Bài tập Từ vuông góc đến song song lớp 7 (có đáp án)
Bài viết bài tập Từ vuông góc đến song song lớp 7 với phương pháp giải chi tiết giúp học sinh ôn tập, biết cách làm bài tập Từ vuông góc đến song song.
Bài tập Từ vuông góc đến song song lớp 7 (có đáp án)
(199k) Xem Khóa học Toán 7 KNTTXem Khóa học Toán 7 CTSTXem Khóa học Toán 7 CD
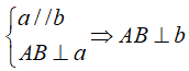
Bài 1: Cho ba đường thẳng phân biệt a, b và c biết a // b và a ⊥ c. Kết luận nào đúng:
A. b // c
B. b ⊥ c
C. a ⊥ b
D. Tất cả các đáp án đều sai
Lời giải:
Ta có:
(quan hệ giữa tính vuông góc với tính song song)
Chọn đáp án B.
Bài 2: Cho ba đường thẳng phân biệt a, b, c, biết a // b và b // c. Chọn kết luận đúng:
A. a // c B. a ⊥ c C. a cắt c D. Cả A, B, C đều sai
Lời giải:
Ta có:
(hai đường thẳng cùng song song với một đường thẳng thứ ba thì song song với nhau)
Chọn đáp án A.
Bài 3: Cho hình vẽ sau:
Biết a ⊥ d, b ⊥ d, ∠ADF = 72°. Tính ∠DFB
A. 80° B. 118° C. 75° D. 108°
Lời giải:
Vì(quan hệ giữa tính vuông góc và tính song song)
Chọn đáp án D.
Bài 4: Cho hai đường thẳng a và b cùng vuông góc với đường thẳng c, c vuông góc với a tại M và vuông góc với b tại N. Một đường thẳng m cắt a, b tại A, B. Biết ∠ABN - ∠MAB = 40°. Số đo góc BAM là:
A. 80° B. 70° C. 75° D. 108°
Lời giải:
Từ đề bài ta có: a ⊥ c, b ⊥ c ⇒ a // b (quan hệ từ vuông góc đến song song)
⇒ ∠ABN + ∠MAB = 180° (hai góc trong cùng phía bù nhau)
Chọn đáp án B.
Bài 5: Cho hình vẽ sau:
Biết a // b, ∠BCD = 120° và a ⊥ AB. Kết luận nào sau đây là đúng:
Lời giải:
Ta có: (quan hệ giữa tính vuông góc với tính song song)
Chọn đáp án D.
Bài 6: Khẳng định nào sau đây là sai?
A. Hai đường thẳng phân biệt cùng vuông góc với một đường thẳng thứ ba thì chúng song song với nhau.
B. Cho hai đường thẳng a và b song song với nhau, nếu đường thẳng c cắt a thì đường thẳng c cũng cắt b.
C. Nếu hai đường thẳng phân biệt cùng song song với đường thẳng thứ ba thì chúng song song với nhau.
D. Có duy nhất một đường thẳng song song với một đường thẳng cho trước.
Lời giải:
Ta có: A, B, C đúng
D sai vì có vô số đường thẳng song song với một đường thẳng cho trước.
Chọn đáp án D
Bài 7: Chọn câu sai.
Cho bốn đường thẳng phân biệt m, n, p, q. Biết m vuông góc với n, n vuông góc với p và p vuông góc với q. Khi đó:
A. m // p
B. n // q
C. p // n
D. m ⊥ q
Lời giải:
Ta có hình vẽ sau:
Chọn đáp án C
Bài 8: Cho hình vẽ sau:
Biết a ⊥ y, b ⊥ y và - = 50° . Số đo góc là:
A. 50°
B. 115°
C. 65°
D. 60°
Lời giải:
Chọn đáp án B
Bài 9: Cho hình vẽ như sau. Biết AB // DE. Số đo góc là:
A. 110°
B. 140°
C. 120°
D. 130°
Lời giải:
Chọn đáp án A
Bài 10: Cho hình vẽ sau:
Biết AB ⊥ a, AB ⊥ b, . Tính
.
A. 60°
B. 50°
C. 131°
D. 41°
Lời giải:
Chọn đáp án B
(199k) Xem Khóa học Toán 7 KNTTXem Khóa học Toán 7 CTSTXem Khóa học Toán 7 CD
Xem thêm các phần lý thuyết, các dạng bài tập Toán lớp 7 có đáp án chi tiết hay khác:
- Lý thuyết Định lí
- Bài tập Định lí
- Tổng hợp Lý thuyết Chương 1 Hình Học 7
- Tổng hợp Trắc nghiệm Chương 1 Hình Học 7
- Lý thuyết Tổng ba góc của một tam giác
- Bài tập Tổng ba góc của một tam giác
Lời giải bài tập lớp 7 sách mới:
- Giải bài tập Lớp 7 Kết nối tri thức
- Giải bài tập Lớp 7 Chân trời sáng tạo
- Giải bài tập Lớp 7 Cánh diều
Tủ sách VIETJACK shopee lớp 6-8 (2025):
Đã có app VietJack trên điện thoại, giải bài tập SGK, SBT Soạn văn, Văn mẫu, Thi online, Bài giảng....miễn phí. Tải ngay ứng dụng trên Android và iOS.
Theo dõi chúng tôi miễn phí trên mạng xã hội facebook và youtube:Loạt bài Lý thuyết - Bài tập Toán lớp 7 có đầy đủ Lý thuyết và các dạng bài có lời giải chi tiết được biên soạn bám sát nội dung chương trình sgk Đại số 7 và Hình học 7.
Nếu thấy hay, hãy động viên và chia sẻ nhé! Các bình luận không phù hợp với nội quy bình luận trang web sẽ bị cấm bình luận vĩnh viễn.
- Giải Tiếng Anh 7 Global Success
- Giải Tiếng Anh 7 Friends plus
- Giải sgk Tiếng Anh 7 Smart World
- Giải Tiếng Anh 7 Explore English
- Lớp 7 - Kết nối tri thức
- Soạn văn 7 (hay nhất) - KNTT
- Soạn văn 7 (ngắn nhất) - KNTT
- Giải sgk Toán 7 - KNTT
- Giải sgk Khoa học tự nhiên 7 - KNTT
- Giải sgk Lịch Sử 7 - KNTT
- Giải sgk Địa Lí 7 - KNTT
- Giải sgk Giáo dục công dân 7 - KNTT
- Giải sgk Tin học 7 - KNTT
- Giải sgk Công nghệ 7 - KNTT
- Giải sgk Hoạt động trải nghiệm 7 - KNTT
- Giải sgk Âm nhạc 7 - KNTT
- Lớp 7 - Chân trời sáng tạo
- Soạn văn 7 (hay nhất) - CTST
- Soạn văn 7 (ngắn nhất) - CTST
- Giải sgk Toán 7 - CTST
- Giải sgk Khoa học tự nhiên 7 - CTST
- Giải sgk Lịch Sử 7 - CTST
- Giải sgk Địa Lí 7 - CTST
- Giải sgk Giáo dục công dân 7 - CTST
- Giải sgk Công nghệ 7 - CTST
- Giải sgk Tin học 7 - CTST
- Giải sgk Hoạt động trải nghiệm 7 - CTST
- Giải sgk Âm nhạc 7 - CTST
- Lớp 7 - Cánh diều
- Soạn văn 7 (hay nhất) - Cánh diều
- Soạn văn 7 (ngắn nhất) - Cánh diều
- Giải sgk Toán 7 - Cánh diều
- Giải sgk Khoa học tự nhiên 7 - Cánh diều
- Giải sgk Lịch Sử 7 - Cánh diều
- Giải sgk Địa Lí 7 - Cánh diều
- Giải sgk Giáo dục công dân 7 - Cánh diều
- Giải sgk Công nghệ 7 - Cánh diều
- Giải sgk Tin học 7 - Cánh diều
- Giải sgk Hoạt động trải nghiệm 7 - Cánh diều
- Giải sgk Âm nhạc 7 - Cánh diều


Giải bài tập SGK & SBT
Tài liệu giáo viên
Sách
Khóa học
Thi online
Hỏi đáp

