Cách tính giá trị biểu thức số thực lớp 7 (cực hay, chi tiết)
Bài viết Cách tính giá trị biểu thức số thực lớp 7 với phương pháp giải chi tiết giúp học sinh ôn tập, biết cách làm bài tập Cách tính giá trị biểu thức số thực.
Cách tính giá trị biểu thức số thực lớp 7 (cực hay, chi tiết)
(199k) Xem Khóa học Toán 7 KNTTXem Khóa học Toán 7 CTSTXem Khóa học Toán 7 CD
A. Phương pháp giải
- Khái niệm: Số hữu tỉ và số vô tỉ gọi chung là số thực
- Thực hiện tính toán trên tập số thực như thực hiện trên tập số hữu tỉ và vô tỉ.
- Chú ý: Các phép toán trong tập hợp các số thực cũng có các tính chất tương tự như các phép toán trong tập hợp số hữu tỉ.
B. Ví dụ minh họa
Ví dụ 1: Tính giá trị của biểu thức
Lời giải:
Ví dụ 2:
Lời giải:
Ví dụ 3: Thực hiện phép tính
Lời giải:
C. Bài tập vận dụng
Câu 1. Giá trị của biểu thức: là
Lời giải:
Đáp án B
Câu 2. Tìm số thực x thỏa mãn: (x – 3).(4 – 5x) = 0
A. x = 3; x =
B. x = -3; x =
C. x = 3; x = -
D. Không có giá trị x
Lời giải:
Đáp án A
Câu 3. Giá trị của biểu thức là
A. B = 20
B. B = 21
C. C = 22
D. C = 23
Lời giải:
Đáp án C
Câu 4. Cho . Tính giá trị của biểu thức M.
A. M = -1
B. M = -2
C. M = -3
D. M = -4
Lời giải:
Đáp án D
Câu 5. Có bao nhiêu số thực x thỏa mãn: |9 - 7x| + 7 = 26
A. 1
B. 2
C. 3
D. 4
Lời giải:
Ta có: |9 - 7x| + 7 = 26 ⇒ |9 - 7x| = 26 - 7 ⇒ |9 - 7x| = 19
TH1: 9 – 7x = 19 ⇒ 7x = 9 – 19 ⇒ 7x = -10 ⇒ x =
TH2: 9 – 7x = - 19 ⇒ 7x = 9 – (-19) ⇒ 7x = 28 ⇒ x = 28 : 7 ⇒ x = 4
Vậy có hai giá trị của x thỏa mãn yêu cầu bài toán.
Đáp án B
Câu 6. Tìm số thực x, biết: 2.3x - 405 = 3x - 1
A. x = 3
B. x = 4
C. x = 5
D. x = 6
Lời giải:
Đáp án C
Câu 7. Kết quả của biểu thức là
A. Một số nguyên âm
B. Một số nguyên dương
C. Một số thực âm
D. Một số thực dương
Lời giải:
Do đó kết quả của biểu thức N là một số thực dương.
Đáp án D
Câu 8. Cho . Giá trị của biểu thức E là
Lời giải:
Đáp án A
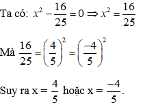
Câu 9. Tìm x, biết
Lời giải:
Đáp án A
Câu 10. Giá trị của biểu thức H = (-5,85) + (4,13 + 5 + 0,85) là
A. H = 5,85
B. H = -4,13
C. H = 4,13
D. H = 0
Lời giải:
H = (-5,85) + (4,13 + 5 + 0,85)
= ((-5,85 + 0,85) + 5) + 4,13
= (-5 + 5) + 4,13
= 0 + 4,13
= 4,13
Đáp án C
(199k) Xem Khóa học Toán 7 KNTTXem Khóa học Toán 7 CTSTXem Khóa học Toán 7 CD
Xem thêm các dạng bài tập Toán lớp 7 chọn lọc, có đáp án hay khác:
- Cách tìm điều kiện xác định của biểu thức dưới dấu căn cực hay, chi tiết
- Cách chứng minh một số là số vô tỉ cực hay, chi tiết
- Cách giải bài tập về các tập hợp số cực hay, chi tiết
- Cách so sánh, sắp xếp số thực lớp 7 cực hay, chi tiết
Lời giải bài tập lớp 7 sách mới:
- Giải bài tập Lớp 7 Kết nối tri thức
- Giải bài tập Lớp 7 Chân trời sáng tạo
- Giải bài tập Lớp 7 Cánh diều
Tủ sách VIETJACK shopee lớp 6-8 (2025):
Đã có app VietJack trên điện thoại, giải bài tập SGK, SBT Soạn văn, Văn mẫu, Thi online, Bài giảng....miễn phí. Tải ngay ứng dụng trên Android và iOS.
Theo dõi chúng tôi miễn phí trên mạng xã hội facebook và youtube:Loạt bài Lý thuyết - Bài tập Toán lớp 7 có đầy đủ Lý thuyết và các dạng bài có lời giải chi tiết được biên soạn bám sát nội dung chương trình sgk Đại số 7 và Hình học 7.
Nếu thấy hay, hãy động viên và chia sẻ nhé! Các bình luận không phù hợp với nội quy bình luận trang web sẽ bị cấm bình luận vĩnh viễn.
- Giải Tiếng Anh 7 Global Success
- Giải Tiếng Anh 7 Friends plus
- Giải sgk Tiếng Anh 7 Smart World
- Giải Tiếng Anh 7 Explore English
- Lớp 7 - Kết nối tri thức
- Soạn văn 7 (hay nhất) - KNTT
- Soạn văn 7 (ngắn nhất) - KNTT
- Giải sgk Toán 7 - KNTT
- Giải sgk Khoa học tự nhiên 7 - KNTT
- Giải sgk Lịch Sử 7 - KNTT
- Giải sgk Địa Lí 7 - KNTT
- Giải sgk Giáo dục công dân 7 - KNTT
- Giải sgk Tin học 7 - KNTT
- Giải sgk Công nghệ 7 - KNTT
- Giải sgk Hoạt động trải nghiệm 7 - KNTT
- Giải sgk Âm nhạc 7 - KNTT
- Lớp 7 - Chân trời sáng tạo
- Soạn văn 7 (hay nhất) - CTST
- Soạn văn 7 (ngắn nhất) - CTST
- Giải sgk Toán 7 - CTST
- Giải sgk Khoa học tự nhiên 7 - CTST
- Giải sgk Lịch Sử 7 - CTST
- Giải sgk Địa Lí 7 - CTST
- Giải sgk Giáo dục công dân 7 - CTST
- Giải sgk Công nghệ 7 - CTST
- Giải sgk Tin học 7 - CTST
- Giải sgk Hoạt động trải nghiệm 7 - CTST
- Giải sgk Âm nhạc 7 - CTST
- Lớp 7 - Cánh diều
- Soạn văn 7 (hay nhất) - Cánh diều
- Soạn văn 7 (ngắn nhất) - Cánh diều
- Giải sgk Toán 7 - Cánh diều
- Giải sgk Khoa học tự nhiên 7 - Cánh diều
- Giải sgk Lịch Sử 7 - Cánh diều
- Giải sgk Địa Lí 7 - Cánh diều
- Giải sgk Giáo dục công dân 7 - Cánh diều
- Giải sgk Công nghệ 7 - Cánh diều
- Giải sgk Tin học 7 - Cánh diều
- Giải sgk Hoạt động trải nghiệm 7 - Cánh diều
- Giải sgk Âm nhạc 7 - Cánh diều


Giải bài tập SGK & SBT
Tài liệu giáo viên
Sách
Khóa học
Thi online
Hỏi đáp

