Bài tập Định lí lớp 7 (có đáp án)
Bài viết bài tập Định lí lớp 7 với phương pháp giải chi tiết giúp học sinh ôn tập, biết cách làm bài tập Định lí.
Bài tập Định lí lớp 7 (có đáp án)
(199k) Xem Khóa học Toán 7 KNTTXem Khóa học Toán 7 CTSTXem Khóa học Toán 7 CD
Bài 1: Chứng minh định lý là:
A. Dùng lập luận để từ giả thiết suy ra kết luận
B. Dùng hình vẽ để từ giả thiết suy ra kết luận
C. Dùng đo đạc thực tế để từ giả thiết suy ra kết luận
D. Cả A, B, C đều sai
Lời giải:
Chứng minh định lý là dùng lập luận để từ giả thiết suy ra kết luận
Chọn đáp án A.
Bài 2: Trong các câu sau, câu nào cho một định lý:
A. Đường thẳng nào vuông góc với một trong hai đường thẳng song song thì vuông góc với đường thẳng kia.
B. Đường thẳng nào vuông góc với một trong hai đường thẳng cắt nhau thì song song với đường thẳng kia.
C. Nếu hai đường thẳng và cùng song song với một đường thẳng thứ ba thì hai đường thẳng đó song song.
D. Nếu hai đường thẳng cùng vuông góc với một đường thẳng thứ ba thì hai đường thẳng đó song song.
Lời giải:
Định lý: “Đường thẳng nào vuông góc với một trong hai đường thẳng song song thì vuông góc với đường thẳng kia.”
Chọn đáp án A.
Bài 3: Cho định lý: “Nếu hai đường thẳng song song cắt đường thẳng thứ ba thì hai góc đồng vị bằng nhau” (xem hình vẽ dưới đây). Giả thiết của định lý là:
Lời giải:
Giả thiết của định lý trên là: a // b, c ∩ a = {A}, c ∩ b = {B}
Chọn đáp án B.
Bài 4: Chọn định lý: “Hai tia phân giác của hai góc kề bù tạo thành một góc vuông” (hình vẽ). Giả thiết, kết luận của định lý là:
A. Giả thiết: Cho góc bẹt AOB và tia OD, OE là phân giác góc BOD, OF là phân giác góc AOD. Kết luận: OE ⊥ OF
B. Giả thiết: Cho góc bẹt AOB và tia OD, OE là phân giác góc BOF, OF là phân giác góc AOD. Kết luận: OE ⊥ OA
C. Giả thiết: Cho góc bẹt AOB và tia OD, OE là phân giác góc BOD, OF là phân giác góc AOE. Kết luận: OE ⊥ OF
D. Giả thiết: Cho góc bẹt AOB và tia OD, OE là phân giác góc BOD, OF là phân giác góc AOD. Kết luận: OB ⊥ OF
Lời giải:
Giả thiết: Cho góc bẹt AOB và tia OD, OE là phân giác góc BOD, OF là phân giác góc AOD.
Kết luận: OE ⊥ OF
Chọn đáp án A.
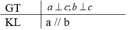
Bài 5: Phần giả thiết:(tham khảo hình vẽ) là của định lý nào dưới đây:
A. Nếu hai đường thẳng cắt một đường thẳng thứ ba tạo thành hai góc ngoài cùng phía bù nhau thì hai đường thẳng đó song song.
B. Nếu hai đường thẳng cắt một đường thẳng thứ ba tạo thành hai góc so le trong bù nhau thì hai đường thẳng đó song song.
C. Nếu hai đường thẳng cắt một đường thẳng thứ ba tạo thành hai góc đồng vị bằng nhau thì hai đường thẳng đó song song.
D. Nếu hai đường thẳng cắt một đường thẳng thứ ba tạo thành hai góc trong cùng phía bù nhau thì hai đường thẳng đó song song.
Lời giải:
Nếu hai đường thẳng cắt một đường thẳng thứ ba tạo thành hai góc trong cùng phía bù nhau thì hai đường thẳng đó song song.
Chọn đáp án D.
Bài 6: Khi chứng minh định lý, người ta cần:
A. Chứng minh định lý đó đúng trong một trường hợp cụ thể của giả thiết
B. Chứng minh định lý đó đúng trong hai trường hợp cụ thể của giả thiết
C. Chứng minh định lý đó đúng trong mọi trường hợp có thể xảy ra của giả thiết
D. Chứng minh định lý đó đúng trong vài trường hợp cụ thể của giả thiết
Lời giải:
Khi chứng minh định lý, ta cần chứng minh định lý đó đúng trong mọi trường hợp có thể xảy ra của giả thiết.
Chọn đáp án C
Bài 7: Phát biểu định lý sau bằng lời:
A. Nếu một đường thẳng cắt hai đường thẳng phân biệt thì chúng song song với nhau.
B. Nếu hai đường thẳng phân biệt cùng vuông góc với đường thẳng thứ ba thì chúng song song với nhau.
C. Nếu hai đường thẳng phân biệt cùng vuông góc với đường thẳng thứ ba thì chúng cắt nhau.
D. Nếu hai đường thẳng phân biệt cùng vuông góc với đường thẳng thứ ba thì chúng vuông góc với nhau.
Lời giải:
Phát biểu định lý bằng lời: Nếu hai đường thẳng phân biệt cùng vuông góc với đường thẳng thứ ba thì chúng song song với nhau.
Chọn đáp án B
Bài 8: Cho các định lý sau, có bao nhiêu định lý đúng
1. Hai góc đối đỉnh thì bằng nhau
2. Hai góc bằng nhau thì đối đỉnh
3. Nếu M là trung điểm của AB thì MA = MB
4. Nếu có MA = MB thì M là trung điểm của AB
5. Hai đường thẳng vuông góc thì cắt nhau
6. Hai đường thẳng cắt nhau thì vuông góc
A. 1
B. 2
C. 3
D. 6
Lời giải:
1. Hai góc đối đỉnh thì bằng nhau, đúng
2. Hai góc bằng nhau thì đối đỉnh, sai
Vì tồn tại hai góc bằng nhau mà không chung đỉnh thì đó không phải hai góc đối đỉnh như hình sau:
3. Nếu M là trung điểm của AB thì MA = MB, đúng
4. Nếu có MA = MB thì M là trung điểm của AB, sai
Vì nếu M, A, B không thẳng hàng thì MA = MB không suy ra được M là trung điểm của A
B.
5. Hai đường thẳng vuông góc thì cắt nhau, đúng
6. Hai đường thẳng cắt nhau thì vuông góc, sai
Vì hai đường thẳng cắt nhau không tạo thành góc vuông thì chúng không phải là hai đường thẳng vuông góc.
Chọn đáp án C
Bài 9: Giả thiết của định lý: “Hai góc cùng bù với một góc thứ ba thì bằng nhau”.
Lời giải:
Hai góc bù nhau là hai góc có tổng bằng
Giả thiết của định lý: “Hai góc cùng bù với một góc thứ ba thì bằng nhau” là
Chọn đáp án A
Bài 10: Chọn câu đúng:
A. Giả thiết của định lý là điều cho biết
B. Kết luận của định lý là điều được suy ra
C. Người ta dùng lập luận để từ giả thiết suy ra kết luận của định lý
D. Cả A, B, C đều đúng
Lời giải:
Từ phần lý thuyết ta có:
Giả thiết của định lý là điều cho biết
Kết luận của định lý là điều được suy ra
Người ta dùng lập luận để từ giả thiết suy ra kết luận của định lý
Suy ra cả A, B, C đều đúng.
Chọn đáp án D
(199k) Xem Khóa học Toán 7 KNTTXem Khóa học Toán 7 CTSTXem Khóa học Toán 7 CD
Xem thêm các phần lý thuyết, các dạng bài tập Toán lớp 7 có đáp án chi tiết hay khác:
- Tổng hợp Lý thuyết Chương 1 Hình Học 7
- Tổng hợp Trắc nghiệm Chương 1 Hình Học 7
- Lý thuyết Tổng ba góc của một tam giác
- Bài tập Tổng ba góc của một tam giác
- Lý thuyết Hai tam giác bằng nhau
- Bài tập Hai tam giác bằng nhau
Lời giải bài tập lớp 7 sách mới:
- Giải bài tập Lớp 7 Kết nối tri thức
- Giải bài tập Lớp 7 Chân trời sáng tạo
- Giải bài tập Lớp 7 Cánh diều
Tủ sách VIETJACK shopee lớp 6-8 (2025):
Đã có app VietJack trên điện thoại, giải bài tập SGK, SBT Soạn văn, Văn mẫu, Thi online, Bài giảng....miễn phí. Tải ngay ứng dụng trên Android và iOS.
Theo dõi chúng tôi miễn phí trên mạng xã hội facebook và youtube:Loạt bài Lý thuyết - Bài tập Toán lớp 7 có đầy đủ Lý thuyết và các dạng bài có lời giải chi tiết được biên soạn bám sát nội dung chương trình sgk Đại số 7 và Hình học 7.
Nếu thấy hay, hãy động viên và chia sẻ nhé! Các bình luận không phù hợp với nội quy bình luận trang web sẽ bị cấm bình luận vĩnh viễn.
- Giải Tiếng Anh 7 Global Success
- Giải Tiếng Anh 7 Friends plus
- Giải sgk Tiếng Anh 7 Smart World
- Giải Tiếng Anh 7 Explore English
- Lớp 7 - Kết nối tri thức
- Soạn văn 7 (hay nhất) - KNTT
- Soạn văn 7 (ngắn nhất) - KNTT
- Giải sgk Toán 7 - KNTT
- Giải sgk Khoa học tự nhiên 7 - KNTT
- Giải sgk Lịch Sử 7 - KNTT
- Giải sgk Địa Lí 7 - KNTT
- Giải sgk Giáo dục công dân 7 - KNTT
- Giải sgk Tin học 7 - KNTT
- Giải sgk Công nghệ 7 - KNTT
- Giải sgk Hoạt động trải nghiệm 7 - KNTT
- Giải sgk Âm nhạc 7 - KNTT
- Lớp 7 - Chân trời sáng tạo
- Soạn văn 7 (hay nhất) - CTST
- Soạn văn 7 (ngắn nhất) - CTST
- Giải sgk Toán 7 - CTST
- Giải sgk Khoa học tự nhiên 7 - CTST
- Giải sgk Lịch Sử 7 - CTST
- Giải sgk Địa Lí 7 - CTST
- Giải sgk Giáo dục công dân 7 - CTST
- Giải sgk Công nghệ 7 - CTST
- Giải sgk Tin học 7 - CTST
- Giải sgk Hoạt động trải nghiệm 7 - CTST
- Giải sgk Âm nhạc 7 - CTST
- Lớp 7 - Cánh diều
- Soạn văn 7 (hay nhất) - Cánh diều
- Soạn văn 7 (ngắn nhất) - Cánh diều
- Giải sgk Toán 7 - Cánh diều
- Giải sgk Khoa học tự nhiên 7 - Cánh diều
- Giải sgk Lịch Sử 7 - Cánh diều
- Giải sgk Địa Lí 7 - Cánh diều
- Giải sgk Giáo dục công dân 7 - Cánh diều
- Giải sgk Công nghệ 7 - Cánh diều
- Giải sgk Tin học 7 - Cánh diều
- Giải sgk Hoạt động trải nghiệm 7 - Cánh diều
- Giải sgk Âm nhạc 7 - Cánh diều


Giải bài tập SGK & SBT
Tài liệu giáo viên
Sách
Khóa học
Thi online
Hỏi đáp

