Phương trình quy về phương trình bậc nhất đối với hàm số lượng giác
Bài viết Phương trình quy về phương trình bậc nhất đối với hàm số lượng giác với phương pháp giải chi tiết giúp học sinh ôn tập, biết cách làm bài tập Phương trình quy về phương trình bậc nhất đối với hàm số lượng giác.
Phương trình quy về phương trình bậc nhất đối với hàm số lượng giác
(199k) Xem Khóa học Toán 11 KNTTXem Khóa học Toán 11 CDXem Khóa học Toán 11 CTST
A. Phương pháp giải
+ Cho một phương trình lượng giác để quy phương trình đó về phương trình bậc nhất đối với một hàm số lượng giác ta cần: sử dụng các công thức cộng; công thức nhân đôi; công thức biến đổi tổng thành tích và tích thành tổng...
+ Sau đó; áp dụng cách giải phương trình phương trình bậc nhất đối với một hàm số lượng giác để giải phương trình
B. Ví dụ minh họa
Ví dụ 1: Phương trình
có nghiệm là:
A.
B.
C.
D.
Lời giải
Chọn A.
Ví dụ 2: Giải phương trình sinx. cosx.(2cosx -1) = 0
A.
B.
C.
D. Đáp án khác
Lời giải
Ta có : sinx. cosx. (2cosx-1)=0
⇒ 2sinx.cosx. ( 2cosx- 1) = 0
⇒ sin2x. (2cosx- 1) = 0
+ Trường hợp 1. Nếu sin2x=0 ⇒ 2x=k.π nên x = kπ/2
+ trường hợp 2. Nếu 2cosx- 1 ⇒ cosx = 1/2 = cos π/3
Vậy nghiệm của phương trình đã cho là kπ/2; π/3+k2π và (-π)/3+k2π
Chọn A.
Ví dụ 3: Nghiệm của phương trình sinx.cosx =1 là:
A. x=k2π .
B. x=π/4 +kπ.
C. Phương trình vô nghiệm
D. Đáp án khác
Lời giải
Ta có: sinx. cosx= 1 ⇒ 2sinx.cosx= 2
⇒ sin2x= 2 ( vô lí vì với mọi x ta luôn có: - 1 ≤ sin2x ≤ 1)
Vậy phương trình đã cho vô nghiệm
Chọn C.
Ví dụ 4: Giải phương trình 8.sin x.cosx.cos2x + 1=0
A.
B.
C.
D.
Lời giải
Ta có; 8sinx. cosx.cos2x + 1 = 0
4sin2x.cos2x + 1= 0 ( vì 2sinx. cosx= sin2x)
2.sin4x+ 1= 0 ( vì 2.sin2x. cos2x= sin4x)
sin 4x= (- 1)/2 = sin (-π)/6
Chọn B.
Ví dụ 5: Giải phương trình
A.
B.
C.
D.
Lời giải
Ta có:
Chọn C.
Ví dụ 6: Giải phương trình cot2x.cotx= 1.
A.
B.
C.
D. Đáp án khác
Hướng dẫn giải:
Chọn D.
Ví dụ 7: Nghiệm của phương trình tan3x.cot2x = 1 là:
A.
B.
C. k <
D. Vô nghiệm.
Lời giải
Điều kiện:
Ta có: tan3x. cot 2x=1 ⇒ tan 3x= 1/cot2x
⇒ tan 3x= tan 2x ( vì tan2x.cot 2x = 1)
⇒ 3x= 2x+ kπ ⇒ x = kπ
Kết hợp với điều kiện suy ra phương trình đã cho vô nghiệm.
Chọn D.
Ví dụ 8. Phương trình: có nghiệm là:
A.
B.
C.
D.
Lời giải
Ta có :
Chọn B
Ví dụ 9. Nghiệm của phương trình cos4 x- sin4x là
Lời giải
Ta cos: cos4 x- sin4 x=0
⇒ ( cos2 x- sin2 x) ( cos2 x+ sin2 x) = 1
⇒ cos2x - sin2 x = 1 ( vì cos2x + sin2 x = 1)
⇒ cos2x= 1 ⇒ 2x= k2π
⇒ x= kπ
Chọn D.
Ví dụ 10: Phương trình 4cos2 x – 2sin2 x = 0 tương đương với phương trình nào sau đây?
A. 1+ 2sin2x = 0
B.2- 4sin2x = 0
C. 1+ 3cos2x= 0
D. 1- 2cos2x =0
Lời giải
Áp dụng công thức hạ bậc ta có:
4cos2 x – 2sin2 x=0
⇒ 2 . (1+ cos2x) – (1 – cos2x)= 0
⇒ 1 + 3cos2x=0
Chọn C .
Ví dụ 11: Phương trình
có nghiệm là:
A.
B.
C.
D.
Lời giải
Điều kiện
So sánh với điều kiện, ta nhận x= π/6+k.π/3.
Chọn B.
Ví dụ 12. Phương trình sin3x+ cos3 x+sin2x. cosx + cos2 x. sinx =
có nghiệm là:
A.
B.
C.
D.
Lời giải
Điều kiện:
Ta có: sin3x+ cos3 x+sin3x. cosx + cos3x. sinx =
⇒ ( sinx+ cosx). ( sin2 x- sinx. cosx+ cos2x)+ sinx. cosx ( sinx+ cosx)=
⇒ (sinx+ cosx) . (1 – sinx. cosx) + sinx. cosx.( sinx+ cosx) =
⇒ (sinx+ cosx) .( 1- sinx.cosx+ sinx. cosx)=
⇒ sinx+ cosx =
⇒ (sinx+ cosx)2 = 2sin2x
⇒ sin2x+ cos2x + 2sinx. cosx= 2sin2x
⇒ 1+ sin2x = 2sin2x ⇒ sin2x= 1
⇒ 2x= π/2+k2π ⇒ x= π/4+kπ
So sánh điều kiện ta có nghiệm phương trình là: x = π/4+kπ
Chọn B.
Ví dụ 13. Phương trình có nghiệm là:
A. .
B. .
C. .
D.Vô nghiệm.
Lời giải
⇒ 1- 2sin2 x.cos2x= sin2x+ cos2x
⇒ 1- 2sin2 x. cos2 x= 1
⇒ 2sin2x. cos2 x= 0 ⇒ sinx. cosx=0
⇒ sin2x= 0 ⇒ 2x=kπ
⇒ x= kπ/2 ( không thỏa mãn điều kiện)
Vậy phương trình đã cho vô nghiệm .
Chọn D.
Ví dụ 14. Giải phương trình: cos2x.cosx + sin3x. cosx= sin2x. sinx – sinx.cos3x
A.
B.
C.
D.
Lời giải
Ta có: cos2x.cosx + sin3x. cosx= sin2x. sinx – sinx. cos3x
⇒ ( cos2x. cosx – sin2x.sinx )+ (sin3x. cosx + sinx. cos3x) = 0
⇒ cos3x + sin4x= 0 ⇒ cos 3x = -sin 4x
⇒ cos3x= cos(π/2+4x)
Chọn C.
C. Bài tập vận dụng
Câu 1:Nghiệm của phương trình
là :
A.
B.
C.
D.
Lời giải:
Chọn A.
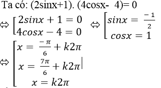
Câu 2:Phương trình (2sinx+1).(4cosx- 4)=0 có nghiệm là
A.
B.
C.
D.
Lời giải:
Chọn B
Câu 3: Nghiệm của phương trình sinx. cosx= cos(π/2-2x) là:
A. x=kπ
B. x=kπ/2
c. x=kπ/8
D.x=kπ/4
Lời giải:
Chọn B.
Câu 4:Giải phương trình: cos3x. cos 5x= cosx. cos7x.
A. x= kπ
B. x= kπ/4
C. x= kπ/2
D. Đáp án khác
Lời giải:
Ta có: cos 3x.cos 5x= cos x. cos 7x
⇒ 1/2(cos8x+cos2x)= 1/2( cos8x+cos6x)
⇒ cos8x+ cos2x= cos8x + cos6x
⇒ cos 2x= cos 6x
Vậy nghiệm của phương trình đã cho là x= kπ/4
Chọn B.
Câu 5:Tất cả các nghiệm của phương trình là
A.
B.
C.
D.
Lời giải:
Chọn A.
Câu 6:Giải phương trình 2sinx.cosx.(1+tanx).(1+cotx)= 2
A. x= k.π
B. x= k2π .
C. x= kπ/2.
D. Phương trình vô nghiệm
Lời giải:
Điều kiện:
⇒ (sinx+ cosx)2 = 1
⇒ sin2 x+ cos2 x+ 2sinx. cosx =1
⇒ 1+ 2sinx. cosx=1 ⇒ 2sinx. cosx= 0
⇒ sin2x= 0 (loại vì không thỏa mãn điều kiện )
Vậy phương trìn đã cho vô nghiệm.
Chọn C.
Câu 7:Nghiệm của phương trình sin 3x. cos 2x= 1/2 sin 5x
A.
B.
C.
D. x=kπ
Lời giải:
Ta có: sin3x.cos2x= 1/2.sin 5x
⇒ 1/2( sin5x + sinx) = 1/2 sin5x
⇒ 1/2 sinx= 0 ⇒ sinx=0
⇒ x=k.π
Chọn D.
Câu 8:Giải phương trình cos 4x+ cos 6x= cosx
A.
B.
C.
D.
Lời giải:
Ta có; cos 4x + cos6x= cosx
⇒ 2.cos 5x.cosx – cosx= 0
⇒ cos x. (2cos5x- 1) = 0
Chọn D.
Câu 9:Giải phương trình có các nghiệm là;
A.
B.
C.
D.
Lời giải:
Chọn A.
Câu 10:Tìm nghiệm của phương trình của phương trình
A.
B.
C.
D.
Lời giải:
Chọn B.
Câu 11:Giải phương trình sin4x + cos4 x= 3/4
A.
B.
C.
D.
Lời giải:
Chọn C.
Câu 12:Phương trình có nghiệm là:
A.
B.
C.
D.
Lời giải:
Chọn B
(199k) Xem Khóa học Toán 11 KNTTXem Khóa học Toán 11 CDXem Khóa học Toán 11 CTST
Xem thêm các dạng bài tập Toán lớp 11 có trong đề thi THPT Quốc gia khác:
- Giải phương trình lượng giác cơ bản
- Tìm nghiệm của phương trình lượng giác cơ bản trên khoảng (đoạn)
- Phương trình quy về phương trình lượng giác cơ bản
- Phương trình bậc nhất đối với hàm số lượng giác
- Phương trình bậc hai đối với hàm số lượng giác
- Phương trình quy về phương trình bậc hai đối với hàm số lượng giác
- Tìm nghiệm của phương trình lượng giác trong khoảng, đoạn
Tủ sách VIETJACK shopee lớp 10-11 (cả 3 bộ sách):
Đã có app VietJack trên điện thoại, giải bài tập SGK, SBT Soạn văn, Văn mẫu, Thi online, Bài giảng....miễn phí. Tải ngay ứng dụng trên Android và iOS.
Theo dõi chúng tôi miễn phí trên mạng xã hội facebook và youtube:Nếu thấy hay, hãy động viên và chia sẻ nhé! Các bình luận không phù hợp với nội quy bình luận trang web sẽ bị cấm bình luận vĩnh viễn.
- Giải Tiếng Anh 11 Global Success
- Giải sgk Tiếng Anh 11 Smart World
- Giải sgk Tiếng Anh 11 Friends Global
- Lớp 11 - Kết nối tri thức
- Soạn văn 11 (hay nhất) - KNTT
- Soạn văn 11 (ngắn nhất) - KNTT
- Giải sgk Toán 11 - KNTT
- Giải sgk Vật Lí 11 - KNTT
- Giải sgk Hóa học 11 - KNTT
- Giải sgk Sinh học 11 - KNTT
- Giải sgk Lịch Sử 11 - KNTT
- Giải sgk Địa Lí 11 - KNTT
- Giải sgk Giáo dục KTPL 11 - KNTT
- Giải sgk Tin học 11 - KNTT
- Giải sgk Công nghệ 11 - KNTT
- Giải sgk Hoạt động trải nghiệm 11 - KNTT
- Giải sgk Giáo dục quốc phòng 11 - KNTT
- Giải sgk Âm nhạc 11 - KNTT
- Lớp 11 - Chân trời sáng tạo
- Soạn văn 11 (hay nhất) - CTST
- Soạn văn 11 (ngắn nhất) - CTST
- Giải sgk Toán 11 - CTST
- Giải sgk Vật Lí 11 - CTST
- Giải sgk Hóa học 11 - CTST
- Giải sgk Sinh học 11 - CTST
- Giải sgk Lịch Sử 11 - CTST
- Giải sgk Địa Lí 11 - CTST
- Giải sgk Giáo dục KTPL 11 - CTST
- Giải sgk Hoạt động trải nghiệm 11 - CTST
- Giải sgk Âm nhạc 11 - CTST
- Lớp 11 - Cánh diều
- Soạn văn 11 Cánh diều (hay nhất)
- Soạn văn 11 Cánh diều (ngắn nhất)
- Giải sgk Toán 11 - Cánh diều
- Giải sgk Vật Lí 11 - Cánh diều
- Giải sgk Hóa học 11 - Cánh diều
- Giải sgk Sinh học 11 - Cánh diều
- Giải sgk Lịch Sử 11 - Cánh diều
- Giải sgk Địa Lí 11 - Cánh diều
- Giải sgk Giáo dục KTPL 11 - Cánh diều
- Giải sgk Tin học 11 - Cánh diều
- Giải sgk Công nghệ 11 - Cánh diều
- Giải sgk Hoạt động trải nghiệm 11 - Cánh diều
- Giải sgk Giáo dục quốc phòng 11 - Cánh diều
- Giải sgk Âm nhạc 11 - Cánh diều


Giải bài tập SGK & SBT
Tài liệu giáo viên
Sách
Khóa học
Thi online
Hỏi đáp

