Tổng hợp lý thuyết Toán 7 Chương 1 (cả ba sách) | Kiến thức trọng tâm Toán 7
Tổng hợp lý thuyết Toán 7 Chương 1 Kết nối tri thức, Chân trời sáng tạo, Cánh diều hay, chi tiết giúp học sinh lớp 7 nắm vững kiến thức trọng tâm, ôn tập để học tốt Toán 7 Chương 1. Bạn vào tên chương hoặc Xem chi tiết để theo dõi bài viết.
Tóm tắt lý thuyết Toán 7 Chương 1 (cả ba sách)
(199k) Xem Khóa học Toán 7 KNTTXem Khóa học Toán 7 CTSTXem Khóa học Toán 7 CD
(199k) Xem Khóa học Toán 7 KNTTXem Khóa học Toán 7 CTSTXem Khóa học Toán 7 CD
Xem thêm tóm tắt lý thuyết Toán 7 cả ba sách hay khác:
- Tóm tắt Lý thuyết Toán 7 Chương 1 (sách mới)
- Tổng hợp Lý thuyết Toán 7 Chương 2 (cả ba sách)
- Tóm tắt Lý thuyết Toán 7 Chương 2 (sách mới)
- Tổng hợp Lý thuyết Toán 7 Chương 3 (cả ba sách)
- Tóm tắt Lý thuyết Toán 7 Chương 3 (sách mới)
- Tổng hợp Lý thuyết Toán 7 Chương 3 (cả ba sách)
Lưu trữ: Tóm tắt lý thuyết Toán 7 Chương 1 (sách cũ)
A. Lý thuyết
1. Số hữu tỉ
- Các phân số bằng nhau là cách viết khác nhau của cùng một số, số đó được gọi là số hữu tỉ.
- Số hữu tỉ là số được viết dưới dạng phân số a/b với a, b ∈ Z và b ≠ 0
- Tập hợp các số hữu tỉ được kí hiệu là Q ( x là số hữu tỉ thì ghi là x ∈ Q )
2. So sánh hai số hữu tỉ
Để so sánh hai số hữu tỉ x, y ta thường làm như sau:
- Viết x, y dưới dạng hai phân số có cùng mẫu dương
x = a/m; y = b/m (a, b, m ∈ Z, m > 0)
- So sánh hai số nguyên a và b
+ Nếu a < b thì x < y
+ Nếu a = b thì x = y
+ Nếu a > b thì x > y
- Trên trục số nếu x < y thì điểm nằm bên trái điểm y
- Số hữu tỉ lớn hớn 0 được gọi là số hữu tỉ dương.
- Số hữu tỉ nhỏ hơn 0 được gọc là số hữu tỉ âm.
- Số 0 không phải là số hữu tỉ dương cũng không phải là số hữu tỉ âm.
Nhận xét:
+ Số hữu tỉ a/b là số hữu tỉ dương (a/b > 0) thì a, b cùng dấu.
+ Số hữu tỉ a/b là số hữu tỉ âm (a/b > 0) thì a, b trái dấu.
   + Ta có:
3. Công, trừ hai số hữu tỉ
Để cộng trừ hai số hữu tỉ x và y , ta làm như sau:
- Viết x, y dưới dạng hai phân số có cùng mẫu dương (quy đồng mẫu số dương)
- Thực hiện phép cộng trừ (cộng, trừ tử và giữ nguyên mẫu)
Khi chuyển một số hạng từ vế này sang vế kia của một đẳng thức, ta phải đổi dấu của số hạng đó.
Với x, y, z, t ∈ Q, ta có: x + y = z ⇒ x = z - y.
4. Nhân, chia hai số hữu tỉ
Chú ý:
   + Mỗi số hữu tỷ y ≠ 0 đều có một số nghịch đảo là. Số nghịch đảo của a/b là  b/a (với a, b ≠ 0)
+ Thương của phép chia số hữu tỉ x cho số hữu tỉ y ≠ 0 gọi là tỉ số của hai số x và y, kí hiệu là x/y hoặc x : y.
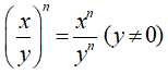
5. Lũy thừa với số mũ tự nhiên
Lũy thừa bậc n của một số hữu tỷ x, kí hiệu là xn, là tích của n thừa số x (n là số tự nhiên lớn hơn 1).
Với x ∈ Q, n ∈ N, n > 1 ta có:
xn đọc là x mũ n hoặc x lũy thừa n hoặc lũy thừa bậc n của x; x gọi là cơ số, n gọi là số mũ.
Cũng như vậy, đối với số hữu tỉ x, ta có các công thức: xm.xn = xm + n
(Khi nhân hai lũy thừa cùng cơ số, ta giữ nguyên cơ số và cộng hai số mũ)
xm:xn = xm - n ( x ≠ 0, m ≥ n)
(Khi chia hai lũy thừa cùng cơ số khác 0, ta giữ nguyên cơ số và lấy số mũ của lũy thừa bị chia trừ đi mũ của lũy thừa chia)
6. Lũy thừa của lũy thừa
Khi tính lũy thừa của một lũy thừa, ta giữ nguyên cơ số và nhân hai số mũ
(xm) = xm.n
7. Lũy thừa của một tích, một thương
Lũy thừa của một tích bằng tích các lũy thừa
(x.y)n = xn.yn
Lũy thừa của một thương bằng thương các lũy thừa
 
8. Giá trị tuyệt đối của một số hữu tỉ
Giá trị tuyệt đối của một số hữu tỉ x được kí hiệu là |x|, là khoảng cách từ điểm x tới điểm O trên trục số.
+ Nếu x > 0 thì |x| = x
+ Nếu x = 0 thì |x| = 0.
+ Nếu x < 0 thì |x| = -x
Từ định nghĩa trên ta có thể viết như sau:
9. Tính chất của tỉ lệ thức
Định nghĩa: Tỉ lệ thức là đẳng thức của hai tỉ số  
Tính chất 1 (tính chất cơ bản của tỉ lệ thức)
Nếu a/b = c/d thì a.d = b.c
Ví dụ:
Tính chất 2
Nếu a.d = b.c và a, b, c, d ≠ 0 thì ta có các tỉ thức:
10. Tính chất của dãy tỉ số bằng nhau
Tính chất của dãy tỉ số bằng nhau
11. Số thập phân hữu hạn và số thập phân vô hạn tuần hoàn
+ Nếu một phân số tối giản với mẫu dương mà mẫu không có ước nguyên tố khác 2 và 5 thì phân số đó viết được dưới dạng số thập phân hữu hạn.
+ Nếu một phân số tối giản với mẫu dương mà mẫu có ước nguyên tố khác 2 và 5 thì phân số đó viết được dưới dạng số thập phân vô hạn tuần hoàn.
12. Quy ước làm tròn số
+ Nếu chữ số đầu tiên trong các chữ số bị bỏ đi nhỏ hơn 5 thì ta giữ nguyên bộ phận còn lại. Trong trường hợp số nguyên thì ta thay các chữ số bỏ đi bằng chữ số 0.
+ Nếu chữ số đầu tiên trong các chữ số bị bỏ đi lớn hơn hoặc bằng 5 thì ta cộng thêm 1 vào chữ số cuối cùng của bộ phận còn lại. Trong trường hợp số nguyên thì ta thay các chữ số bỏ đi bằng chữ số 0.
13. Số vô tỉ
+ Số vô tỉ là số được viết dưới dạng số thập phân vô hạn không tuần hoàn.
+ Tập hợp các số vô tỉ được kí hiệu là I.
14. Căn bậc hai
Căn bậc hai của một số a không âm là số x sao cho x2 = a .
Số dương a có đúng hai căn bậc hai là √a và -√a
14. Số thực
+ Số hữu tỉ và số vô tỉ được gọi chung là số thực.
+ Tập hợp các số thực được kí hiệu là R .
+ x ∈ R: x là một số thực
B. Bài tập
Bài 1: So sánh các số hữu tỉ sau bằng cách nhanh nhất
Lời giải:
Bài 2: Tính giá trị các biểu thức sau
Lời giải:
Bài 3: Chứng minh các bất đẳng thức sau
a) (a + b)(a + b) = a2 + 2ab + b2
b) (a + b)(a - b) = a2 - b2
Lời giải:
Bài 4: Thực hiện các phép tính sau
Lời giải:
Bài 5: Chứng minh rằng 109 + 108 + 107 chia hết cho 222
Lời giải:
Ta có: 109 + 108 + 107 = 107(102 + 10 + 1)
(2.5)7.(102 + 10 + 1) = 27.57.(100 + 10 + 1)
26.57.111.2 = 222.26.57 chia hết 222 (đpcm)
Bài 6: Chứng minh rằng nếu a/b = c/d thì:
Lời giải:
Bài 7: Ba học sinh A, B, C có số điểm mười tỉ lệ với các số 2; 3; 4. Biết rằng tổng số điểm mười của A và C lớn hơn B là 6 điểm mười. Hỏi mỗi em có bao nhiêu điểm 10?
Lời giải:
Gọi a, b, c lần lượt là số điểm 10 của ba học sinh A, B, C
Vậy bạn A có 4 điểm 10
Bạn B có 6 điểm 10; bạn C có 8 điểm 10
Bài 8: Viết các số sau dưới dạng số thập phân gần đúng, chính xác đến hai chữ số thập phân, ba chữ số thập phân
Lời giải:
a) Ta có:
+ Chính xác đến hai chữ số thập phân là: 2,67
+ Chính xác đến ba chữ số thập phân là: 2,667
b) Ta có:
+ Chính xác đến hai chữ số thập phân là: 4,43
+ Chính xác đến ba chữ số thập phân là: 4,429
c) Ta có:
+ Chính xác đến hai chữ số thập phân là: 5,27
+ Chính xác đến ba chữ số thập phân là: 5, 273
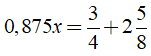
Bài 9: Tìm x gần đúng chính xác đến hai chữ số thập phân:
Lời giải:
Vậy giá trị gần đúng chính xác đến hai chữ số thập phân của x là x ≈ 3,86
Bài 10: Cho 
Chứng minh rằng B < 1
Lời giải:
Vậy B < 1.
Bài 11: Tìm các số x; y; z biết rằng:
Lời giải:
Theo tính chất của dãy tỉ số bằng nhau, ta có:
Bài 12: Chứng minh rằng:
Lời giải:
(199k) Xem Khóa học Toán 7 KNTTXem Khóa học Toán 7 CTSTXem Khóa học Toán 7 CD
Xem thêm các phần lý thuyết, các dạng bài tập Toán lớp 7 có đáp án chi tiết hay khác:
- Lý thuyết Đại lượng tỉ tệ thuận
- Bài tập Đại lượng tỉ tệ thuận
- Lý thuyết Một số bài toán về đại lượng tỉ lệ thuận
- Bài tập Một số bài toán về đại lượng tỉ lệ thuận
- Lý thuyết Đại lượng tỉ lệ nghịch
- Bài tập Đại lượng tỉ lệ nghịch
Lời giải bài tập lớp 7 sách mới:
- Giải bài tập Lớp 7 Kết nối tri thức
- Giải bài tập Lớp 7 Chân trời sáng tạo
- Giải bài tập Lớp 7 Cánh diều
Tủ sách VIETJACK shopee lớp 6-8 (2025):
Đã có app VietJack trên điện thoại, giải bài tập SGK, SBT Soạn văn, Văn mẫu, Thi online, Bài giảng....miễn phí. Tải ngay ứng dụng trên Android và iOS.
Theo dõi chúng tôi miễn phí trên mạng xã hội facebook và youtube:Loạt bài Lý thuyết - Bài tập Toán lớp 7 có đầy đủ Lý thuyết và các dạng bài có lời giải chi tiết được biên soạn bám sát nội dung chương trình sgk Đại số 7 và Hình học 7.
Nếu thấy hay, hãy động viên và chia sẻ nhé! Các bình luận không phù hợp với nội quy bình luận trang web sẽ bị cấm bình luận vĩnh viễn.
- Giải Tiếng Anh 7 Global Success
- Giải Tiếng Anh 7 Friends plus
- Giải sgk Tiếng Anh 7 Smart World
- Giải Tiếng Anh 7 Explore English
- Lớp 7 - Kết nối tri thức
- Soạn văn 7 (hay nhất) - KNTT
- Soạn văn 7 (ngắn nhất) - KNTT
- Giải sgk Toán 7 - KNTT
- Giải sgk Khoa học tự nhiên 7 - KNTT
- Giải sgk Lịch Sử 7 - KNTT
- Giải sgk Địa Lí 7 - KNTT
- Giải sgk Giáo dục công dân 7 - KNTT
- Giải sgk Tin học 7 - KNTT
- Giải sgk Công nghệ 7 - KNTT
- Giải sgk Hoạt động trải nghiệm 7 - KNTT
- Giải sgk Âm nhạc 7 - KNTT
- Lớp 7 - Chân trời sáng tạo
- Soạn văn 7 (hay nhất) - CTST
- Soạn văn 7 (ngắn nhất) - CTST
- Giải sgk Toán 7 - CTST
- Giải sgk Khoa học tự nhiên 7 - CTST
- Giải sgk Lịch Sử 7 - CTST
- Giải sgk Địa Lí 7 - CTST
- Giải sgk Giáo dục công dân 7 - CTST
- Giải sgk Công nghệ 7 - CTST
- Giải sgk Tin học 7 - CTST
- Giải sgk Hoạt động trải nghiệm 7 - CTST
- Giải sgk Âm nhạc 7 - CTST
- Lớp 7 - Cánh diều
- Soạn văn 7 (hay nhất) - Cánh diều
- Soạn văn 7 (ngắn nhất) - Cánh diều
- Giải sgk Toán 7 - Cánh diều
- Giải sgk Khoa học tự nhiên 7 - Cánh diều
- Giải sgk Lịch Sử 7 - Cánh diều
- Giải sgk Địa Lí 7 - Cánh diều
- Giải sgk Giáo dục công dân 7 - Cánh diều
- Giải sgk Công nghệ 7 - Cánh diều
- Giải sgk Tin học 7 - Cánh diều
- Giải sgk Hoạt động trải nghiệm 7 - Cánh diều
- Giải sgk Âm nhạc 7 - Cánh diều
 
    
	                 
	                 
	                 
	                 
	                 
	                

 
 Giải bài tập SGK & SBT
		                    Giải bài tập SGK & SBT
		                 Tài liệu giáo viên
		                    Tài liệu giáo viên
		                 Sách
		                    Sách
		                 Khóa học
		                    Khóa học
		                 Thi online
		                    Thi online
		                 Hỏi đáp
		                    Hỏi đáp
		                
