Chuyên đề bồi dưỡng HSG Toán 6 Lũy thừa với số mũ tự nhiên (có lời giải)
Bài viết Chuyên đề bồi dưỡng HSG Toán 6 Lũy thừa với số mũ tự nhiên với bài tập tự luận, câu hỏi trắc nghiệm đúng sai, câu hỏi trả lời ngắn có lời giải chi tiết giúp Giáo viên có thêm tài liệu ôn thi Học sinh giỏi Toán 6.
Chuyên đề bồi dưỡng HSG Toán 6 Lũy thừa với số mũ tự nhiên (có lời giải)
Chỉ từ 250k mua trọn Chuyên đề bồi dưỡng HSG Toán 6 bản word có lời giải chi tiết:
- B1: gửi phí vào tk:
1133836868- CT TNHH DAU TU VA DV GD VIETJACK - Ngân hàng MB (QR) - B2: Nhắn tin tới Zalo VietJack Official - nhấn vào đây để thông báo và nhận giáo án
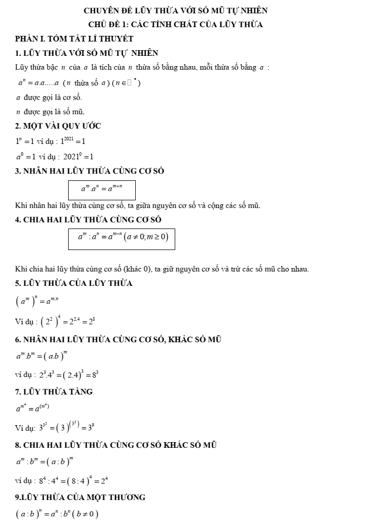
PHẦN I. TÓM TẮT LÍ THUYẾT
1. LŨY THỪA VỚI SỐ MŨ TỰ NHIÊN
Lũy thừa bậc n của a là tích của n thừa số bằng nhau, mỗi thừa số bằng a :
( n thừa số a) ()
a được gọi là cơ số.
n được gọi là số mũ.
2. MỘT VÀI QUY ƯỚC
ví dụ :
ví dụ :
3. NHÂN HAI LŨY THỪA CÙNG CƠ SỐ
Khi nhân hai lũy thừa cùng cơ số, ta giữa nguyên cơ số và cộng các số mũ.
4. CHIA HAI LŨY THỪA CÙNG CƠ SỐ
Khi chia hai lũy thừa cùng cơ số (khác 0), ta giữ nguyên cơ số và trừ các số mũ cho nhau.
5. LŨY THỪA CỦA LŨY THỪA
Ví dụ :
6. NHÂN HAI LŨY THỪA CÙNG CƠ SỐ, KHÁC SỐ MŨ
ví dụ :
7. LŨY THỪA TẦNG
Ví dụ:
8. CHIA HAI LŨY THỪA CÙNG CƠ SỐ KHÁC SỐ MŨ
ví dụ :
9.LŨY THỪA CỦA MỘT THƯƠNG
Ví dụ:
................................
................................
................................
Xem thêm các Chuyên đề bài tập bồi dưỡng Học sinh giỏi Toán 6 có đáp án hay khác:
- Chuyên đề: Số tự nhiên
- Chuyên đề: Phép chia hết và phép chia có dư
- Chuyên đề: Ước chung lớn nhất và bội chung nhỏ nhất
- Chuyên đề: Số nguyên tố và hợp số
- Chuyên đề: Số chính phương
- Chuyên đề: Số nguyên
- Chuyên đề: Phân số
- Chuyên đề: Số thập phân
- Chuyên đề: Dữ liệu và xác suất thực nghiệm
- Chuyên đề: Một số hình phẳng trong thực tiễn
- Chuyên đề: Hình học trực quan
- Chuyên đề: Điểm, đường thẳng, đoạn thẳng
- Chuyên đề: Nguyên lí Dirichlet
- Chuyên đề: Góc
Xem thêm các loạt bài Để học tốt Toán lớp 6 hay khác:
Đã có app VietJack trên điện thoại, giải bài tập SGK, SBT Soạn văn, Văn mẫu, Thi online, Bài giảng....miễn phí. Tải ngay ứng dụng trên Android và iOS.
Theo dõi chúng tôi miễn phí trên mạng xã hội facebook và youtube:Loạt bài Lý thuyết - Bài tập Toán lớp 6 có đầy đủ Lý thuyết và các dạng bài có lời giải chi tiết được biên soạn bám sát nội dung chương trình sgk Số học 6 và Hình học 6.
Nếu thấy hay, hãy động viên và chia sẻ nhé! Các bình luận không phù hợp với nội quy bình luận trang web sẽ bị cấm bình luận vĩnh viễn.
- Giải sgk Tiếng Anh 6 Global Success
- Giải sgk Tiếng Anh 6 Friends plus
- Giải sgk Tiếng Anh 6 Smart World
- Giải sgk Tiếng Anh 6 Explore English
- Lớp 6 - Kết nối tri thức
- Soạn Văn 6 (hay nhất) - KNTT
- Soạn Văn 6 (ngắn nhất) - KNTT
- Giải sgk Toán 6 - KNTT
- Giải sgk Khoa học tự nhiên 6 - KNTT
- Giải sgk Lịch Sử 6 - KNTT
- Giải sgk Địa Lí 6 - KNTT
- Giải sgk Giáo dục công dân 6 - KNTT
- Giải sgk Hoạt động trải nghiệm 6 - KNTT
- Giải sgk Tin học 6 - KNTT
- Giải sgk Công nghệ 6 - KNTT
- Giải sgk Âm nhạc 6 - KNTT
- Lớp 6 - Chân trời sáng tạo
- Soạn Văn 6 (hay nhất) - CTST
- Soạn Văn 6 (ngắn nhất) - CTST
- Giải sgk Toán 6 - CTST
- Giải sgk Khoa học tự nhiên 6 - CTST
- Giải sgk Lịch Sử 6 - CTST
- Giải sgk Địa Lí 6 - CTST
- Giải sgk Giáo dục công dân 6 - CTST
- Giải sgk Công nghệ 6 - CTST
- Giải sgk Hoạt động trải nghiệm 6 - CTST
- Giải sgk Âm nhạc 6 - CTST
- Lớp 6 - Cánh diều
- Soạn Văn 6 Cánh diều (hay nhất)
- Soạn Văn 6 Cánh diều (ngắn nhất)
- Giải sgk Toán 6 - Cánh diều
- Giải sgk Khoa học tự nhiên 6 - Cánh diều
- Giải sgk Lịch Sử 6 - Cánh diều
- Giải sgk Địa Lí 6 - Cánh diều
- Giải sgk Giáo dục công dân 6 - Cánh diều
- Giải sgk Hoạt động trải nghiệm 6 - Cánh diều
- Giải sgk Tin học 6 - Cánh diều
- Giải sgk Công nghệ 6 - Cánh diều
- Giải sgk Âm nhạc 6 - Cánh diều


Giải bài tập SGK & SBT
Tài liệu giáo viên
Sách
Khóa học
Thi online
Hỏi đáp

