Tìm nghiệm của phương trình lượng giác thỏa mãn điều kiện
Bài viết Tìm nghiệm của phương trình lượng giác thỏa mãn điều kiện với phương pháp giải chi tiết giúp học sinh ôn tập, biết cách làm bài tập Tìm nghiệm của phương trình lượng giác thỏa mãn điều kiện.
Tìm nghiệm của phương trình lượng giác thỏa mãn điều kiện
(199k) Xem Khóa học Toán 11 KNTTXem Khóa học Toán 11 CDXem Khóa học Toán 11 CTST
A. Ví dụ
Bài 1: Tìm tổng các nghiệm của phương trình sin(3x + π/3) = cos(2x - π/4) trong khoảng (- π , π )
Vậy tổng các nghiệm là: 9π/4
Bài 2: Tìm nghiệm nguyên của phương trình:
Thử lại ta có các nghiệm nguyên: x=-7 (k=-2); x=-31 (k=10)
B. Bài tập vận dụng
Bài 1: Tìm tổng các nghiệm của phương trình sin22x = cos2(3x - π/8) trong khoảng (- π , π )
Lời giải:
x ∈ (-π ,π ) ⇒ x = 5π /8; (-7π )/8; (-27π )/40; (-19π )/40; (-11π )/40; (-3π )/40; π /8; 13π /40; 21π /40; 29π /40; 37π /40
Tổng các nghiệm là: 7π/8
Bài 2: Tìm nghiệm dương nhỏ nhất của phương trình: sin22x + cos25x = 1.
Lời giải:
Bài 3: Tìm nghiệm âm lớn nhất của phương trình: (sinx + cosx)2 = 2cos23x.
Lời giải:
(sinx + cosx )2 = 2 cos23x
⇔ 1 + sin 2x = cos6x+1
⇔ sin2x = cos6x
Vậy nghiệm dương nhỏ nhất là: (-π)/8
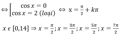
Bài 4: Tìm x ∈ [0,14] nghiệm đúng phương trình : cos3x – 4cos2x + 3cosx – 4 = 0.
Lời giải:
cos3x- 4 cos2x + 3 cosx - 4 = 0
⇔ 4 cos3x - 3 cosx- 8 cos2x + 4 + 3 cosx - 4 = 0
Bài 5: Tìm nghiệm nguyên dương của phương trình:
Lời giải:
(199k) Xem Khóa học Toán 11 KNTTXem Khóa học Toán 11 CDXem Khóa học Toán 11 CTST
Xem thêm các dạng bài tập Toán lớp 11 có trong đề thi THPT Quốc gia khác:
- Dạng 5: Phương trình lượng giác đối xứng, phản đối xứng
- Trắc nghiệm phương trình lượng giác đối xứng, phản đối xứng
- Dạng 6: Cách giải các phương trình lượng giác đặc biệt
- Trắc nghiệm giải các phương trình lượng giác đặc biệt
- Trắc nghiệm tìm nghiệm của phương trình lượng giác thỏa mãn điều kiện
- Dạng 8: Phương pháp loại nghiệm, hợp nghiệm trong phương trình lượng giác
- Trắc nghiệm phương pháp loại nghiệm, hợp nghiệm trong phương trình lượng giác
Tủ sách VIETJACK shopee lớp 10-11 (cả 3 bộ sách):
Đã có app VietJack trên điện thoại, giải bài tập SGK, SBT Soạn văn, Văn mẫu, Thi online, Bài giảng....miễn phí. Tải ngay ứng dụng trên Android và iOS.
Theo dõi chúng tôi miễn phí trên mạng xã hội facebook và youtube:Nếu thấy hay, hãy động viên và chia sẻ nhé! Các bình luận không phù hợp với nội quy bình luận trang web sẽ bị cấm bình luận vĩnh viễn.
- Giải Tiếng Anh 11 Global Success
- Giải sgk Tiếng Anh 11 Smart World
- Giải sgk Tiếng Anh 11 Friends Global
- Lớp 11 - Kết nối tri thức
- Soạn văn 11 (hay nhất) - KNTT
- Soạn văn 11 (ngắn nhất) - KNTT
- Giải sgk Toán 11 - KNTT
- Giải sgk Vật Lí 11 - KNTT
- Giải sgk Hóa học 11 - KNTT
- Giải sgk Sinh học 11 - KNTT
- Giải sgk Lịch Sử 11 - KNTT
- Giải sgk Địa Lí 11 - KNTT
- Giải sgk Giáo dục KTPL 11 - KNTT
- Giải sgk Tin học 11 - KNTT
- Giải sgk Công nghệ 11 - KNTT
- Giải sgk Hoạt động trải nghiệm 11 - KNTT
- Giải sgk Giáo dục quốc phòng 11 - KNTT
- Giải sgk Âm nhạc 11 - KNTT
- Lớp 11 - Chân trời sáng tạo
- Soạn văn 11 (hay nhất) - CTST
- Soạn văn 11 (ngắn nhất) - CTST
- Giải sgk Toán 11 - CTST
- Giải sgk Vật Lí 11 - CTST
- Giải sgk Hóa học 11 - CTST
- Giải sgk Sinh học 11 - CTST
- Giải sgk Lịch Sử 11 - CTST
- Giải sgk Địa Lí 11 - CTST
- Giải sgk Giáo dục KTPL 11 - CTST
- Giải sgk Hoạt động trải nghiệm 11 - CTST
- Giải sgk Âm nhạc 11 - CTST
- Lớp 11 - Cánh diều
- Soạn văn 11 Cánh diều (hay nhất)
- Soạn văn 11 Cánh diều (ngắn nhất)
- Giải sgk Toán 11 - Cánh diều
- Giải sgk Vật Lí 11 - Cánh diều
- Giải sgk Hóa học 11 - Cánh diều
- Giải sgk Sinh học 11 - Cánh diều
- Giải sgk Lịch Sử 11 - Cánh diều
- Giải sgk Địa Lí 11 - Cánh diều
- Giải sgk Giáo dục KTPL 11 - Cánh diều
- Giải sgk Tin học 11 - Cánh diều
- Giải sgk Công nghệ 11 - Cánh diều
- Giải sgk Hoạt động trải nghiệm 11 - Cánh diều
- Giải sgk Giáo dục quốc phòng 11 - Cánh diều
- Giải sgk Âm nhạc 11 - Cánh diều


Giải bài tập SGK & SBT
Tài liệu giáo viên
Sách
Khóa học
Thi online
Hỏi đáp

