Chuyên đề bồi dưỡng HSG Toán 6 Ước chung lớn nhất và bội chung nhỏ nhất (có lời giải)
Bài viết Chuyên đề bồi dưỡng HSG Toán 6 Ước chung lớn nhất và bội chung nhỏ nhất với bài tập tự luận, câu hỏi trắc nghiệm đúng sai, câu hỏi trả lời ngắn có lời giải chi tiết giúp Giáo viên có thêm tài liệu ôn thi Học sinh giỏi Toán 6.
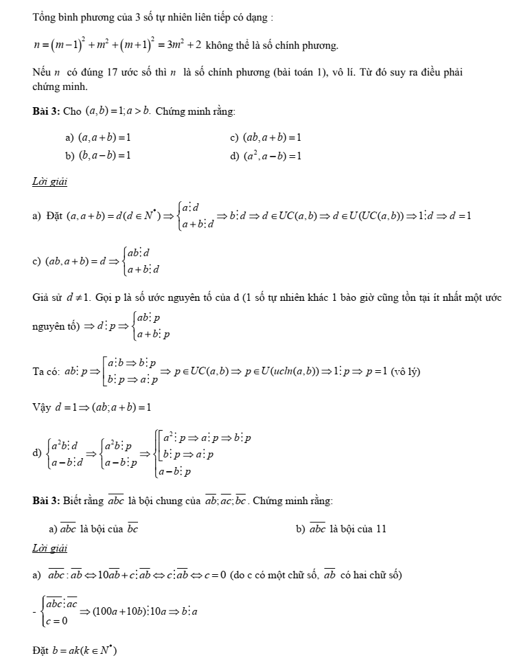
Chuyên đề bồi dưỡng HSG Toán 6 Ước chung lớn nhất và bội chung nhỏ nhất (có lời giải)
Chỉ từ 250k mua trọn Chuyên đề bồi dưỡng HSG Toán 6 bản word có lời giải chi tiết:
- B1: gửi phí vào tk:
1133836868- CT TNHH DAU TU VA DV GD VIETJACK - Ngân hàng MB (QR) - B2: Nhắn tin tới Zalo VietJack Official - nhấn vào đây để thông báo và nhận giáo án
PHẦN I. TÓM TẮT LÝ THUYẾT
1. ĐỊNH NGHĨA VỀ ƯỚC VÀ BỘI
Ước: Số tự nhiên d ≠ 0 được gọi là ước của số tự nhiên a khi và chỉ khi a chia hết cho d . Ta nói d là ước của a.
Nhận xét: Tập hợp các ước của a là Ư
Bội: Số tự nhiên m được gọi là bội của a ≠ 0 khi và chỉ khi m chia hết cho a hay a là một ước số m.
Nhận xét: Tập hợp các bội của a (a ≠ 0) là
2) Tính chất:
- Số 0 là bội của mọi số nguyên khác 0. Số 0 không phải là ước của bất kì số nguyên nào.
- Các số 1 và -1 là ước của mọi số nguyên.
- Nếu thì a là số nguyên tố.
- Số lượng các ước của một số: Nếu dạng phân tích ra thừa số nguyên tố của một số tự nhiên A là ax.bx.cx … thì số lượng các ước của A bằng (x + 1)(y+1)(z+1)…
Thật vậy ước của A là số có dạng mmp…trong đó:
m có x + 1 cách chọn (là 1, a, a2, .... ax)
n có y + 1 cách chọn (là 1, b, b2, .... bx)
p có z + 1 cách chọn (là 1, c, c2, .... cx),…
Do đó, số lượng các ước của A bằng (x + 1)(y+1)(z+1)
II. Ước chung và bội chung
1) Định nghĩa
Ước chung (ƯC): Nếu hai tập hợp Ư(a) và Ư(b) có những phần tử chung thì những phần tử đó gọi là ước số chung của a và b. Kí hiệu: ƯC(a, b).
Nhận xét: Nếu ƯC(a, b) = {1} thì a và b nguyên tố cùng nhau.
................................
................................
................................
Xem thêm các Chuyên đề bài tập bồi dưỡng Học sinh giỏi Toán 6 có đáp án hay khác:
- Chuyên đề: Số tự nhiên
- Chuyên đề: Lũy thừa với số mũ tự nhiên
- Chuyên đề: Phép chia hết và phép chia có dư
- Chuyên đề: Số nguyên tố và hợp số
- Chuyên đề: Số chính phương
- Chuyên đề: Số nguyên
- Chuyên đề: Phân số
- Chuyên đề: Số thập phân
- Chuyên đề: Dữ liệu và xác suất thực nghiệm
- Chuyên đề: Một số hình phẳng trong thực tiễn
- Chuyên đề: Hình học trực quan
- Chuyên đề: Điểm, đường thẳng, đoạn thẳng
- Chuyên đề: Nguyên lí Dirichlet
- Chuyên đề: Góc
Xem thêm các loạt bài Để học tốt Toán lớp 6 hay khác:
Đã có app VietJack trên điện thoại, giải bài tập SGK, SBT Soạn văn, Văn mẫu, Thi online, Bài giảng....miễn phí. Tải ngay ứng dụng trên Android và iOS.
Theo dõi chúng tôi miễn phí trên mạng xã hội facebook và youtube:Loạt bài Lý thuyết - Bài tập Toán lớp 6 có đầy đủ Lý thuyết và các dạng bài có lời giải chi tiết được biên soạn bám sát nội dung chương trình sgk Số học 6 và Hình học 6.
Nếu thấy hay, hãy động viên và chia sẻ nhé! Các bình luận không phù hợp với nội quy bình luận trang web sẽ bị cấm bình luận vĩnh viễn.
- Giải sgk Tiếng Anh 6 Global Success
- Giải sgk Tiếng Anh 6 Friends plus
- Giải sgk Tiếng Anh 6 Smart World
- Giải sgk Tiếng Anh 6 Explore English
- Lớp 6 - Kết nối tri thức
- Soạn Văn 6 (hay nhất) - KNTT
- Soạn Văn 6 (ngắn nhất) - KNTT
- Giải sgk Toán 6 - KNTT
- Giải sgk Khoa học tự nhiên 6 - KNTT
- Giải sgk Lịch Sử 6 - KNTT
- Giải sgk Địa Lí 6 - KNTT
- Giải sgk Giáo dục công dân 6 - KNTT
- Giải sgk Hoạt động trải nghiệm 6 - KNTT
- Giải sgk Tin học 6 - KNTT
- Giải sgk Công nghệ 6 - KNTT
- Giải sgk Âm nhạc 6 - KNTT
- Lớp 6 - Chân trời sáng tạo
- Soạn Văn 6 (hay nhất) - CTST
- Soạn Văn 6 (ngắn nhất) - CTST
- Giải sgk Toán 6 - CTST
- Giải sgk Khoa học tự nhiên 6 - CTST
- Giải sgk Lịch Sử 6 - CTST
- Giải sgk Địa Lí 6 - CTST
- Giải sgk Giáo dục công dân 6 - CTST
- Giải sgk Công nghệ 6 - CTST
- Giải sgk Hoạt động trải nghiệm 6 - CTST
- Giải sgk Âm nhạc 6 - CTST
- Lớp 6 - Cánh diều
- Soạn Văn 6 Cánh diều (hay nhất)
- Soạn Văn 6 Cánh diều (ngắn nhất)
- Giải sgk Toán 6 - Cánh diều
- Giải sgk Khoa học tự nhiên 6 - Cánh diều
- Giải sgk Lịch Sử 6 - Cánh diều
- Giải sgk Địa Lí 6 - Cánh diều
- Giải sgk Giáo dục công dân 6 - Cánh diều
- Giải sgk Hoạt động trải nghiệm 6 - Cánh diều
- Giải sgk Tin học 6 - Cánh diều
- Giải sgk Công nghệ 6 - Cánh diều
- Giải sgk Âm nhạc 6 - Cánh diều


Giải bài tập SGK & SBT
Tài liệu giáo viên
Sách
Khóa học
Thi online
Hỏi đáp

