Chuyên đề dạy thêm Toán 7 năm 2026 (có lời giải)
Tài liệu chuyên đề dạy thêm Toán 7 gồm các dạng bài tập từ cơ bản đến nâng cao với phương pháp giải chi tiết và bài tập tự luyện đa dạng giúp Giáo viên có thêm tài liệu giảng dạy Toán 7.
Chuyên đề dạy thêm Toán 7 năm 2026 (có lời giải)
(199k) Xem Khóa học Toán 7 KNTTXem Khóa học Toán 7 CTSTXem Khóa học Toán 7 CD
Xem thử Chuyên đề dạy thêm Toán 7 KNTT Xem thử Chuyên đề dạy thêm Toán 7 CTST Xem thử Chuyên đề dạy thêm Toán 7 CD Xem thử Chuyên đề, Phương pháp giải Toán 7
Chỉ từ 500k mua trọn bộ Chuyên đề dạy thêm Toán 7 và (Chuyên đề) Phương pháp giải Toán 7 (cơ bản, nâng cao) bản word có lời giải chi tiết:
- B1: gửi phí vào tk:
1133836868- CT TNHH DAU TU VA DV GD VIETJACK - Ngân hàng MB (QR) - B2: Nhắn tin tới Zalo VietJack Official - nhấn vào đây để thông báo và nhận giáo án
Chuyên đề dạy thêm Toán 7 Kết nối tri thức
Chuyên đề dạy thêm Toán 7 Cánh diều
Chuyên đề dạy thêm Toán 7 Chân trời sáng tạo
Xem thử Chuyên đề dạy thêm Toán 7 KNTT Xem thử Chuyên đề dạy thêm Toán 7 CTST Xem thử Chuyên đề dạy thêm Toán 7 CD Xem thử Chuyên đề, Phương pháp giải Toán 7
Chuyên đề Số hữu tỉ lớp 7
Phần I. TÓM TẮT LÝ THUYẾT
1. Số hữu tỉ:
Định nghĩa:
a. Số hữu tỉ được viết dưới dạng
b. VD: Các số: là các số hữu tỉ .
c. Kí hiệu tập hợp số hữu tỉ là .
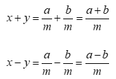
2. Cộng trừ các số hữu tỉ
Cho hai số hữu tỉ : (trong đó: a; b; m , m ≠ 0)
Khi đó ta có cộng thức:
3. Nhân chia các số hữu tỉ.
Cho hai số hữu tỉ : (trong đó:a; b; m , m ≠ 0).
Khi đó ta có cộng thức:
4. Giá trị tuyệt đối của một số hữu tỉ
5. Lũy thừa của một số hữu tỉ
Nhắc lại về lũy thừa:
Trong đó: x được gọi là cơ số, n được gọi là số mũ
Khi x là số hữu tỉ:
Do đó ta có cộng thức tổng quát:
Các cộng thức liên quan đến lũy thừa cùng cơ số
Các cộng thức về cùng lũy thừa khác cơ số:
6. Tỉ lệ thức
Định nghĩa: Tỉ lệ thức là đẳng thức của hai tỉ số có dạng
Tỉ lệ thức còn được viết là: a : b = c : d
- Các ngoại tỉ: a và d - Các trung tỉ: b và c
7. Số thập phân hữu hạn và số thập phân vô hạn tuần tuần hoàn
Mỗi số hữu tỉ được biểu diễn bởi số thập phân hữu hạn hoặc vô hạn tuần hoàn.
Ngược lại, mỗi số thập phân hữu hạn hoặc vô hạn tuần hoàn điều biểu diện được dưới dạng số hữu tỉ.
8. Làm tròn số
Quy ước làm tròn số:
Trường hợp 1:
Nếu chữ số đầu tiên trong các chữ số bị bỏ đi nhỏ hơn 5 thì ta giữ nguyên bộ phận còn lại. Trong trường hợp số nguyên thì ta thay các chữ số bị bỏ đi bằng chữ số 0.
Trường hợp 2:
Nếu chữ số đầu tiên trong các chữ số bị bỏ đi lớn hơn hoặc bằng 5 thì ta cộng thêm 1 vào chữ số cuối cùng của bộ phận còn lại. Trong trường hợp số nguyên thì ta thay các chữ số bị bỏ đi bằng chữ số 0.
9. Số vô tỉ và số thực
a. Số vô tỉ là số viết được dưới dạng số thập phân vô hạn không tuần hoàn. Tập hợp các số vô tỉ là I.
b. Căn bậc hai của một số a không âm là số x sao cho
c. Số thực: Số hữu tỉ và số vô tỉ được gọi chung là số thực.
Tập hợp các số thực được kí hiệu là:
Phần II. CÁC DẠNG TOÁN THƯỜNG GẶP
Chủ đề 1: SỐ HỮU TỈ VÀ CÁC PHÉP TOÁN LIÊN QUAN
Dạng 1: NHẬN BIẾT MỘT SỐ HỮU TỈ
A. PHƯƠNG PHÁP
Để nhận biết một số có phải là số hữu tỉ chuyển số đó về phân số tối giản (Tức phân số không thể rút gọn được nữa). Nếu chuyển được về dạng (trong đó a,b là những số nguyên và b là số khác 0). Thì kết luận số đó là số hữu tỉ, ngược lại số đó không phải là số hữu tỉ.
* Lưu ý: Một số nguyên bất kỳ cũn được xem là số hữu tỉ.
B. BÀI TẬP MẪU CÓ HƯỚNG DẪN GIẢI
Bài tập mẫu 1: Xét xem các số sau đây có phải là số hữu tỉ hay không? Tại sao?
a.
b.
c. 0,8
d.
Hướng dẫn giải
a. Ta có là số hữu tỉ.
Thật vậy: 4 và 3 đều là những số nguyên và 3 khác 0
b. Ta có là số hữu tỉ
Thật vậy: -1 và 2 là những số nguyên và 2 khác 0
c. Ta có 0,8 là số hữu tỉ
Ta có biến đổi: , ta có: 4 và 5 là những số nguyên và 5 khác 0
d. Ta có: là số hữu tỉ
Ta có: , ta có: 10 và 3 là những số nguyên và 3 khác 0.
Bài tập mẫu 2: Dùng ký hiệu điền vào chổ trống sau:
Hướng dẫn giải
C. BÀI TẬP LUYỆN TẬP CÓ ĐÁP ÁN
Bài tập 1: Xét xem các số sau đây có phải là số hữu tỉ hay không? Tại sao?
a.
b.
c. -0,125
d.
Bài tập 2: Dùng ký hiệu điền vào chổ trống sau:
................................
................................
................................
Trên đây tóm tắt một số nội dung miễn phí có trong bộ Chuyên đề dạy thêm Toán 7 mới nhất, để mua tài liệu đầy đủ, Thầy/Cô vui lòng xem thử:
Xem thử Chuyên đề dạy thêm Toán 7 KNTT Xem thử Chuyên đề dạy thêm Toán 7 CTST Xem thử Chuyên đề dạy thêm Toán 7 CD Xem thử Chuyên đề, Phương pháp giải Toán 7
(199k) Xem Khóa học Toán 7 KNTTXem Khóa học Toán 7 CTSTXem Khóa học Toán 7 CD
Xem thêm đề thi lớp 7 các môn học có đáp án hay khác:
Tài liệu giáo án lớp 7 các môn học chuẩn khác:
Lời giải bài tập lớp 7 sách mới:
- Giải bài tập Lớp 7 Kết nối tri thức
- Giải bài tập Lớp 7 Chân trời sáng tạo
- Giải bài tập Lớp 7 Cánh diều
Tủ sách VIETJACK shopee lớp 6-8 (2025):
Đã có app VietJack trên điện thoại, giải bài tập SGK, SBT Soạn văn, Văn mẫu, Thi online, Bài giảng....miễn phí. Tải ngay ứng dụng trên Android và iOS.
Theo dõi chúng tôi miễn phí trên mạng xã hội facebook và youtube:Loạt bài Lý thuyết - Bài tập Toán lớp 7 có đầy đủ Lý thuyết và các dạng bài có lời giải chi tiết được biên soạn bám sát nội dung chương trình sgk Đại số 7 và Hình học 7.
Nếu thấy hay, hãy động viên và chia sẻ nhé! Các bình luận không phù hợp với nội quy bình luận trang web sẽ bị cấm bình luận vĩnh viễn.
- Giải Tiếng Anh 7 Global Success
- Giải Tiếng Anh 7 Friends plus
- Giải sgk Tiếng Anh 7 Smart World
- Giải Tiếng Anh 7 Explore English
- Lớp 7 - Kết nối tri thức
- Soạn văn 7 (hay nhất) - KNTT
- Soạn văn 7 (ngắn nhất) - KNTT
- Giải sgk Toán 7 - KNTT
- Giải sgk Khoa học tự nhiên 7 - KNTT
- Giải sgk Lịch Sử 7 - KNTT
- Giải sgk Địa Lí 7 - KNTT
- Giải sgk Giáo dục công dân 7 - KNTT
- Giải sgk Tin học 7 - KNTT
- Giải sgk Công nghệ 7 - KNTT
- Giải sgk Hoạt động trải nghiệm 7 - KNTT
- Giải sgk Âm nhạc 7 - KNTT
- Lớp 7 - Chân trời sáng tạo
- Soạn văn 7 (hay nhất) - CTST
- Soạn văn 7 (ngắn nhất) - CTST
- Giải sgk Toán 7 - CTST
- Giải sgk Khoa học tự nhiên 7 - CTST
- Giải sgk Lịch Sử 7 - CTST
- Giải sgk Địa Lí 7 - CTST
- Giải sgk Giáo dục công dân 7 - CTST
- Giải sgk Công nghệ 7 - CTST
- Giải sgk Tin học 7 - CTST
- Giải sgk Hoạt động trải nghiệm 7 - CTST
- Giải sgk Âm nhạc 7 - CTST
- Lớp 7 - Cánh diều
- Soạn văn 7 (hay nhất) - Cánh diều
- Soạn văn 7 (ngắn nhất) - Cánh diều
- Giải sgk Toán 7 - Cánh diều
- Giải sgk Khoa học tự nhiên 7 - Cánh diều
- Giải sgk Lịch Sử 7 - Cánh diều
- Giải sgk Địa Lí 7 - Cánh diều
- Giải sgk Giáo dục công dân 7 - Cánh diều
- Giải sgk Công nghệ 7 - Cánh diều
- Giải sgk Tin học 7 - Cánh diều
- Giải sgk Hoạt động trải nghiệm 7 - Cánh diều
- Giải sgk Âm nhạc 7 - Cánh diều


Giải bài tập SGK & SBT
Tài liệu giáo viên
Sách
Khóa học
Thi online
Hỏi đáp

