Bài tập Tỉ lệ thức lớp 7 (có đáp án)
Bài viết bài tập Tỉ lệ thức lớp 7 với phương pháp giải chi tiết giúp học sinh ôn tập, biết cách làm bài tập Tỉ lệ thức.
Bài tập Tỉ lệ thức lớp 7 (có đáp án)
(199k) Xem Khóa học Toán 7 KNTTXem Khóa học Toán 7 CTSTXem Khóa học Toán 7 CD
1. Bài tập trắc nghiệm
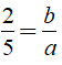
Bài 1: Chọn câu đúng. Nếu thì
A. a = c B. a.c = b.d C. a.d = b.c D. b = d
Lời giải:
Ta có: Nếu thì a.d = b.c
Chọn đáp án C.
Bài 2: Chỉ ra đáp án sai: Từ tỉ lệ thức ta có tỉ lệ thức sau:
Lời giải:
Ta có ở đáp án C: 35.5 ≠ 9.63 do đó:
Chọn đáp án C.
Bài 3: Các tỉ số nào sau đây lập thành một tỉ lệ thức?
Lời giải:
Chọn đáp án D.
Bài 4: Các tỉ lệ thức có thể có được từ đẳng thức 5.(-27) = (-9).15 là?
Lời giải:
Chọn đáp án A.
Bài 5: Cho bốn số 2, 5, a, b với a, b ≠ 0 và 2a = 5b , một tỉ lệ thức đúng được thiết lập từ bốn số trên?
Lời giải:
Ta có: 2a = 5b nên có tỉ lệ thức
Chọn đáp án C.
Bài 6: Tìm x biết
A. x = -9
B. x = -5
C. x = -3
D. x = -2
Lời giải:
Chọn đáp án A
Bài 7: Có bao nhiêu tỉ số bằng nhau trong các tỉ số sau:
A. 0
B. 1
C. 2
D. 3
Lời giải:
Chọn đáp án C
Bài 8: Có thể lập được bao nhiêu tỉ lệ thức từ các số sau: 5; 25; 125; 625
A. 0
B. 4
C. 8
D. 12
Lời giải:
Ta có:
Chọn đáp án B
Bài 9: Tìm x biết
A. x = -6
B. x = 6
C. x ∈ {-6; 6}
D. Đáp án khác
Lời giải:
Ta có:
Suy ra, x = - 6 hoặc x = 6
Chọn đáp án C
Bài 10: Có bao nhiêu cặp (x,y) thỏa mãn và xy = 112:
A. 0
B. 1
C. 2
D. 3
Lời giải:
Giả sử:
Vậy có hai cặp (x,y) thỏa mãn đề bài
Chọn đáp án C
2. Bài tập tự luyện
Bài 1. Lập tất cả các tỉ lệ thức có thể có từ các đẳng thức sau:
a) 12.20 = 15.16;
b)
c) 2,4.3,2 = 8.0,96.
Bài 2. Tìm số hữu tỉ x trong tỉ lệ thức:
a) 0,4 : 0,12 = x : 0,9;
b)
c)
Bài 3. Cho tỉ lệ thức . Tìm giá trị của tỉ số .
Bài 4. Có 3 đội A; B; C có tất cả 130 người đi trồng cây. Biết rằng số cây mỗi người đội A; B; C trồng được theo thứ tự là 2; 3; 4 cây. Biết số cây mỗi đội trồng được như nhau. Hỏi mỗi đội có bao nhiêu người đi trồng cây?
Bài 5. Ba đội máy cày, cày ba cánh đồng cùng diện tích. Đội thứ nhất cày xong trong 2 ngày, đội thứ hai trong 4 ngày, đội thứ 3 trong 6 ngày. Hỏi mỗi đội có bao nhiêu máy, biết rằng ba đội có tất cả 33 máy.
(199k) Xem Khóa học Toán 7 KNTTXem Khóa học Toán 7 CTSTXem Khóa học Toán 7 CD
Xem thêm các phần lý thuyết, các dạng bài tập Toán lớp 7 có đáp án chi tiết hay khác:
- Lý thuyết Tính chất của dãy tỉ số bằng nhau
- Bài tập Tính chất của dãy tỉ số bằng nhau
- Lý thuyết Số thập phân hữu hạn. Số thập phân vô hạn tuần hoàn
- Bài tập Số thập phân hữu hạn. Số thập phân vô hạn tuần hoàn
- Lý thuyết Làm tròn số
- Bài tập Làm tròn số
Lời giải bài tập lớp 7 sách mới:
- Giải bài tập Lớp 7 Kết nối tri thức
- Giải bài tập Lớp 7 Chân trời sáng tạo
- Giải bài tập Lớp 7 Cánh diều
Tủ sách VIETJACK shopee lớp 6-8 (2025):
Đã có app VietJack trên điện thoại, giải bài tập SGK, SBT Soạn văn, Văn mẫu, Thi online, Bài giảng....miễn phí. Tải ngay ứng dụng trên Android và iOS.
Theo dõi chúng tôi miễn phí trên mạng xã hội facebook và youtube:Loạt bài Lý thuyết - Bài tập Toán lớp 7 có đầy đủ Lý thuyết và các dạng bài có lời giải chi tiết được biên soạn bám sát nội dung chương trình sgk Đại số 7 và Hình học 7.
Nếu thấy hay, hãy động viên và chia sẻ nhé! Các bình luận không phù hợp với nội quy bình luận trang web sẽ bị cấm bình luận vĩnh viễn.
- Giải Tiếng Anh 7 Global Success
- Giải Tiếng Anh 7 Friends plus
- Giải sgk Tiếng Anh 7 Smart World
- Giải Tiếng Anh 7 Explore English
- Lớp 7 - Kết nối tri thức
- Soạn văn 7 (hay nhất) - KNTT
- Soạn văn 7 (ngắn nhất) - KNTT
- Giải sgk Toán 7 - KNTT
- Giải sgk Khoa học tự nhiên 7 - KNTT
- Giải sgk Lịch Sử 7 - KNTT
- Giải sgk Địa Lí 7 - KNTT
- Giải sgk Giáo dục công dân 7 - KNTT
- Giải sgk Tin học 7 - KNTT
- Giải sgk Công nghệ 7 - KNTT
- Giải sgk Hoạt động trải nghiệm 7 - KNTT
- Giải sgk Âm nhạc 7 - KNTT
- Lớp 7 - Chân trời sáng tạo
- Soạn văn 7 (hay nhất) - CTST
- Soạn văn 7 (ngắn nhất) - CTST
- Giải sgk Toán 7 - CTST
- Giải sgk Khoa học tự nhiên 7 - CTST
- Giải sgk Lịch Sử 7 - CTST
- Giải sgk Địa Lí 7 - CTST
- Giải sgk Giáo dục công dân 7 - CTST
- Giải sgk Công nghệ 7 - CTST
- Giải sgk Tin học 7 - CTST
- Giải sgk Hoạt động trải nghiệm 7 - CTST
- Giải sgk Âm nhạc 7 - CTST
- Lớp 7 - Cánh diều
- Soạn văn 7 (hay nhất) - Cánh diều
- Soạn văn 7 (ngắn nhất) - Cánh diều
- Giải sgk Toán 7 - Cánh diều
- Giải sgk Khoa học tự nhiên 7 - Cánh diều
- Giải sgk Lịch Sử 7 - Cánh diều
- Giải sgk Địa Lí 7 - Cánh diều
- Giải sgk Giáo dục công dân 7 - Cánh diều
- Giải sgk Công nghệ 7 - Cánh diều
- Giải sgk Tin học 7 - Cánh diều
- Giải sgk Hoạt động trải nghiệm 7 - Cánh diều
- Giải sgk Âm nhạc 7 - Cánh diều


Giải bài tập SGK & SBT
Tài liệu giáo viên
Sách
Khóa học
Thi online
Hỏi đáp

