Phương trình quy về phương trình bậc hai đối với hàm số lượng giác
Bài viết Phương trình quy về phương trình bậc hai đối với hàm số lượng giác với phương pháp giải chi tiết giúp học sinh ôn tập, biết cách làm bài tập Phương trình quy về phương trình bậc hai đối với hàm số lượng giác.
Phương trình quy về phương trình bậc hai đối với hàm số lượng giác
(199k) Xem Khóa học Toán 11 KNTTXem Khóa học Toán 11 CDXem Khóa học Toán 11 CTST
A. Phương pháp giải
Để giải phương trình quy về phương trình phương trình bậc hai đối với một hàm số lượng giác.
• Sử dụng các công thức cộng; công thức nhân đôi; công thức biến đổi tổng thành tích; tích thành tổng. ..để đưa phương trình đã cho về phương trình bậc hai đối với một hàm số lượng giác.
• Sử dụng cách giải phương trình phương trình bậc hai đối với một hàm số lượng giác. Từ đó;suy ra nghiệm của phương trình đã cho.
B. Ví dụ minh họa
Ví dụ 1. Giải phương trình: cosx = 3 - sin2 x
A. π+k2π
B. k2π
C. kπ
D. π/2+ k2π
Lời giải
Ta có: cosx = 3- sin2 x
⇒ 3- sin2 x – cosx= 0
⇒ 3- (1- cos2 x ) – cosx= 0
⇒ cos2 x- cosx + 2= 0
Với cosx= -1 thì x= π+k2π
Chọn A.
Ví dụ 2. Giải phương trình : sin2 x+ 2sin2 2x – 6sinx. cosx+ cos2x = 0
A.
B.
C.
D.
Lời giải
Ta có: sin2x+ 2sin2 2x – 6sinx. cosx+ cos2x = 0
⇒ 2sin22x -6sinx.cosx + (sin2 x+ cos2x ) = 0
⇒ 2sin2 2x – 3sin2x +1= 0
Chọn A.
Ví dụ 3. Giải phương trình: 2cos2 x+ 5sin2x+ 5sinx= 0
A.
B.
C.
D. Đáp án khác
Lời giải
Ta có: 2cos2 x+ 5sin2 x+ 5sinx=0
⇒ 2( cos2 x+ sin2 x) + 3sin2x+ 5sinx = 0
⇒ 2+ 3sin2 x+ 5sinx= 0
Chọn D.
Ví dụ 4. Các họ nghiệm của phương trình cos2x- sinx= 0 là
A.
B.
C.
D.Đáp án khác
Lời giải
Ta có: cos2x- sinx=0
⇒ 1- 2sin2 x – sinx= 0
Chọn A.
Ví dụ 5. Họ nghiệm của phương trình – cos22x – 2sin2x + 2= 0 là :
A.
B.
C.
D.
Lời giải
Ta có: - cos2 2x – 2sin2x+ 2 = 0
⇒ sin2 2x- 1- 2sin2x + 2= 0
⇒ sin2 2x – 2sin2x +1=0
⇒ sin2x= 1
⇒ 2x= π/2+k2π ⇒ x= π/4+kπ
Chọn B.
Ví dụ 6: Một họ nghiệm của phương trình cos22x + sin2x- 1= 0 là
A.
B.
C.
D.
Lời giải
Chọn D.
Ví dụ 7. Giải phương trình lượng giác 4sin4x +12cos2 x – 7= 0 có nghiệm là:
A.
B.
C.
D.
Lời giải
Ta có: 4sin2x +12cos2 x – 7= 0
⇒ 4sin2 x + 12(1-sin2 x) – 7 = 0
⇒ 4sin2 x – 12sin2x + 5= 0 .
Chọn B.
Ví dụ 8: Phương trình cos2(x+ π/3)+4 cos(π/6-x)= 5/2 có nghiệm là:
A.
B.
C.
D.
Lời giải
Ta có:
Chọn A.
Ví dụ 9. Phương trình cos2x - 10cosx + 13= 0 có nghiệm là:
A. x= π/2+k2π
B.Ø .
C. x = ±arccos 2 + k2π.
D. x = ±arccos 3 + k2π.
Lời giải
Ta có: cos2x- 10cosx + 13= 0
⇒ 2cos2 x – 1- 10cosx + 13= 0
⇒ 2cos2 x – 10cosx + 12= 0
⇒ Phương trình đã cho vô nghiệm.
Chọn B.
Ví dụ 10: Phương trình sin22x- 2cos2 x+ 3/4=0 có nghiệm là
A.
B.
C.
D.
Lời giải
Chọn A.
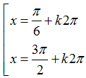
Ví dụ 11: Họ nghiệm của phương trình 3cos 4x + 2cos2x- 5= 0 là
A.k2π
B. π/3+ k2π.
C.kπ
D. π/3+ k2π.
Lời giải
Ta có: 3cos4x + 2cos2x – 5 = 0
Với cos2x= 1 thì 2x= k2π ⇒ x= k.π
Chọn C.
Ví dụ 12. Giải phương trình: .
A.
B.
C.
D. Đáp án khác
Lời giải
C. Bài tập vận dụng
Câu 1:Câu 1: Phương trình sin2 x+ sin2 2x = 1 có nghiệm là:
A.
B.
C.
D. Vô nghiệm.
Lời giải:
Ta có: sin2 x+ sin2 2x = 1
Câu 2:Phương trình tanx + 3cotx = 4 có nghiệm là:
A.
B.
C.
D.Đáp án khác
Lời giải:
Điều kiện: x ≠ kπ
Ta có: tanx+ 3cotx = 4
Chọn C.
Câu 3:Phương trình có mấy họ nghiệm :
A. 0
B.1
C. 2
D. 3
Lời giải:
Vậy phương trình đã cho có hai họ nghiệm.
Chọn C.
Câu 4:Phương trình 2√2 ( sinx+cosx).cosx=3+cos2x có nghiệm là:
A.
B.
C.
D. Vô nghiệm.
Lời giải:
(vì cosx = 0 không là nghiệm của phương trình nên ta chia cả hai vế của phương trình cho cos2 x)
Phương trình vô nghiệm.
Chọn D.
Câu 5:Giải phương trình
A.
B.
C.
D.
Lời giải:
Chọn A.
Câu 6:Phương trình: có các nghiệm là
A.
B.
C.
D.
Lời giải:
Chọn C
Câu 7:Phương trình cos2x + sin2 x+ 2cosx + 1= 0 có nghiệm là
A.
B.π+k2π
C.
D.
Lời giải:
Chọn B
Ta có: cos2x + sin2 x+ 2cosx + 1= 0
⇒ 2 cos2 x- 1+ 1- cos2 x+ 2cosx+1= 0
⇒ cos2x + 2cosx+1 =0 ⇒ cosx=-1 ⇒ x= π+k2π, k nguyên.
Câu 8:Phương trình: có nghiệm là:
A.k2π , k nguyên .
B.k3π , k nguyên .
C.k4π , k nguyên .
D.π/4 + kπ , k nguyên .
Lời giải:
Chọn D.
Câu 9:Giải phương trình sin3x+ cos2x= 1+ 2sinx.cos2x
A.
B.
C.
D. Đáp án khác
Lời giải:
Chọn B.
Phương trình sin3x+ cos2x = 1+ 2sinx.cos2x
⇒ sin3x +cos2x = 1+ sin3x + sin(-x)
⇒ cos2x–1-sin(-x) = 0
⇒ 1- 2sin2 x- 1 + sinx= 0
Câu 10:Số họ nghiệm của phương trình cos5x+ cos2x+2sin3x.sin2x=0 là
A. 1
B. 2
C. 3
D. 4
Lời giải:
Ta có: cos5x+ cos2x + 2sin3x. sin2x= 0
⇒ cos 5x+ cos 2x – cos 5x+ cosx= 0
⇒ cos2x + cosx= 0
⇒ 2cos2 x- 1+ cosx= 0
Vậy phương trình đã cho có 3 họ nghiệm.
Chọn C
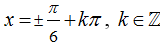
Câu 11:Tìm nghiệm của phương trình
A.
B.
C.
D. Đáp án khác
Lời giải:
Chọn A
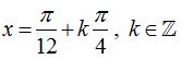
Câu 12:Nghiệm phương trình
A.
B.
C.
D.
Lời giải:
Chọn D.
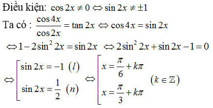
Câu 13:Cho phương trình cos5x.cosx= cos4x.cos2x + 3cos2 x+ 1. Các nghiệm thuộc khoảng của phương trình là:
A.
B.
C.
D.
Lời giải:
Ta có: cos 5x.cosx= cos4x. cos2x + 3cos2 x+ 1
Vậy các nghiệm thuộc khoảng (-π;π) của phương trình là x= -π/2; x= π/2
Chọn D
Câu 14:Phương trình: có nghiệm là:
A.
B.
C.
D.
Lời giải:
Chọn B.
Câu 15: Phương trình: có nghiệm là:
A.
B.
C.
D.
Lời giải:
Chọn B.
(199k) Xem Khóa học Toán 11 KNTTXem Khóa học Toán 11 CDXem Khóa học Toán 11 CTST
Xem thêm các dạng bài tập Toán lớp 11 có trong đề thi THPT Quốc gia khác:
- Giải phương trình lượng giác cơ bản
- Tìm nghiệm của phương trình lượng giác cơ bản trên khoảng (đoạn)
- Phương trình quy về phương trình lượng giác cơ bản
- Phương trình bậc nhất đối với hàm số lượng giác
- Phương trình quy về phương trình bậc nhất đối với hàm số lượng giác
- Phương trình bậc hai đối với hàm số lượng giác
- Tìm nghiệm của phương trình lượng giác trong khoảng, đoạn
Tủ sách VIETJACK shopee lớp 10-11 (cả 3 bộ sách):
Đã có app VietJack trên điện thoại, giải bài tập SGK, SBT Soạn văn, Văn mẫu, Thi online, Bài giảng....miễn phí. Tải ngay ứng dụng trên Android và iOS.
Theo dõi chúng tôi miễn phí trên mạng xã hội facebook và youtube:Nếu thấy hay, hãy động viên và chia sẻ nhé! Các bình luận không phù hợp với nội quy bình luận trang web sẽ bị cấm bình luận vĩnh viễn.
- Giải Tiếng Anh 11 Global Success
- Giải sgk Tiếng Anh 11 Smart World
- Giải sgk Tiếng Anh 11 Friends Global
- Lớp 11 - Kết nối tri thức
- Soạn văn 11 (hay nhất) - KNTT
- Soạn văn 11 (ngắn nhất) - KNTT
- Giải sgk Toán 11 - KNTT
- Giải sgk Vật Lí 11 - KNTT
- Giải sgk Hóa học 11 - KNTT
- Giải sgk Sinh học 11 - KNTT
- Giải sgk Lịch Sử 11 - KNTT
- Giải sgk Địa Lí 11 - KNTT
- Giải sgk Giáo dục KTPL 11 - KNTT
- Giải sgk Tin học 11 - KNTT
- Giải sgk Công nghệ 11 - KNTT
- Giải sgk Hoạt động trải nghiệm 11 - KNTT
- Giải sgk Giáo dục quốc phòng 11 - KNTT
- Giải sgk Âm nhạc 11 - KNTT
- Lớp 11 - Chân trời sáng tạo
- Soạn văn 11 (hay nhất) - CTST
- Soạn văn 11 (ngắn nhất) - CTST
- Giải sgk Toán 11 - CTST
- Giải sgk Vật Lí 11 - CTST
- Giải sgk Hóa học 11 - CTST
- Giải sgk Sinh học 11 - CTST
- Giải sgk Lịch Sử 11 - CTST
- Giải sgk Địa Lí 11 - CTST
- Giải sgk Giáo dục KTPL 11 - CTST
- Giải sgk Hoạt động trải nghiệm 11 - CTST
- Giải sgk Âm nhạc 11 - CTST
- Lớp 11 - Cánh diều
- Soạn văn 11 Cánh diều (hay nhất)
- Soạn văn 11 Cánh diều (ngắn nhất)
- Giải sgk Toán 11 - Cánh diều
- Giải sgk Vật Lí 11 - Cánh diều
- Giải sgk Hóa học 11 - Cánh diều
- Giải sgk Sinh học 11 - Cánh diều
- Giải sgk Lịch Sử 11 - Cánh diều
- Giải sgk Địa Lí 11 - Cánh diều
- Giải sgk Giáo dục KTPL 11 - Cánh diều
- Giải sgk Tin học 11 - Cánh diều
- Giải sgk Công nghệ 11 - Cánh diều
- Giải sgk Hoạt động trải nghiệm 11 - Cánh diều
- Giải sgk Giáo dục quốc phòng 11 - Cánh diều
- Giải sgk Âm nhạc 11 - Cánh diều


Giải bài tập SGK & SBT
Tài liệu giáo viên
Sách
Khóa học
Thi online
Hỏi đáp

