Dạng bài tập về Lũy thừa với số mũ tự nhiên lớp 6 (hay, có lời giải)
Bài viết Lũy thừa với số mũ tự nhiên lớp 6 với phương pháp giải chi tiết giúp học sinh ôn tập, biết cách làm bài tập Lũy thừa với số mũ tự nhiên.
Dạng bài tập về Lũy thừa với số mũ tự nhiên lớp 6 (hay, có lời giải)
(199k) Xem Khóa học Toán 6 KNTTXem Khóa học Toán 6 CTSTXem Khóa học Toán 6 CD
A. Phương pháp giải
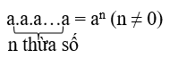
Áp dụng công thức :
Với a là cơ số, n là số mũ.
Chú ý: a2 còn gọi là a bình phương ( bình phương của a)
a3 còn gọi là a lập phương ( lập phương của a)
Quy ước a1 = a
B. Ví dụ minh họa
Ví dụ 1: Viết gọn các tích sau bằng cách dùng lũy thừa
a. 5.5.5.5.5.5
b. 2.2.2.3.3
Lời giải:
a) 5.5.5.5.5.5 = 56
b) 2.2.2.3.3 = 23.32
Ví dụ 2: Tính giá trị các lũy thừa sau:
a. 23,24,25,26,27,28,29,210;
b. 32,33,34,35
Lời giải:
a) 23 =2.2.2 = 8; 24 = 2.2.2.2 = 16;
Tương tự ta có 25 = 32; 26 = 64; 27 = 128;28 = 256; 29 = 512; 210 =1024
b) 32 = 9; 33 = 27;34 = 81; 35 = 243
Ví dụ 3: Bằng cách tính, hãy so sánh hai số sau
a. 23 và 32
b. 24 và 42
Lời giải:
a) 23 = 8 ; 32 = 9
Vì 8 < 9 nên 23 < 32
b) 24 = 16 ; 42 = 16 nên 24 = 42
Ví dụ 4: Viết gọn các tích sau dưới dạng lũy thừa
a. 2.4.8.8.8
b. x.x.x.x.x
Lời giải:
a) 2.4.8.8 = 2.2.2.2.2.2.2.2.2 = 29
b) x.x.x.x.x = x5
C. Bài tập trắc nghiệm
Câu 1: Thực hiện phép tính: 33 . 42
A. 423
B. 432
C. 324
D. 323
Lời giải:
Đáp án: B
33 . 42 = 3.3.3.4.4 = 27.16 = 432
Câu 2: Lũy thừa của 34 sẽ bằng?
A. 9
B. 27
C. 81
D. 243
Lời giải:
Đáp án: C
34 = 3.3.3.3 = 81
Câu 3: Lập phương của 7 được viết là:
A. 73
B. 37
C. 72
D. 27
Lời giải:
Đáp án: A
Lập phương của 7 (hay còn gọi là 7 lập phương) được viết: 73
Câu 4: Tìm số tự nhiên n thỏa mãn 3n = 81
A. n = 2
B. n = 3
C. n = 4
D. n = 8
Lời giải:
Đáp án: C
3n = 81
3n = 34
n = 4 ( hai lũy thừa có cùng cơ số có giá trị bằng nhau nếu hai số mũ bằng nhau)
vậy n = 4
Câu 5: 16 là lũy thừa của số tự nhiên nào, và có số mũ bằng bao nhiêu?
A. Lũy thừa của 2, số mũ bằng 4
B. Lũy thừa của 4, số mũ bằng 3
C. Lũy thừa của 2, số mũ bằng 3
D. Lũy thừa của 2, số mũ bằng 3
Lời giải:
Đáp án: A
16 = 4.4 = 2.2.2.2 = 24
Câu 6: Tích 10.10.10.100 được viết dưới dạng lũy thừa cơ số 10 là:
A. 105
B. 104
C. 1002
D. 205
Lời giải:
Đáp án: A
10.10.10.100 = 10.10.10.10.10 = 105
Câu 7: Viết gọn tích 5.5.5.5 dưới dạng lũy thừa ta được, chọn câu đúng nhất:
A. 54
B. 45
C. 252
D. 53
Lời giải:
Đáp án: A
5.5.5.5 = 54
Câu 8: Viết tích a.a.b.b dưới dạng một lũy thừa ta được:
A. a2.b2
B. a.b
C. 2a.2b
D. a2.b
Lời giải:
Đáp án: A
a. a.b.b = a2.b2
Câu 9: Chọn đáp án đúng?
A. 20201 = 2020
B. a.a.a.a = 4.a
C. 23 = 6
D. 42 = 8
Lời giải:
Đáp án: A
Quy ước: a1 = a
Nên A. 20201 = 2020 đúng
B. a.a.a.a = 4.a sai
vì a.a.a.a = a4
C. 23 = 6 sai
Vì 23 = 2.2.2 = 8
D. 42 = 8 sai
Vì 42 = 4.4 = 16
Câu 10: Lũy thừa của 103 bằng:
A. 100
B. 30
C. 100
D. 1000
Lời giải:
Đáp án: D
103 = 10.10.10 = 1000
D. Bài tập tự luyện
Bài 1. Tính giá trị của các biểu thức sau:
a) 34 : 32;
b) 24 . 22;
c) (24)2.
Bài 2. Viết các tích sau đây dưới dạng một lũy thừa của một số:
a) A = 82 . 325;
b) B = 32 . 94 . 729.
Bài 3. Viết kết quả phép tính dưới dạng một lũy thừa:
a) 243 : 33 : 3;
b) 48 : 64 : 16.
Bài 4. Thực hiện phép tính:
a) 23 – 53 : 52 + 12.22;
b) 142 - [50 - (23.10 - 23.5)]
Bài 5. Thực hiện phép tính:
a) 2 + 22 + 23 + 24 +...+ 2100;
b) 1 + 5 + 52 + 53 +...+ 5150.
(199k) Xem Khóa học Toán 6 KNTTXem Khóa học Toán 6 CTSTXem Khóa học Toán 6 CD
Xem thêm các dạng bài tập Toán lớp 6 chọn lọc, có đáp án chi tiết hay khác:
Số phần tử của một tập hợp, tập hợp con cực hay, có lời giải
Dạng bài tập về Phép cộng và phép nhân trên tập hợp số tự nhiên cực hay
Dạng bài tập về Phép trừ và phép chia trên tập hợp số tự nhiên cực hay
Dạng bài tập về Nhân chia hai lũy thừa cùng cơ số cực hay, có lời giải
Dạng bài tập về Thứ tự thực hiện phép tính cực hay, có lời giải
Xem thêm các loạt bài Để học tốt Toán lớp 6 hay khác:
Tủ sách VIETJACK shopee lớp 6-8 (2025):
Đã có app VietJack trên điện thoại, giải bài tập SGK, SBT Soạn văn, Văn mẫu, Thi online, Bài giảng....miễn phí. Tải ngay ứng dụng trên Android và iOS.
Theo dõi chúng tôi miễn phí trên mạng xã hội facebook và youtube:Loạt bài Lý thuyết - Bài tập Toán lớp 6 có đầy đủ Lý thuyết và các dạng bài có lời giải chi tiết được biên soạn bám sát nội dung chương trình sgk Số học 6 và Hình học 6.
Nếu thấy hay, hãy động viên và chia sẻ nhé! Các bình luận không phù hợp với nội quy bình luận trang web sẽ bị cấm bình luận vĩnh viễn.
- Giải sgk Tiếng Anh 6 Global Success
- Giải sgk Tiếng Anh 6 Friends plus
- Giải sgk Tiếng Anh 6 Smart World
- Giải sgk Tiếng Anh 6 Explore English
- Lớp 6 - Kết nối tri thức
- Soạn Văn 6 (hay nhất) - KNTT
- Soạn Văn 6 (ngắn nhất) - KNTT
- Giải sgk Toán 6 - KNTT
- Giải sgk Khoa học tự nhiên 6 - KNTT
- Giải sgk Lịch Sử 6 - KNTT
- Giải sgk Địa Lí 6 - KNTT
- Giải sgk Giáo dục công dân 6 - KNTT
- Giải sgk Hoạt động trải nghiệm 6 - KNTT
- Giải sgk Tin học 6 - KNTT
- Giải sgk Công nghệ 6 - KNTT
- Giải sgk Âm nhạc 6 - KNTT
- Lớp 6 - Chân trời sáng tạo
- Soạn Văn 6 (hay nhất) - CTST
- Soạn Văn 6 (ngắn nhất) - CTST
- Giải sgk Toán 6 - CTST
- Giải sgk Khoa học tự nhiên 6 - CTST
- Giải sgk Lịch Sử 6 - CTST
- Giải sgk Địa Lí 6 - CTST
- Giải sgk Giáo dục công dân 6 - CTST
- Giải sgk Công nghệ 6 - CTST
- Giải sgk Hoạt động trải nghiệm 6 - CTST
- Giải sgk Âm nhạc 6 - CTST
- Lớp 6 - Cánh diều
- Soạn Văn 6 Cánh diều (hay nhất)
- Soạn Văn 6 Cánh diều (ngắn nhất)
- Giải sgk Toán 6 - Cánh diều
- Giải sgk Khoa học tự nhiên 6 - Cánh diều
- Giải sgk Lịch Sử 6 - Cánh diều
- Giải sgk Địa Lí 6 - Cánh diều
- Giải sgk Giáo dục công dân 6 - Cánh diều
- Giải sgk Hoạt động trải nghiệm 6 - Cánh diều
- Giải sgk Tin học 6 - Cánh diều
- Giải sgk Công nghệ 6 - Cánh diều
- Giải sgk Âm nhạc 6 - Cánh diều


Giải bài tập SGK & SBT
Tài liệu giáo viên
Sách
Khóa học
Thi online
Hỏi đáp

