Lý thuyết Cộng, trừ đa thức lớp 7 (hay, chi tiết)
Bài viết Lý thuyết Cộng, trừ đa thức lớp 7 hay, chi tiết giúp bạn nắm vững kiến thức trọng tâm Cộng, trừ đa thức.
Lý thuyết Cộng, trừ đa thức lớp 7 (hay, chi tiết)
(199k) Xem Khóa học Toán 7 KNTTXem Khóa học Toán 7 CTSTXem Khóa học Toán 7 CD
A. Lý thuyết
Để cộng (hay trừ) hai đa thức, ta làm như sau:
• Bước 1: Viết hai đa thức trong dấu ngoặc.
• Bước 2: Thực hiện bỏ dấu ngoặc (theo quy tắc dấu ngoặc).
• Bước 3: Nhóm các hạng tử đồng dạng.
• Bước 4: Cộng, trừ các đơn thức đồng dạng.
Ví dụ 1: Cộng hai đa thức M = 5x2y + 5x + 3 và N = xyz - 4x2y + 5x - 1/2
Ta có:
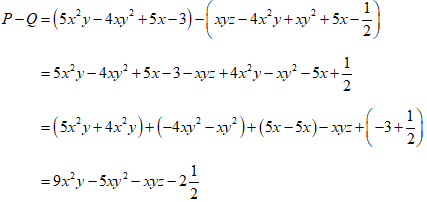
Ví dụ 2: Trừ hai đa thức P = 5x2y - 4xy2 + 5x - 3 và Q = xyz - 4x2y + xy2 + 5x - 1/2
Ta có:
Ví dụ 3: Tính tổng của 3x2y - x3 - 2xy2 + 5 và 2x3 - 3xy2 - x2y + xy + 6
Hướng dẫn giải:
Tổng của hai đa thức là:
Ví dụ 4: Viết một đa thức bậc 3 có chứa ba biến và có bốn hạng tử
Hướng dẫn giải:
Có nhiều cách viết chẳng hạn như:
B. Bài tập
Bài 1: Tìm đa thức M biết
a) M - (2x3 - 4xy + 6y2) = x2 + 3xy - y2
b) (2x2 - 4xy + y2) + M = 0
c) (2x2 -7xy + 3y2) - 2M = 4x2 - 5xy + 9y2
Lời giải:
Bài 2: Tính giá trị của các đa thức sau
a) 2x3 + y2 + 2xy - 3y3 + 2x3 + 3y3 - 3x3 tại x = 4; y = 5
b) x6y6 - x4y4 + x2y - xy + 1 tại x = 1; y = -1
Lời giải:
a) Ta có : 2x3 + y2 + 2xy - 3y3 + 2x3 + 3y3 - 3x3
= (2x3 + 2x3 - 3x3) + y2 + 2xy + (-3y3 + 3y3)
= x3 + y2 + 2xy
Tại x = 4, y = 5, ta có:
43 + 52 + 2.4.5 = 64 + 25 + 40 = 129
b) Ta có: x6y6 - x4y4 + x2y - xy + 1
Tại x = 1, y = -1 ta có:
(1)6.(-1)6 - (1)4.(-1)4 + (1)2.(-1) - 1.(-1) + 1 = 1 - 1 - 1 + 1 + 1 = 1
C. Bài tập tự luyện
Bài 1. Cho hai đa thức P(x) = x4 + 2x3 + x – 2; Q(x) = −2x4 – x3 + x2 + 1. Tính tổng của hai đa thức theo hai cách.
Hướng dẫn giải:
Ta có:
P(x) + Q(x) = (x4 + 2x3 + x – 2) + (−2x4 – x3 + x2 + 1)
= x4 + 2x3 + x – 2 – 2x4 – x3 + x2 + 1
= (x4 – 2x4) + (2x3 – x3) + x2 + x + (−2 + 1)
= −x4 + x3 + x2 + x – 1
Bài 2. Cho hai đa thức:
P(x) = 2x3 – 3x2 + x;
Q(x) = x3 – x2 + 2x + 1.
Tính P(x) + Q(x); P(x) – Q(x).
Hướng dẫn giải:
P(x) + Q(x) = (2x3 – 3x2 + x) + (x3 – x2 + 2x + 1)
= 2x3 – 3x2 + x + x3 – x2 + 2x + 1
= 3x3 – 4x2 + 3x + 1
P(x) – Q(x) = (2x3 – 3x2 + x) – (x3 – x2 + 2x + 1)
= 2x3 – 3x2 + x – x3 + x2 – 2x – 1
= x3 – 2x2 – x – 1.
Bài 3. Cho hai đa thức: P(x) = 2x4 + 2x3 – 3x2 + x + 6; Q(x) = x4 – x3 – x2 + 2x + 1.
Tính P(x) + Q(x); P(x) – Q(x).
Hướng dẫn giải:
P(x) + Q(x) = (2x4 + 2x3 – 3x2 + x + 6) + (x4 – x3 – x2 + 2x + 1)
= 2x4 + 2x3 – 3x2 + x + 6 + x4 – x3 – x2 + 2x + 1
= 3x4 + x3 – 4x2 + 3x + 7
P(x) – Q(x) = (2x4 + 2x3 – 3x2 + x + 6) – (x4 – x3 – x2 + 2x + 1)
= 2x4 + 2x3 – 3x2 + x + 6 – x4 + x3 + x2 – 2x – 1
= x4 + 3x3 – 2x2 – x + 5
Bài 4. Cho hai đa thức:
P(x) = x3 – 2x2 + x – 5
Q(x) = −x3 + 2x2 + 3x – 9
Tính P(x) + Q(x); P(x) – Q(x)
Hướng dẫn giải:
P(x) + Q(x) = (x3 – 2x2 + x – 5) + (−x3 + 2x2 + 3x – 9)
= x3 – 2x2 + x – 5 − x3 + 2x2 + 3x – 9
= 4x – 14
P(x) – Q(x) = (x3 – 2x2 + x – 5) + (−x3 + 2x2 + 3x – 9)
= x3 – 2x2 + x – 5 + x3 – 2x2 – 3x + 9
= 2x3 – 4x2 – 2x + 4
Bài 5. Cho hai đa thức:
P(x) = 5x3 + x2 – x + 3; Q(x) = x3 – 2x2 + 3x + 2.
Tính P(x) + Q(x); P(x) – Q(x).
Hướng dẫn giải:
P(x) + Q(x) = (5x3 + x2 – x + 3) + (x3 – 2x2 + 3x + 2)
= 5x3 + x2 – x + 3 + x3 – 2x2 + 3x + 2
= 6x3 – x2 + 2x + 5
P(x) – Q(x) = (5x3 + x2 – x + 3) – (x3 – 2x2 + 3x + 2)
= 5x3 + x2 – x + 3 – x3 + 2x2 – 3x – 2
= 4x3 + 3x2 – 4x + 1
Bài 6. Cho hai đa thức F(x) = 3x2 + 2x – 5 và G(x) = −3x2 – 2x + 2. Tính
H(x) = F(x) + G(x) và tìm bậc của H(x).
Bài 7. Cho các đa thức A(x) = −x3 + 3x + 2; B(x) = 4x2 – 5x + 3; C(x) = 3x2 + 2x + 1. Tính A(x) – B(x) – C(x).
Bài 8. Tính và tìm bậc của đa thức:
Bài 9. Tính giá trị của đa thức A tại x = 1 và y = −2 biết:
A = (19xy – 7x3y + 9x2) – (10xy – 2x3y – 9x2) + (12x2y – 4x2).
Bài 10. Cho hai đa thức M = 4xy – 6x3 + 7x2 – 12y3 + 38y2 + 10x – 15y + 22;
N = 7x3 – 18y2 + 24xy + 6x2 – 13y2 + 27. Tính C = 2M + N.
(199k) Xem Khóa học Toán 7 KNTTXem Khóa học Toán 7 CTSTXem Khóa học Toán 7 CD
Xem thêm các phần lý thuyết, các dạng bài tập Toán lớp 7 có đáp án chi tiết hay khác:
- Lý thuyết Đa thức một biến
- Bài tập Đa thức một biến
- Lý thuyết Cộng, trừ đa thức một biến
- Bài tập Cộng, trừ đa thức một biến
- Lý thuyết Nghiệm của đa thức một biến
- Bài tập Nghiệm của đa thức một biến
Lời giải bài tập lớp 7 sách mới:
- Giải bài tập Lớp 7 Kết nối tri thức
- Giải bài tập Lớp 7 Chân trời sáng tạo
- Giải bài tập Lớp 7 Cánh diều
Tủ sách VIETJACK shopee lớp 6-8 (2025):
Đã có app VietJack trên điện thoại, giải bài tập SGK, SBT Soạn văn, Văn mẫu, Thi online, Bài giảng....miễn phí. Tải ngay ứng dụng trên Android và iOS.
Theo dõi chúng tôi miễn phí trên mạng xã hội facebook và youtube:Loạt bài Lý thuyết - Bài tập Toán lớp 7 có đầy đủ Lý thuyết và các dạng bài có lời giải chi tiết được biên soạn bám sát nội dung chương trình sgk Đại số 7 và Hình học 7.
Nếu thấy hay, hãy động viên và chia sẻ nhé! Các bình luận không phù hợp với nội quy bình luận trang web sẽ bị cấm bình luận vĩnh viễn.
- Giải Tiếng Anh 7 Global Success
- Giải Tiếng Anh 7 Friends plus
- Giải sgk Tiếng Anh 7 Smart World
- Giải Tiếng Anh 7 Explore English
- Lớp 7 - Kết nối tri thức
- Soạn văn 7 (hay nhất) - KNTT
- Soạn văn 7 (ngắn nhất) - KNTT
- Giải sgk Toán 7 - KNTT
- Giải sgk Khoa học tự nhiên 7 - KNTT
- Giải sgk Lịch Sử 7 - KNTT
- Giải sgk Địa Lí 7 - KNTT
- Giải sgk Giáo dục công dân 7 - KNTT
- Giải sgk Tin học 7 - KNTT
- Giải sgk Công nghệ 7 - KNTT
- Giải sgk Hoạt động trải nghiệm 7 - KNTT
- Giải sgk Âm nhạc 7 - KNTT
- Lớp 7 - Chân trời sáng tạo
- Soạn văn 7 (hay nhất) - CTST
- Soạn văn 7 (ngắn nhất) - CTST
- Giải sgk Toán 7 - CTST
- Giải sgk Khoa học tự nhiên 7 - CTST
- Giải sgk Lịch Sử 7 - CTST
- Giải sgk Địa Lí 7 - CTST
- Giải sgk Giáo dục công dân 7 - CTST
- Giải sgk Công nghệ 7 - CTST
- Giải sgk Tin học 7 - CTST
- Giải sgk Hoạt động trải nghiệm 7 - CTST
- Giải sgk Âm nhạc 7 - CTST
- Lớp 7 - Cánh diều
- Soạn văn 7 (hay nhất) - Cánh diều
- Soạn văn 7 (ngắn nhất) - Cánh diều
- Giải sgk Toán 7 - Cánh diều
- Giải sgk Khoa học tự nhiên 7 - Cánh diều
- Giải sgk Lịch Sử 7 - Cánh diều
- Giải sgk Địa Lí 7 - Cánh diều
- Giải sgk Giáo dục công dân 7 - Cánh diều
- Giải sgk Công nghệ 7 - Cánh diều
- Giải sgk Tin học 7 - Cánh diều
- Giải sgk Hoạt động trải nghiệm 7 - Cánh diều
- Giải sgk Âm nhạc 7 - Cánh diều


Giải bài tập SGK & SBT
Tài liệu giáo viên
Sách
Khóa học
Thi online
Hỏi đáp

