Bài tập Đơn thức đồng dạng lớp 7 (có đáp án)
Bài viết bài tập Đơn thức đồng dạng lớp 7 với phương pháp giải chi tiết giúp học sinh ôn tập, biết cách làm bài tập Đơn thức đồng dạng.
Bài tập Đơn thức đồng dạng lớp 7 (có đáp án)
(199k) Xem Khóa học Toán 7 KNTTXem Khóa học Toán 7 CTSTXem Khóa học Toán 7 CD
Bài 1: Có mấy nhóm đơn thức đồng dạng với nhau trong các đơn thức sau:
A. 2 B. 3 C. 4 D. 5
Lời giải:
Các đơn thức đồng dạng:
Chọn đáp án B
Bài 2: Tìm các cặp đơn thức không đồng dạng
Lời giải:
Ta có không đồng dạng với 32x2y3
Chọn đáp án B
Bài 3: Đơn thức đồng dạng với đơn thức 32x2y3 là:
A. -3x3y2 B. -7x2y3 C. (1/3)x5 D. -x4y6
Lời giải:
Đơn thức đồng dạng với đơn thức 3x2y3 là -7x2y3 vì hai đơn thức này có chung phần biến x2y3 và có hệ số khác 0.
Chọn đáp án B
Bài 4: Tổng các đơn thức 3x2y4 và 7x2y4 là
A. 10x2y4 B. 9x2y4 C. 8x2y4 D. -x4y6
Lời giải:
Ta có : 3x2y4 + 7x2y4 = 10x2y4
Chọn đáp án A
Bài 5: Hiệu của hai đơn thức 4x3y và -2x3y là
A. -6x3y B. 3x3y C. 2x3y D. 6x3y
Lời giải:
Ta có 4x3y - (-2x3y) = 4x3y + 2x3y = 6x3y
Chọn đáp án D
Bài 6: Thu gọn -3x2 - 0,5x2 + 2,5x2 ta được:
A. -2x2 B. x2 C. -x2 D. -3x2
Lời giải:
Ta có : -3x2 - 0,5x2 + 2,5x2 = (-3 - 0,5 + 2,5)2 = -x2
Chọn đáp án C
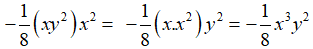
Bài 7: Tính giá trị của biểu thức sau tại x = -1 và y = 1
Lời giải:
Ta có:
Chọn đáp án A
Bài 8: Tổng của hai đơn thức 2x2y2xy và -5x3y3 là
A. 72y2
B. 73y3
C. 33y3
D. -33y3
Lời giải:
Ta có:
Chọn đáp án D
Bài 9: Tổng của tích hai đơn thức với đơn thức 2x2y4z3 là
A. 2x2y4z3
B. 3x2y4z3
C. 4x2y4z3
D. 5x2y4z3
Lời giải:
Tích của hai đơn thức là:
Chọn đáp án B
Bài 10: Tính giá trị của biểu thức N = 1000x2020y2021 + 2000x2020y2021 tại x = 1 và y = 1
A. N = 1000
B. N = 2000
C. N = 3000
D. N = 4000
Lời giải:
Ta có:
Thay x = 1 và y = 1 vào N ta được
N = 3000.12020.12021 = 3000
Chọn đáp án C
(199k) Xem Khóa học Toán 7 KNTTXem Khóa học Toán 7 CTSTXem Khóa học Toán 7 CD
Xem thêm các phần lý thuyết, các dạng bài tập Toán lớp 7 có đáp án chi tiết hay khác:
- Lý thuyết Đa thức
- Bài tập Đa thức
- Lý thuyết Cộng, trừ đa thức
- Bài tập Cộng, trừ đa thức
- Lý thuyết Đa thức một biến
- Bài tập Đa thức một biến
Lời giải bài tập lớp 7 sách mới:
- Giải bài tập Lớp 7 Kết nối tri thức
- Giải bài tập Lớp 7 Chân trời sáng tạo
- Giải bài tập Lớp 7 Cánh diều
Tủ sách VIETJACK shopee lớp 6-8 (2025):
Đã có app VietJack trên điện thoại, giải bài tập SGK, SBT Soạn văn, Văn mẫu, Thi online, Bài giảng....miễn phí. Tải ngay ứng dụng trên Android và iOS.
Theo dõi chúng tôi miễn phí trên mạng xã hội facebook và youtube:Loạt bài Lý thuyết - Bài tập Toán lớp 7 có đầy đủ Lý thuyết và các dạng bài có lời giải chi tiết được biên soạn bám sát nội dung chương trình sgk Đại số 7 và Hình học 7.
Nếu thấy hay, hãy động viên và chia sẻ nhé! Các bình luận không phù hợp với nội quy bình luận trang web sẽ bị cấm bình luận vĩnh viễn.
- Giải Tiếng Anh 7 Global Success
- Giải Tiếng Anh 7 Friends plus
- Giải sgk Tiếng Anh 7 Smart World
- Giải Tiếng Anh 7 Explore English
- Lớp 7 - Kết nối tri thức
- Soạn văn 7 (hay nhất) - KNTT
- Soạn văn 7 (ngắn nhất) - KNTT
- Giải sgk Toán 7 - KNTT
- Giải sgk Khoa học tự nhiên 7 - KNTT
- Giải sgk Lịch Sử 7 - KNTT
- Giải sgk Địa Lí 7 - KNTT
- Giải sgk Giáo dục công dân 7 - KNTT
- Giải sgk Tin học 7 - KNTT
- Giải sgk Công nghệ 7 - KNTT
- Giải sgk Hoạt động trải nghiệm 7 - KNTT
- Giải sgk Âm nhạc 7 - KNTT
- Lớp 7 - Chân trời sáng tạo
- Soạn văn 7 (hay nhất) - CTST
- Soạn văn 7 (ngắn nhất) - CTST
- Giải sgk Toán 7 - CTST
- Giải sgk Khoa học tự nhiên 7 - CTST
- Giải sgk Lịch Sử 7 - CTST
- Giải sgk Địa Lí 7 - CTST
- Giải sgk Giáo dục công dân 7 - CTST
- Giải sgk Công nghệ 7 - CTST
- Giải sgk Tin học 7 - CTST
- Giải sgk Hoạt động trải nghiệm 7 - CTST
- Giải sgk Âm nhạc 7 - CTST
- Lớp 7 - Cánh diều
- Soạn văn 7 (hay nhất) - Cánh diều
- Soạn văn 7 (ngắn nhất) - Cánh diều
- Giải sgk Toán 7 - Cánh diều
- Giải sgk Khoa học tự nhiên 7 - Cánh diều
- Giải sgk Lịch Sử 7 - Cánh diều
- Giải sgk Địa Lí 7 - Cánh diều
- Giải sgk Giáo dục công dân 7 - Cánh diều
- Giải sgk Công nghệ 7 - Cánh diều
- Giải sgk Tin học 7 - Cánh diều
- Giải sgk Hoạt động trải nghiệm 7 - Cánh diều
- Giải sgk Âm nhạc 7 - Cánh diều


Giải bài tập SGK & SBT
Tài liệu giáo viên
Sách
Khóa học
Thi online
Hỏi đáp

