Top 40 Bài tập Số hữu tỉ; Số thực (có đáp án)
Top 40 Bài tập Số hữu tỉ; Số thực (có đáp án)
(199k) Học Toán 7 KNTTHọc Toán 7 CTSTHọc Toán 7 CD
Bài 1: Trong các phân số sau, phân số nào không bằng phân số 3/4
Lời giải:
Ta có:
Chọn đáp án A.
Bài 2: Cho các câu sau:
(I) Số hữu tỉ dương lớn hơn số hữu tỉ âm
(II) Số hữu tỉ dương lớn hơn số tự nhiên
(III) Số 0 là số hữu tỉ âm
(IV) Số nguyên dương là số hữu tỉ
Số các câu đúng trong các câu sau:
A. 1 B. 2 C. 3 D. 4
Lời giải:
(I) đúng
(IV) đúng vì mỗi số nguyên dương đều là số hữu tỉ với mẫu bằng 1.
Chọn đáp án B.
Bài 3: Sắp xếp các số hữu tỉ sau theo thứ tự giảm dần
Lời giải:
Chọn đáp án C.
Bài 4: Số hữu tỉ lớn nhất trong các số
Lời giải:
Chọn đáp án D.
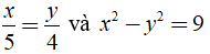
Bài 5: So sánh hai số x = 2/-5 và y = -3/13
A. x > y B. x < y C. x = y D. x ≥ y
Lời giải:
Chọn đáp án B.
Bài 6: 23/12 là kết quả của phép tính
Lời giải:
Chọn đáp án A.
Bài 7: Tính , ta được kết quả:
Lời giải:
Ta có:
Chọn đáp án B.
Bài 8: Tính giá trị của phép tính
Lời giải:
Ta có:
Chọn đáp án D.
Bài 9: Số nào dưới dây là giá trị của biểu thức
A. 2 B. -1 C. 1 D. 0
Lời giải:
Chọn đáp án D.
Bài 10: Cho các số hữu tỉ. Tổng x + y bằng
Lời giải:
Ta có:
Chọn đáp án C.
Bài 11: Kết quả của phép tính (3/2).(4/7) là:
A. Một số nguyên âm
B. Một số nguyên dương
C. Một phân số nhỏ hơn 0
D. Một phân số lớn hơn 0
Lời giải:
Ta có:
Là một phân số lớn hơn 0
Chọn đáp án D.
Bài 12: Cho. So sánh A và B
A. A > B B. A < B C. A = B D. A ≥ B
Lời giải:
Khi đó ta thấy A < B
Chọn đáp án B.
Bài 13: Tìm x thỏa mãn
A. x = 1 B. x = -1 C. x = 5/2 D. x = -5/2
Lời giải:
Chọn đáp án B.
Bài 14: Gọi x0 là giá trị thỏa mãn
A. x0 < 1 B. x0 = 1 C. x0 > 1 D. x0 = -1
Lời giải:
Chọn đáp án A.
Bài 15: Có bao nhiêu giá trị của x thỏa mãn
A. 1 B. 2 C. 3 D. 0
Lời giải:
Vậy có một giá trị
Chọn đáp án A.
Bài 16: Tính M = |-2,8| : (-0,7)
A. M = 4 B. M = -4 C. M = 0,4 D. M = -0,4
Lời giải:
Ta có: M = |-2,8| : (-0,7) = 2,8 : (-0,7) = -4
Chọn đáp án B.
Bài 17: Tổng các giá trị của x thỏa mãn
Lời giải:
Chọn đáp án C.
Bài 18: Có bao nhiêu giá trị của x thỏa mãn 7,5 - 2.|5 - 2x| = -4,5
A. 1 B. 2 C. 3 D. 0
Lời giải:
Chọn đáp án B.
Bài 19: Tính nhanh 21,6 + 34,7 + 78,4 + 65,3 được:
A. 100 B. 200 C. 300 D. 400
Lời giải:
Ta có: 21,6 + 34,7 + 78,4 + 65,3 = (21,6 + 78,4) + (34,7+ 65,3) = 100 + 100 = 200
Chọn đáp án B.
Bài 20: Với mọi x ∈ Q. Khẳng định nào sau đây sai?
A. |-x| = |x| B. |x| < -x C. |x| ≥ 0 D. |x| ≥ x
Lời giải:
Với mọi x ∈ Q, ta luôn có: |-x| = |x| , |x| ≥ 0 , |x| ≥ x
Chọn đáp án B.
Bài 21: Chọn câu sai. Với hai số hữu tỉ a, b và hai số tự nhiên m, n ta có:
Lời giải:
Ta có: am.an = am+n; (a.b)m = am.bm; (am)n = am.n nên C sai
Chọn đáp án C.
Bài 22: Chọn khẳng định đúng. Với số hữu tỉ x ta có
Lời giải:
Chọn đáp án D.
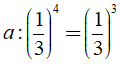
Bài 23: Số x sao cho thỏa mãn 2x = (22)5 là:
A. 5 B. 7 C. 210 D. 10
Lời giải:
Ta có: (22)5 = 22.5 = 210
Khi đó 2x = 210 ⇒ x = 10
Chọn đáp án D.
Bài 24: Số a thỏa mãn
Lời giải:
Chọn đáp án B.
Bài 25: Giá trị nhỏ nhất của biểu thức là
Lời giải:
Do đó GTNN của biểu thức là 1/100 khi và chỉ khi
Chọn đáp án B.
Bài 26: Tìm x biết
Lời giải:
Chọn đáp án C.
Bài 27: Có bao nhiêu giá trị x thỏa mãn 16/x = x/25
A. 1 B. 2 C. 3 D. 0
Lời giải:
Ta có: 16/x = x/25 nên x.x = 16.25
x2 = 400
Suy ra x = 20 hoặc x = -20
Vậy có hai giá trị của x
Chọn đáp án B.
Bài 28: Giá trị nào của x thỏa mãn 2,5 : 7,5 = x : 3/5
Lời giải:
Chọn đáp án A.
Bài 29: Cho tỉ lệ thức x/15 = -4/5 thì
Lời giải:
Chọn đáp án A.
Bài 30: Biết rằngthì x/y bằng?
Lời giải:
Chọn đáp án D.
Bài 31: Chia 48 thành bốn phần tỉ lệ với các số là 3; 5; 7; 9. Các số đó theo thứ tự tăng dần là?
A. 6; 12; 14; 18
B. 18; 14; 10; 6
C. 6; 14; 10; 18
D. 6; 10; 14; 18
Lời giải:
Giả sử 48 chia thành bốn phần là x; y; z; t tỉ lệ với các số 3; 5; 7; 9
Ta có:
Áp dụng tính chất của dãy tỉ số bằng nhau, ta có:
Do đó: x = 6; y = 10; z = 14; t = 18
Chọn đáp án D.
Bài 32: Cho. Số lớn nhất trong ba số x; y; z là?
A. 27 B. -27 C. -18 D. -45
Lời giải:
Ta có:
Khi đó ta có: x = -18 ; y = -27 ; z = -45
Số lớn nhất là -18
Chọn đáp án C.
Bài 33: Có bao nhiêu bộ số (x; y) thỏa mãn
A. 2 B. 3 C. 4 D. 1
Lời giải:
Chọn đáp án A.
Bài 34: Tìm x, y biết x/y = 7/3 và 5x - 2y = 87
A. x = 9 ; y = 21
B. x = 21 ; y = 9
C. x = 21 ; y = -9
D. x = -21 ; y = -9
Lời giải:
Chọn đáp án B.
Bài 35: Cho x/2 = y/5 và x.y = 10. Tính x - y, biết x > 0, y > 0
A. -3 B. 3 C. 8 D. -8
Lời giải:
Chọn đáp án A.
Bài 36: Phân số nào dưới đây được biểu diễn dưới dạng số thập phân là 0,016
Lời giải:
Ta có:
Chọn đáp án A.
Bài 37: Làm tròn số 0,158 đến chữ số thập phân thứ nhất ta được
A. 0,17 B. 0,159 C. 0,16 D. 0,2
Lời giải:
Vì số 0,158 có chữ số thập phân thứ hai 5 ≥ 5 nên khi làm tròn đến chữ số thập phân thứ nhất ta được 0,158 ≈ 0,2 .
Chọn đáp án D
Bài 38: So sánh hai số √(9.16) và √9 . √16
Lời giải:
Chọn đáp án A.
Bài 39: Một bạn học sinh làm như sau:
Chọn kết luận đúng?
A. Bạn đã làm đúng
B. Bạn đã làm sai từ bước (1)
C. Bạn đã làm sai từ bước (2)
D. Bạn đã làm sai từ bước (3)
Lời giải:
Ta có:
Nên bạn đó đã sai ở bước (3)
Chọn đáp án D.
Bài 40: Sắp xếp các số sau theo thứ tự tăng dần:
Lời giải:
Chọn đáp án D.
(199k) Học Toán 7 KNTTHọc Toán 7 CTSTHọc Toán 7 CD
Xem thêm các phần lý thuyết, các dạng bài tập Toán lớp 7 có đáp án chi tiết hay khác:
- Lý thuyết Đại lượng tỉ tệ thuận
- Bài tập Đại lượng tỉ tệ thuận
- Lý thuyết Một số bài toán về đại lượng tỉ lệ thuận
- Bài tập Một số bài toán về đại lượng tỉ lệ thuận
- Lý thuyết Đại lượng tỉ lệ nghịch
- Bài tập Đại lượng tỉ lệ nghịch
Lời giải bài tập lớp 7 sách mới:
- Giải bài tập Lớp 7 Kết nối tri thức
- Giải bài tập Lớp 7 Chân trời sáng tạo
- Giải bài tập Lớp 7 Cánh diều
Tủ sách VIETJACK shopee lớp 6-8 (2025):
Đã có app VietJack trên điện thoại, giải bài tập SGK, SBT Soạn văn, Văn mẫu, Thi online, Bài giảng....miễn phí. Tải ngay ứng dụng trên Android và iOS.
Theo dõi chúng tôi miễn phí trên mạng xã hội facebook và youtube:Loạt bài Lý thuyết - Bài tập Toán lớp 7 có đầy đủ Lý thuyết và các dạng bài có lời giải chi tiết được biên soạn bám sát nội dung chương trình sgk Đại số 7 và Hình học 7.
Nếu thấy hay, hãy động viên và chia sẻ nhé! Các bình luận không phù hợp với nội quy bình luận trang web sẽ bị cấm bình luận vĩnh viễn.
- Giải Tiếng Anh 7 Global Success
- Giải Tiếng Anh 7 Friends plus
- Giải sgk Tiếng Anh 7 Smart World
- Giải Tiếng Anh 7 Explore English
- Lớp 7 - Kết nối tri thức
- Soạn văn 7 (hay nhất) - KNTT
- Soạn văn 7 (ngắn nhất) - KNTT
- Giải sgk Toán 7 - KNTT
- Giải sgk Khoa học tự nhiên 7 - KNTT
- Giải sgk Lịch Sử 7 - KNTT
- Giải sgk Địa Lí 7 - KNTT
- Giải sgk Giáo dục công dân 7 - KNTT
- Giải sgk Tin học 7 - KNTT
- Giải sgk Công nghệ 7 - KNTT
- Giải sgk Hoạt động trải nghiệm 7 - KNTT
- Giải sgk Âm nhạc 7 - KNTT
- Lớp 7 - Chân trời sáng tạo
- Soạn văn 7 (hay nhất) - CTST
- Soạn văn 7 (ngắn nhất) - CTST
- Giải sgk Toán 7 - CTST
- Giải sgk Khoa học tự nhiên 7 - CTST
- Giải sgk Lịch Sử 7 - CTST
- Giải sgk Địa Lí 7 - CTST
- Giải sgk Giáo dục công dân 7 - CTST
- Giải sgk Công nghệ 7 - CTST
- Giải sgk Tin học 7 - CTST
- Giải sgk Hoạt động trải nghiệm 7 - CTST
- Giải sgk Âm nhạc 7 - CTST
- Lớp 7 - Cánh diều
- Soạn văn 7 (hay nhất) - Cánh diều
- Soạn văn 7 (ngắn nhất) - Cánh diều
- Giải sgk Toán 7 - Cánh diều
- Giải sgk Khoa học tự nhiên 7 - Cánh diều
- Giải sgk Lịch Sử 7 - Cánh diều
- Giải sgk Địa Lí 7 - Cánh diều
- Giải sgk Giáo dục công dân 7 - Cánh diều
- Giải sgk Công nghệ 7 - Cánh diều
- Giải sgk Tin học 7 - Cánh diều
- Giải sgk Hoạt động trải nghiệm 7 - Cánh diều
- Giải sgk Âm nhạc 7 - Cánh diều


Giải bài tập SGK & SBT
Tài liệu giáo viên
Sách
Khóa học
Thi online
Hỏi đáp

