Bài tập trắc nghiệm Hai đường thẳng vuông góc lớp 7 (có đáp án)
Bài tập trắc nghiệm Hai đường thẳng vuông góc lớp 7 (có đáp án)
(199k) Học Toán 7 KNTTHọc Toán 7 CTSTHọc Toán 7 CD
Câu 1: Hai đường thẳng aa' và bb' vuông góc với nhau tại O. Hãy chỉ ra câu sai trong các câu sau:
Lời giải:
Hai đường thẳng aa' và bb' vuông góc với nhau tại O nên:
+ nên B đúng
+ aa' và bb' vuông góc với nhau nên aa' và bb' thể cắt nhau ⇒ C sai
+ nên aa' là tia phân giác của góc bẹt bOb' ⇒ D đúng
+ nên A đúng
Đáp án cần chọn là: C
Câu 2: Hai góc . Chọn câu đúng nhất
A. xx' ⊥ yy' nếu Ox và Ox' là hai tia đối nhau
B. xy' ⊥ x'y nếu Ox và Oy' là hai tia đối nhau
C. Cả A,B đều đúng
D. Cả A,B đều sai
Lời giải:
Nếu Ox và Ox' là hai đối nhau thì xx' ⊥ yy'
Nếu Ox và Oy' là hai tia đôi nhau thì xy' ⊥ x'y
Vậy A, B đều đúng
Đáp án cần chọn là: C
Câu 3: Hãy chọn câu đúng trong các câu sau
A. Hai đường thẳng cắt nhau thì vuông góc.
B. Hai đường thẳng vuông góc thì cắt nhau.
C. Hai đường thẳng vuông góc thì trùng nhau.
D. Cả ba đáp án A, B, C đều sai.
Lời giải:
Hai đường thẳng vuông góc thì cắt nhau.
Đáp án cần chọn là: B
Câu 4: Hãy chọn câu sai trong các câu sau
A. Hai đường thẳng vuông góc thì cắt nhau.
B. Hai đường thẳng cắt nhau thì vuông góc.
C. Hai đường thẳng không cắt nhau thì không vuông góc.
D. Đường trung trực của đoạn thẳng là đường vuông góc với đoạn thẳng ấy tại trung điểm của nó.
Lời giải:
Hai đường thẳng vuông góc thì cắt nhau nên A, C đúng.
Đường trung trực của đoạn thẳng là đường vuông góc với đoạn thẳng ấy tại trung điểm của nó (D đúng).
Hai đường thẳng cắt nhau thì chưa chắc vuông góc nên B sai.
Đáp án cần chọn là: B
Câu 5: Đường trung trực của một đoạn thẳng là
A. Đường thẳng đi qua trung điểm của đoạn thẳng đó
B. Đường thẳng vuông góc với đoạn thẳng đó
C. Đường thẳng cắt đoạn thẳng đó
D. Đường thẳng vuông góc với đoạn thẳng tại trung điểm đoạn thẳng đó
Lời giải:
Đường trung trực của đoạn thẳng là đường vuông góc với đoạn thẳng ấy tại trung điểm của nó.
Đáp án cần chọn là: D
Câu 6: Cho .
Tia OC nằm giữa hai tia OA, OB sao cho
. Chọn câu đúng
Lời giải:
Đáp án cần chọn là: A
Câu 7: Cho .
Tia OC nằm giữa hai tia OA, OB sao cho
. Chọn câu đúng
Lời giải:
Đáp án cần chọn là: B
Câu 8: Cho .
Vẽ tia OC là tia đối của tia OA. Tính
biết OD ⊥ OB, các tia OD và OA thuộc hai nửa mặt phẳng đối nhau bờ OB
Lời giải:
Vì OA và OC là hai tia đối nhau và tia OB nằm giữa OA và OD nên ta có:
Đáp án cần chọn là: D
Câu 9: Cho . Vẽ tia OC là tia đối của tia OA. Vẽ tia OD sao cho OD ⊥ OB, các tia OD và OA thuộc hai nửa mặt phẳng đối nhau bờ OB. Chọn câu sai
Lời giải:
Tia OD và OA thuộc hai nửa mặt phẳng đối nhau bờ OB nên OB nằm giữa hai tia OA,OD ta có:
Vì OA và OC là hai tia đối nhau nên tia OD nằm giữa hai tia OA và OC, ta có:
Đáp án cần chọn là: D
Câu 10: Cho góc AOB có số đo bằng . Trong góc này vẽ hai tia OC và OD vuông góc với tia OA và OB
10.1:So sánh góc AOD và BOC
Lời giải:
Đáp án cần chọn là: C
10.2: Tính số đo góc COD
Lời giải:
Đáp án cần chọn là: B
Câu 11: Cho góc AOB có số đo bằng 120°. Trong góc này vẽ hai tia OC và OD vuông góc với tia OA và OB
11.1: Tính góc AOD và BOC
Lời giải:
Vì tia OD nằm trong nên tia OD nằm giữa hai tia OA và OB
Vì tia OC nằm trong nên tia OC nằm giữa hai tia OA và OB
Đáp án cần chọn là: C
11.2: Tính số đo góc COD
Lời giải:
Đáp án cần chọn là: C
Câu 12: Chọn câu đúng. Hai tia phân giác của hai góc kề bù
A. Vuông góc với nhau
B. Song song với nhau
C. Đối nhau
D. Trùng nhau
Lời giải:
Hay . Vậy hai tia phân giác của hai góc kề bù thì vuông góc với nhau
Đáp án cần chọn là: A
Câu 13:Cho
là hai góc kề bù. Tia Oz, Ot lần lượt là hai tia phân giác của
Lời giải:
Đáp án cần chọn là: B
Câu 14: Cho góc AOB có số đo bằng 90°. Trong góc AOB vẽ tia OC.
Trên nửa mặt phẳng bờ OB không chứa tia OC, vẽ tia OD sao cho . Tính số đo góc COD
Lời giải:
Đáp án cần chọn là: D
Câu 15: Cho góc AOB có số đo bằng 90°. Trong góc AOB vẽ tia OC sao cho .
Trên nửa mặt phẳng bờ OB sao chứa tia OC, vẽ tia OD ⊥ OC. Tính số đo góc BOD
Lời giải:
Vì tia OC nằm trong nên tia OC nằm giữa tia OA và OB ta có:
Lại có OD nằm trên nửa mặt phẳng bờ OB không chưa tia OC nên tia OB nằm giữa hai tia OC và OD, ta có:
Đáp án cần chọn là: D
Câu 16: Cho hai tia Ox và Oy vuông góc với nhau. Trong góc xOy vẽ hai tia Om và On sao cho . Vẽ tia Oz sao cho tia Oy là tia phân giác góc mOz
16.1: Chọn câu đúng
A. Tia Om là tia phân giác của góc nOx..
B. Tia Om là tia phân giác của góc xOy
C. Tia On nằm giữa hai tia Omvà Ox
D. Tia On là tia phân giác của góc xOy
Lời giải:
và tia Om nằm giữa hai tia Ox và On
Vậy tia Om là tia phân giác của góc nOx.
Đáp án cần chọn là: A
16.2: Chọn câu đúng
và tia Om nằm giữa hai tia Ox và On
Lời giải:
và tia Om nằm giữa hai tia Ox và On
Đáp án cần chọn là: B
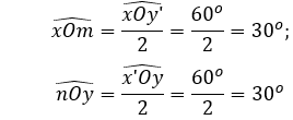
Câu 17:Cho . Vẽ Ox' ⊥ Ox; Oy' ⊥ Oy sao cho tia Ox',Oy' nằm giữa hai tia Ox, Oy
17.1: Tính các góc xOy', x'Oy
Lời giải:
Đáp án cần chọn là: A
17.2: Kẻ Om và On là tia phân giác của các góc xOy' và x'Oy. Khi đó
Lời giải:
Ta có: Om và On là tia phân giác của các góc xOy' và x'Oy nên
Đáp án cần chọn là: A
Câu 18: Cho . Vẽ Ox' ⊥ Ox; Oy' ⊥ Oy sao cho tia Ox',Oy' nằm giữa hai tia Ox, Oy
17.1: Tính các góc xOy', x'Oy
Lời giải:
Đáp án cần chọn là: D
18.2: Kẻ Om và On là tia phân giác của các góc xOy' và x'Oy. Tính góc mOn
Lời giải:
Ta có Om và On là tia phân giác của các góc xOy' và x'Oy nên
Đáp án cần chọn là: A
Câu 19: Cho . Trên nửa mặt phẳng bờ Oy có chứa tia Ox, kẻ Oz ⊥ Ox.
Gọi OE là tia phân giác của
Lời giải:
Đáp án cần chọn là: D
(199k) Học Toán 7 KNTTHọc Toán 7 CTSTHọc Toán 7 CD
Xem thêm các bài tập trắc nghiệm Toán lớp 7 chọn lọc, có đáp án chi tiết hay khác:
- Trắc nghiệm Hai góc đối đỉnh
- Trắc nghiệm Các góc tạo bởi một đường thẳng cắt hai đường thẳng
- Trắc nghiệm Hai đường thẳng song song. Tiên đề Ơ-clit về hai đường thẳng song song
Lời giải bài tập lớp 7 sách mới:
- Giải bài tập Lớp 7 Kết nối tri thức
- Giải bài tập Lớp 7 Chân trời sáng tạo
- Giải bài tập Lớp 7 Cánh diều
Tủ sách VIETJACK shopee lớp 6-8 (2025):
Đã có app VietJack trên điện thoại, giải bài tập SGK, SBT Soạn văn, Văn mẫu, Thi online, Bài giảng....miễn phí. Tải ngay ứng dụng trên Android và iOS.
Theo dõi chúng tôi miễn phí trên mạng xã hội facebook và youtube:Loạt bài Lý thuyết - Bài tập Toán lớp 7 có đầy đủ Lý thuyết và các dạng bài có lời giải chi tiết được biên soạn bám sát nội dung chương trình sgk Đại số 7 và Hình học 7.
Nếu thấy hay, hãy động viên và chia sẻ nhé! Các bình luận không phù hợp với nội quy bình luận trang web sẽ bị cấm bình luận vĩnh viễn.
- Giải Tiếng Anh 7 Global Success
- Giải Tiếng Anh 7 Friends plus
- Giải sgk Tiếng Anh 7 Smart World
- Giải Tiếng Anh 7 Explore English
- Lớp 7 - Kết nối tri thức
- Soạn văn 7 (hay nhất) - KNTT
- Soạn văn 7 (ngắn nhất) - KNTT
- Giải sgk Toán 7 - KNTT
- Giải sgk Khoa học tự nhiên 7 - KNTT
- Giải sgk Lịch Sử 7 - KNTT
- Giải sgk Địa Lí 7 - KNTT
- Giải sgk Giáo dục công dân 7 - KNTT
- Giải sgk Tin học 7 - KNTT
- Giải sgk Công nghệ 7 - KNTT
- Giải sgk Hoạt động trải nghiệm 7 - KNTT
- Giải sgk Âm nhạc 7 - KNTT
- Lớp 7 - Chân trời sáng tạo
- Soạn văn 7 (hay nhất) - CTST
- Soạn văn 7 (ngắn nhất) - CTST
- Giải sgk Toán 7 - CTST
- Giải sgk Khoa học tự nhiên 7 - CTST
- Giải sgk Lịch Sử 7 - CTST
- Giải sgk Địa Lí 7 - CTST
- Giải sgk Giáo dục công dân 7 - CTST
- Giải sgk Công nghệ 7 - CTST
- Giải sgk Tin học 7 - CTST
- Giải sgk Hoạt động trải nghiệm 7 - CTST
- Giải sgk Âm nhạc 7 - CTST
- Lớp 7 - Cánh diều
- Soạn văn 7 (hay nhất) - Cánh diều
- Soạn văn 7 (ngắn nhất) - Cánh diều
- Giải sgk Toán 7 - Cánh diều
- Giải sgk Khoa học tự nhiên 7 - Cánh diều
- Giải sgk Lịch Sử 7 - Cánh diều
- Giải sgk Địa Lí 7 - Cánh diều
- Giải sgk Giáo dục công dân 7 - Cánh diều
- Giải sgk Công nghệ 7 - Cánh diều
- Giải sgk Tin học 7 - Cánh diều
- Giải sgk Hoạt động trải nghiệm 7 - Cánh diều
- Giải sgk Âm nhạc 7 - Cánh diều


Giải bài tập SGK & SBT
Tài liệu giáo viên
Sách
Khóa học
Thi online
Hỏi đáp

