỏi đáp

