Bài tập trắc nghiệm Hai đường thẳng vuông góc lớp 7 (có đáp án)
Bài tập trắc nghiệm Hai đường thẳng vuông góc lớp 7 (có đáp án)
(199k) Học Toán 7 KNTTHọc Toán 7 CTSTHọc Toán 7 CD
Câu 1: Cho hình vẽ sau
Chọn phát biểu đúng
Lời giải:
là hai góc đồng vị (sai, vì đó là 2 góc đồng vị, loại đáp án A)
là hai góc đồng vị (đúng, chọn B)
là hai góc so le ngoài (sai, vì đó là 2 góc trong cùng phía, loại đáp án C)
là hai góc so le trong (sai vì đó là 2 góc so le ngoài, loại đáp án D)
Đáp án cần chọn là: B
Câu 2: Cho hình vẽ sau. Chọn phát biểu đúng
Lời giải:
là hai góc so le trong (sai, vì đó là 2 góc đồng vị, loại đáp án A)
là hai góc so le trong (đúng, chọn B)
là hai góc đồng vị (sai, vì đó là 2 góc trong cùng phía, loại đáp án C)
là hai góc trong cùng phía(sai vì đó là 2 góc so le trong, loại đáp án D)
Đáp án cần chọn là: B
Câu 3: Chọn một cặp góc đồng vị trong hình vẽ sau
Lời giải:
là hai góc đồng vị (sai, vì đó là 2 góc so le ngoài, loại đáp án A)
là hai góc đồng vị (sai, đó là 2 góc so le trong, loại đáp án B)
là hai góc đồng vị (sai, đó là 2 góc trong cùng phía, loại đáp án C)
là hai góc đồng vị (đúng, chọn D)
Đáp án cần chọn là: D
Câu 4: Chọn một cặp góc trong cùng phía trong hình vẽ sau
Lời giải:
là hai góc trong cùng phía (sai, vì đó là 2 góc so le ngoài, loại đáp án A)
là hai góc trong cùng phía (sai, đó là 2 góc so le trong, loại đáp án B)
là hai góc trong cùng phía (đúng, chọn C)
là hai góc trong cùng phía (sai, đó là 2 góc đồng vị, loại đáp án D)
Đáp án cần chọn là: C
Câu 5: Chọn một cặp góc so le trong trong hình vẽ sau:
Lời giải:
là hai góc so le trong (đúng, chọn A)
là hai góc so le trong (sai, đó là 2 góc đồng vị, loại đáp án B)
là hai góc so le trong (sai, đó là 2 góc đồng vị, loại đáp án C)
là hai góc so le trong (sai, đó là 2 góc trong cùng phía, loại đáp án D)
Đáp án cần chọn là: A
Câu 6: Chọn một cặp góc trong cùng phía trong hình vẽ sau
Lời giải:
là 2 góc trong cùng phía (sai, đó là 2 góc so le trong, loại đáp án A)
là 2 góc trong cùng phía (sai, đó là 2 góc đồng vị, loại đáp án B)
là 2 góc trong cùng phía (sai, đó là 2 góc đồng vị, loại đáp án C)
là 2 góc trong cùng phía (đúng, chọn D)
Đáp án cần chọn là: D
Câu 7: Nếu hai đường thẳng c cắt hai đường thẳng a,b và trong các góc tạo thành có một cặp góc so le trong bằng nhau thì:
A. Hai góc trong cùng phía bằng nhau
B. Hai góc đồng vị bằng nhau
C. Hai góc so le trong còn lại có tổng bằng 120°
D. Tất cả các đáp án trên đều đúng
Lời giải:
Nếu đường thẳng c cắt hai đường thẳng a, và trong các góc tạo thành có một cặp góc so le trong bằng nhau thì: hai góc đồng vị bằng nhau
Đáp án cần chọn là: B
Câu 8: Nếu hai đường thẳng c cắt hai đường thẳng a,b và trong các góc tạo thành có một cặp góc đồng vị bằng nhau thì:
A. Hai góc trong cùng phía bằng nhau
B. Hai góc so le trong bù nhau
C. Hai góc trong cùng phía bù nhau
D. Tất cả các đáp án trên đều đúng
Lời giải:
Đường thẳng c cắt hai đường thẳng a,b tương ứng tại A,B và trong các góc tạo thành có một cặp góc đồng vị bằng nhau,
giả sử
+ Xét một cặp góc trong cùng phía, chẳng hạn
Do đó hai góc trong cùng phía bù nhau nên A sai, C đúng
Vậy hai góc so le trong bằng nhau. Đáp án B sai
Đáp án cần chọn là: C
Câu 9: Cho hình vẽ sau, có bao nhiêu cặp góc đồng vị?
A. 4
B. 12
C. 8
D. 16
Lời giải:
Đáp án cần chọn là: D
Câu 10: Cho hình vẽ sau, có bao nhiêu cặp góc trong cùng phía?
A. 4
B. 8
C. 12
D. 2
Lời giải:
Đáp án cần chọn là: B
Câu 11: Cho hình vẽ
Biết một cặp góc so le trong . Tính số đo góc của cặp góc so le trong còn lại
Lời giải:
Mặt khác đường thẳng d cắt hai đường thẳng x,y và trong các góc tạo thành có một cặp góc so le trong bằng nhau
Đáp án cần chọn là: D
Câu 12: Biết một cặp góc so le trong . Tính số đo góc của cặp góc so le trong còn lại
Lời giải:
Mặt khác đường thẳng d cắt hai đường thẳng x,y và trong các góc tạo thành có một cặp góc so le trong bằng nhau
Đáp án cần chọn là: D
Câu 13: Cho hình vẽ sau
Lời giải:
Đáp án cần chọn là: C
Câu 14: Cho hình vẽ sau
Lời giải:
Đáp án cần chọn là: C
Câu 15: Cho hình vẽ sau. Hãy chọn câu đúng nhất trong các câu sau
Lời giải:
là hai góc đồng vị (đúng, chọn A)
là hai góc trong cùng phía (sai vì đó là hai góc góc so le trong, loại B)
là hai góc so le trong (sai vì đó là hai góc đồng vị, loại C)
là hai góc đồng vị (sai vì đó là hai góc góc so le trong, loại D)
Đáp án cần chọn là: A
Câu 16: Tính giá trị x; y; z; t trên hình vẽ sau:
Lời giải:
Đáp án cần chọn là: B
Câu 17: Tính giá trị x; y; z; t trên hình vẽ sau
Lời giải:
Đáp án cần chọn là: B
Câu 18: Cho hình vẽ sau
Lời giải:
Đáp án cần chọn là: A
Câu 19: Cho hình vẽ sau
Lời giải:
Đáp án cần chọn là: A
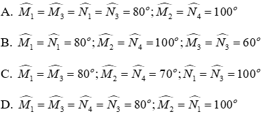
Câu 20:Trong hình dưới đây cho biết . Tính các góc tại đỉnh M,N
Lời giải:
Đáp án cần chọn là: A
(199k) Học Toán 7 KNTTHọc Toán 7 CTSTHọc Toán 7 CD
Xem thêm các bài tập trắc nghiệm Toán lớp 7 chọn lọc, có đáp án chi tiết hay khác:
- Trắc nghiệm Hai góc đối đỉnh
- Trắc nghiệm Hai đường thẳng vuông góc
- Trắc nghiệm Hai đường thẳng song song. Tiên đề Ơ-clit về hai đường thẳng song song
Lời giải bài tập lớp 7 sách mới:
- Giải bài tập Lớp 7 Kết nối tri thức
- Giải bài tập Lớp 7 Chân trời sáng tạo
- Giải bài tập Lớp 7 Cánh diều
Tủ sách VIETJACK shopee lớp 6-8 (2025):
Đã có app VietJack trên điện thoại, giải bài tập SGK, SBT Soạn văn, Văn mẫu, Thi online, Bài giảng....miễn phí. Tải ngay ứng dụng trên Android và iOS.
Theo dõi chúng tôi miễn phí trên mạng xã hội facebook và youtube:Loạt bài Lý thuyết - Bài tập Toán lớp 7 có đầy đủ Lý thuyết và các dạng bài có lời giải chi tiết được biên soạn bám sát nội dung chương trình sgk Đại số 7 và Hình học 7.
Nếu thấy hay, hãy động viên và chia sẻ nhé! Các bình luận không phù hợp với nội quy bình luận trang web sẽ bị cấm bình luận vĩnh viễn.
- Giải Tiếng Anh 7 Global Success
- Giải Tiếng Anh 7 Friends plus
- Giải sgk Tiếng Anh 7 Smart World
- Giải Tiếng Anh 7 Explore English
- Lớp 7 - Kết nối tri thức
- Soạn văn 7 (hay nhất) - KNTT
- Soạn văn 7 (ngắn nhất) - KNTT
- Giải sgk Toán 7 - KNTT
- Giải sgk Khoa học tự nhiên 7 - KNTT
- Giải sgk Lịch Sử 7 - KNTT
- Giải sgk Địa Lí 7 - KNTT
- Giải sgk Giáo dục công dân 7 - KNTT
- Giải sgk Tin học 7 - KNTT
- Giải sgk Công nghệ 7 - KNTT
- Giải sgk Hoạt động trải nghiệm 7 - KNTT
- Giải sgk Âm nhạc 7 - KNTT
- Lớp 7 - Chân trời sáng tạo
- Soạn văn 7 (hay nhất) - CTST
- Soạn văn 7 (ngắn nhất) - CTST
- Giải sgk Toán 7 - CTST
- Giải sgk Khoa học tự nhiên 7 - CTST
- Giải sgk Lịch Sử 7 - CTST
- Giải sgk Địa Lí 7 - CTST
- Giải sgk Giáo dục công dân 7 - CTST
- Giải sgk Công nghệ 7 - CTST
- Giải sgk Tin học 7 - CTST
- Giải sgk Hoạt động trải nghiệm 7 - CTST
- Giải sgk Âm nhạc 7 - CTST
- Lớp 7 - Cánh diều
- Soạn văn 7 (hay nhất) - Cánh diều
- Soạn văn 7 (ngắn nhất) - Cánh diều
- Giải sgk Toán 7 - Cánh diều
- Giải sgk Khoa học tự nhiên 7 - Cánh diều
- Giải sgk Lịch Sử 7 - Cánh diều
- Giải sgk Địa Lí 7 - Cánh diều
- Giải sgk Giáo dục công dân 7 - Cánh diều
- Giải sgk Công nghệ 7 - Cánh diều
- Giải sgk Tin học 7 - Cánh diều
- Giải sgk Hoạt động trải nghiệm 7 - Cánh diều
- Giải sgk Âm nhạc 7 - Cánh diều


Giải bài tập SGK & SBT
Tài liệu giáo viên
Sách
Khóa học
Thi online
Hỏi đáp

