Tổng hợp lý thuyết Toán 7 Chương 4 (cả ba sách) | Kiến thức trọng tâm Toán 7
Tổng hợp lý thuyết Toán 7 Chương 4 Kết nối tri thức, Chân trời sáng tạo, Cánh diều hay, chi tiết giúp học sinh lớp 7 nắm vững kiến thức trọng tâm, ôn tập để học tốt Toán 7 Chương 4. Bạn vào tên chương hoặc Xem chi tiết để theo dõi bài viết.
Tóm tắt lý thuyết Toán 7 Chương 4 (cả ba sách)
(199k) Xem Khóa học Toán 7 KNTTXem Khóa học Toán 7 CTSTXem Khóa học Toán 7 CD
(Kết nối tri thức) Lý thuyết Toán 7 Chương 4: Tam giác bằng nhau
(Chân trời sáng tạo) Lý thuyết Toán 7 Chương 4: Góc và đường thẳng song song
(Cánh diều) Lý thuyết Toán 7 Chương 4: Góc. Đường thẳng song song
(199k) Xem Khóa học Toán 7 KNTTXem Khóa học Toán 7 CTSTXem Khóa học Toán 7 CD
Xem thêm tóm tắt lý thuyết Toán 7 cả ba sách hay khác:
- Tổng hợp Lý thuyết Toán 7 Chương 1 (cả ba sách)
- Tóm tắt Lý thuyết Toán 7 Chương 1 (sách mới)
- Tổng hợp Lý thuyết Toán 7 Chương 2 (cả ba sách)
- Tóm tắt Lý thuyết Toán 7 Chương 2 (sách mới)
- Tổng hợp Lý thuyết Toán 7 Chương 3 (cả ba sách)
- Tóm tắt Lý thuyết Toán 7 Chương 3 (sách mới)
Lưu trữ: Tóm tắt lý thuyết Toán 7 Chương 4 (sách cũ)
A. Lý thuyết
1. Biểu thức đại số
Những biểu thức bao gồm các phép toán cộng, trừ, nhân, chia, nâng lên lũy thừa không chỉ trên những số mà còn có thể trên những chữ được gọi là biểu thức đại số.
Ví dụ:
2. Giá trị của một biểu thức đại số
- Để tính giá trị của một biểu thức đại số ta thực hiện các bước sau:
+ Bước 1: Thay chữ bởi giá trị số đã cho (chú ý các trường hợp phải đặt số trong dấu ngoặc).
+ Bước 2: Thực hiện các phép tính (chú ý đến thứ tự thực hiện các phép tính: thực hiện phép lũy thừa, rồi đến phép nhân chia, sau đó là phép cộng trừ).
3. Đơn thức
Đơn thức là biểu thức đại số chỉ gồm một số, hoặc một biến, hoặc một tích giữa các số và các biến.
Chú ý: Số 0 được gọi là đơn thức không
Đơn thức thu gọn
Đơn thức thu gọn là đơn thức chỉ gồm tích của một số với các biến mà mỗi biến đã được nâng lên lũy thừa với số mũ nguyên dương. Số nói trên gọi là hệ số, phần còn lại gọi là biến của đơn thức thu gọn.
Ví dụ: Các đơn thức x, -y, 3x2y , 10xy5 là những đơn thức thu gọn, có hệ số lần lượt là 1, -1, 3, 10 và có phần biến lần lượt là x, y, x2y, xy5 .
Chú ý:
+ Ta cũng coi một số là đơn thức thu gọn.
+ Trong đơn thức thu gọn, mỗi biến chỉ được viết một lần. Thông thường, khi viết các đơn thức thu gọn ta viết hệ số trước, phần biến sau và các biến được viết theo thứ tự bảng chữ cái.
Bậc của một đơn thức
+ Bậc của đơn thức có hệ số khác 0 là tổng số mũ của tất cả các biến có trong đơn thức đó.
+ Số thực khác 0 là đơn thức bậc không.
+ Số 0 được coi là đơn thức không có bậc.
Nhân hai đơn thức
Để nhân hai đơn thức, ta nhân các hệ số với nhau và nhân các phần biến với nhau
4. Đa thức
- Đa thức là một tổng của những đơn thức. Mỗi đơn thức trong tổng gọi là một hạng tử của đa thức đó.
- Đưa đa thức về dạng thu gọn (không còn hai hạng tử nào đồng dạng).
+ Bước 1: Nhóm các đơn thức đồng dạng với nhau.
+ Bước 2: Cộng, trừ các đơn thức đồng dạng trong từng nhóm.
Bậc của đa thức là bậc của hạng tử có bậc cao nhất trong dạng thu gọn của đa thức đó
Chú ý:
+ Số 0 cũng được gọi là đa thức không và nó không có bậc.
+ Khi tìm bậc của một đa thức, trước hết ta phải thu gọn đa thức đó.
5. Cộng, trừ đa thức
- Để cộng (hay trừ) hai đa thức, ta làm như sau:
+ Bước 1: Viết hai đa thức trong dấu ngoặc.
+ Bước 2: Thực hiện bỏ dấu ngoặc (theo quy tắc dấu ngoặc).
+ Bước 3: Nhóm các hạng tử đồng dạng.
+ Bước 4: Cộng, trừ các đơn thức đồng dạng.
6. Đa thức một biến
- Đa thức một biến là tổng của những đơn thức của cùng một biến.
+ Một số được coi là một đơn thức một biến.
+ Bậc của đa thức một biến (khác đa thức không, đã thu gọn) là số mũ lớn nhất của biến trong đa thức đó.
7. Cộng, trừ đa thức một biến
- Để cộng (hay trừ) các đa thức một biến, ta làm một trong hai cách sau:
+ Cách 1: Cộng, trừ đa thức theo “hàng ngang”
+ Cách 2: Sắp xếp các hạng từ của hai đa thức cùng theo lũy thừa giảm (hoặc tăng) của biến rồi đặt phép tính theo cột dọc tương ứng như cộng, trừ các số (chú ý đặt các đơn thức đồng dạng ở cùng một cột)
8. Nghiệm của đa thức một biến
- Nếu tại x = a, đa thức P(x) có giá trị bằng 0 thì ta nói a (hoặc x = a) là một nghiệm của đa thức đó.
+ Một đa thức (khác đa thức không) có thể có một nghiệm, hai nghiệm, …hoặc không có nghiệm.
+ Số nghiệm của một đa thức (khác đa thức không) không vượt quá bậc của nó. Chẳng hạn: đa thức bậc nhất chỉ có một nghiệm, đa thức bậc hai không quá hai nghiệm, …
B. Bài tập
Bài 1: Hãy viết biểu thức đại số biểu thị
a) Tổng của hai lần x và ba lần y
b) Hiệu của x và y.
c) Tích của tổng x và y với hiệu x và y
Lời giải:
a) Biểu thức đại số biểu thị tổng của hai lần x và ba lần y là: 2x + 3y
b) Biểu thức đại số biểu thị hiệu của x và y là: x - y
c) Biểu thức đại số biểu thị tích của tổng x và y với hiệu x và y là: (x + y)(x - y)
Bài 2: Một doanh nhân gửi tiết kiệm vào ngân hàng là a (đồng). Biết lãi suất của ngân hàng hàng tháng là x%. Viết biểu thức đại số biểu thị số tiền của doanh nhân này sau 1 tháng, 2 tháng, 1 năm (12 tháng).
Lời giải:
Sau 1 tháng, với lãi suất là x%, doanh nhân có số tiền lãi là: a.x% (đồng)
Khi đó, số tiền của doanh nhân có sau 1 tháng là: a + ax% = a(1 + x%) (đồng)
Sang tháng thứ 2, doanh nhân nhận được số tiền lãi là: a(1 + x%).x% (đồng)
Khi đó, số tiền doanh nhân nhận được sau hai tháng là:
a(1 + x%) + a(1 + x%)x% = a(1 + x%)2 (đồng)
Cứ làm như vậy, ta có số tiền của doanh nhân có sau 1 năm là: a(1 + x%)12 (đồng)
Bài 3: Tính giá trị của biểu thức x3 - 2x + 1 tại x = 1; x = -2; x = 1/2
Lời giải:
Giá trị của biểu thức x3 - 2x + 1 tại x = 1 là 13 - 2.1 + 1 = 0
Giá trị của biểu thức x3 - 2x + 1 tại x = -2 là (-2)3 - 2(-2) + 1 = - 3
Giá trị của biểu thức x3 - 2x + 1 tại x = 1/2 là
Bài 4:
a) Tính giá trị của biểu thức tại x = 1; y = 3
b) Tính giá trị của biểu thức x5y2 + 2y2 tại x = 1; y = 2
Lời giải:
a) Tính giá trị của biểu thức tại x = 1; y = 3 là:
b) Tính giá trị của biểu thức x5y2 + 2y2 tại x = 1; y = 2 là: 15.22 + 2.(2)2 = 4 + 8 = 12
Bài 5: Trong các biểu thức dưới đây, chỉ ra đâu là đơn thức? Nếu là đơn thức, hãy chỉ ra đâu là hệ số, đâu là phần biến của mỗi đơn thức đó.
Lời giải:
Các biểu thức a) và d) là đơn thức vì chúng gồm tích của số và biến
a) Phần số là 1/2, phần biến là x2
d) Phần số là -5 , phần biến là xy2z
Các biểu thức còn lại là b) và c) không phải là đơn thức.
Bài 6: Hãy viết các đơn thức bậc ba với biến x, y và có giá trị bằng 2 tại x = 1; y = -1
Lời giải:
Đơn thức với biến x, y có dạng: k.xtys với k khác 0 và t + s = 3; t, s ≥ 1 (vì đa thức này bậc ba)
Từ đây ta suy ra t, s < 3
Tại x = 1; y = -1 thì 2 = k.xt.ys = k(1)t.(-1)s = k.(-1)s
+ Với s = 1, khi đó k.(-1)1 = 2 ⇒ k = -2; t = 3 - 1 = 2
Đơn thức cần tìm là -2x2y.
+ Với s = 2, khi đó k.(-1)2 = 2 ⇒ k = 2; t = 3 - 2 = 1
Đơn thức cần tìm là 2xy2
Vậy các đơn thức thỏa mãn yêu cầu bài là: -2x2y, 2xy2
Bài 7:
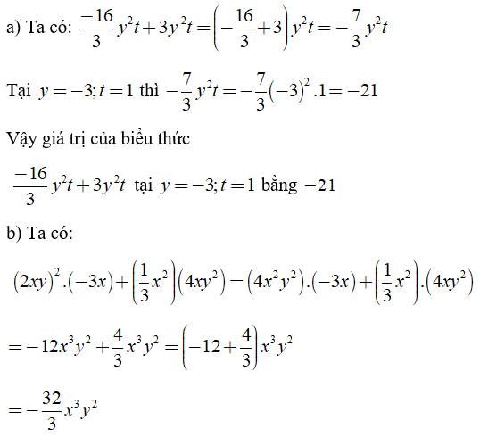
a) Tính giá trị của biểu thức (-16/3)y2t + 3y2t tại y = -3, t = 1
b) Rút gọn biểu thức sau: (2xy)2.(-3x) + ((1/3)x2)(4xy2)
Lời giải:
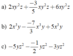
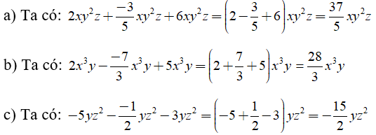
Bài 8: Tính
Lời giải:
Bài 9: Tìm bậc của đa thức
Lời giải:
Bài 10: Tính giá trị của các đa thức
Lời giải:
Bài 11: Tìm đa thức M biết
a) M - (2x3 - 4xy + 6y2) = x2 + 3xy - y2
b) (2x2 - 4xy + y2) + M = 0
c) (2x2 - 7xy + 3y2) - 2M = 4x2 - 5xy + 9y2
Lời giải:
a) Ta có: M - (2x3 - 4xy + 6y2) = x2 + 3xy - y2
⇒ M = (2x3 - 4xy + 6y2) + (x2 + 3xy - y2)
M = 2x3 + x2 + 5y2 - xy
b) Ta có: (2x2 - 4xy + y2) + M = 0
⇒ M = -2x2 + 4xy - y2
c) Ta có: (2x2 - 7xy + 3y2) - 2M = 4x2 - 5xy + 9y2
⇒ 2M = (2x2 - 7xy + 3y2) - (4x2 - 5xy + 9y2)
⇒ 2M = -2x2 - 2xy - 6y2
⇒ M = -x2 - xy - 3y2
Bài 12: Tính giá trị của các đa thức sau
a) 2x3 + y2 + 2xy - 3y3 + 2x3 + 3y3 - 3x3 tại x = 4; y = 5
b) x6y6 - x4y4 + x2y - xy + 1 tại x = 1; y = -1
Lời giải:
Bài 13: Thu gọn các đa thức sau và sắp xếp theo lũy thừa giảm dần của biến
a) 2x3 - x5 + 3x4 + x2 - (1/2)x3 + 3x5 - 2x2 - x4 + 1
b) x7 - 3x4 + 2x3 - x2 - x4 - x + x7 - x3 + 5
Lời giải:
Bài 14: Tính giá trị của các biểu thức sau:
a) x + x2 + x3 + x4 + ..... + x99 + x100 tại x = -1
b) x2 + x4 + x6 + ..... + x98 + x100 tại x = -1
Lời giải:
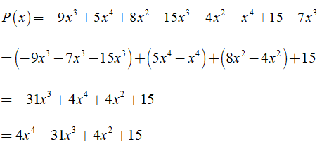
Bài 15: Cho đa thức P(x) = -9x3 + 5x4 + 8x2 -15x3 - 4x2 - x4 + 15 - 7x3
Tính P(1), P(0), P(-1)
Lời giải:
Trước hết ta thu gọn đa thức:
Khi đó ta có:
Bài 16: Cho đa thức
A = -3x3 + 4x2 - 5x + 6
B = 3x3 - 6x2 + 5x - 4
a) Tính C = A + B, D = A - B, E = C - D
b) Tính các giá trị của đa thức A, B, C, D tại x = -1
Lời giải:
a) Ta có:
C = A + B
= (-3x3 + 4x2 - 5x + 6) + (3x3 - 6x2 + 5x - 4)
= (-3x3 + 3x3) + (4x2 - 6x2) + (-5x + 5x) + (6 - 4)
= -2x2 + 2
D = A - B
= (-3x3 + 4x2 - 5x + 6) - (3x3 - 6x2 + 5x - 4)
= (-3x3 - 3x3) + (4x2 + 6x2) + (-5x - 5x) + (6 + 4)
= -6x3 + 10x2 - 10x + 10
E = C - D
= (-2x2 + 2) - (-6x3 + 10x2 - 10x + 10)
= -2x2 + 2 + 6x3 - 10x2 + 10x - 10
= 6x3 - 12x2 + 10x - 8
b) Tính giá trị biểu thức tại x = -1
A = -3.(-1)3 + 4.(-1)2 - 5.(-1) + 6
= 3 + 4 + 5 + 6 = 18
B = 3.(-1)3 - 6.(-1)2 + 5.(-1) - 4
= -3 - 6 - 5 - 4 = -18
C = -2.(-1)2 + 2 = 0
D = -6.(-1)3 + 10.(-1)2 - 10.(-1) + 10
= 6 + 10 + 10 + 10 = 36
Bài 17: Chứng tỏ các đa thức sau không có nghiệm
a) P(x) = x2 + 1
b) Q(y) = 2y4 + 5
Lời giải:
a) Vì x2 ≥ 0 nên x2 + 1 ≥ 1
Do đó: P(x) = x2 + 1 > 0 nên đa thức P(x) vô nghiệm
b) Vì y4 ≥ 0 nên 2y4 + 5 > 0
Do đó: Q(y) = 2y4 + 5 > 0 nên đa thức Q(x) vô nghiệm
Bài 18: Tìm nghiệm của đa thức
a) x2 - 2003x - 2004 = 0
b) 2005x2 - 2004x - 1 = 0
Lời giải:
a) Đa thức x2 - 2003x - 2004 có hệ số a = 1, b = -2003, c = -2004
Khi đó ta có: a - b + c = 1 - (-2003) + (-2004)
= 1 + 2003 - 2004 = 0
Nên đa thức x2 - 2003x - 2004 có nghiệm x = -1
b) Đa thức 2005x2 - 2004x - 1 có hệ số a = 2005, b = -2004, c = -1
Khi đó ta có: a + b + c = 2005 + (-2004) + (-1)
= 2005 - 2005 = 0
Nên đa thức 2005x2 - 2004x - 1 có nghiệm x = 1
(199k) Xem Khóa học Toán 7 KNTTXem Khóa học Toán 7 CTSTXem Khóa học Toán 7 CD
Xem thêm các phần lý thuyết, các dạng bài tập Toán lớp 7 có đáp án chi tiết hay khác:
- Lý thuyết Quan hệ giữa góc và cạnh đối diện trong một tam giác
- Bài tập Quan hệ giữa góc và cạnh đối diện trong một tam giác
- Lý thuyết Quan hệ giữa đường vuông góc và đường xiên, đường xiên và hình chiếu
- Bài tập Quan hệ giữa đường vuông góc và đường xiên, đường xiên và hình chiếu
- Lý thuyết Quan hệ giữa ba cạnh của một tam giác. Bất đẳng thức tam giác
- Bài tập Quan hệ giữa ba cạnh của một tam giác. Bất đẳng thức tam giác
Lời giải bài tập lớp 7 sách mới:
- Giải bài tập Lớp 7 Kết nối tri thức
- Giải bài tập Lớp 7 Chân trời sáng tạo
- Giải bài tập Lớp 7 Cánh diều
Tủ sách VIETJACK shopee lớp 6-8 (2025):
Đã có app VietJack trên điện thoại, giải bài tập SGK, SBT Soạn văn, Văn mẫu, Thi online, Bài giảng....miễn phí. Tải ngay ứng dụng trên Android và iOS.
Theo dõi chúng tôi miễn phí trên mạng xã hội facebook và youtube:Loạt bài Lý thuyết - Bài tập Toán lớp 7 có đầy đủ Lý thuyết và các dạng bài có lời giải chi tiết được biên soạn bám sát nội dung chương trình sgk Đại số 7 và Hình học 7.
Nếu thấy hay, hãy động viên và chia sẻ nhé! Các bình luận không phù hợp với nội quy bình luận trang web sẽ bị cấm bình luận vĩnh viễn.
- Giải Tiếng Anh 7 Global Success
- Giải Tiếng Anh 7 Friends plus
- Giải sgk Tiếng Anh 7 Smart World
- Giải Tiếng Anh 7 Explore English
- Lớp 7 - Kết nối tri thức
- Soạn văn 7 (hay nhất) - KNTT
- Soạn văn 7 (ngắn nhất) - KNTT
- Giải sgk Toán 7 - KNTT
- Giải sgk Khoa học tự nhiên 7 - KNTT
- Giải sgk Lịch Sử 7 - KNTT
- Giải sgk Địa Lí 7 - KNTT
- Giải sgk Giáo dục công dân 7 - KNTT
- Giải sgk Tin học 7 - KNTT
- Giải sgk Công nghệ 7 - KNTT
- Giải sgk Hoạt động trải nghiệm 7 - KNTT
- Giải sgk Âm nhạc 7 - KNTT
- Lớp 7 - Chân trời sáng tạo
- Soạn văn 7 (hay nhất) - CTST
- Soạn văn 7 (ngắn nhất) - CTST
- Giải sgk Toán 7 - CTST
- Giải sgk Khoa học tự nhiên 7 - CTST
- Giải sgk Lịch Sử 7 - CTST
- Giải sgk Địa Lí 7 - CTST
- Giải sgk Giáo dục công dân 7 - CTST
- Giải sgk Công nghệ 7 - CTST
- Giải sgk Tin học 7 - CTST
- Giải sgk Hoạt động trải nghiệm 7 - CTST
- Giải sgk Âm nhạc 7 - CTST
- Lớp 7 - Cánh diều
- Soạn văn 7 (hay nhất) - Cánh diều
- Soạn văn 7 (ngắn nhất) - Cánh diều
- Giải sgk Toán 7 - Cánh diều
- Giải sgk Khoa học tự nhiên 7 - Cánh diều
- Giải sgk Lịch Sử 7 - Cánh diều
- Giải sgk Địa Lí 7 - Cánh diều
- Giải sgk Giáo dục công dân 7 - Cánh diều
- Giải sgk Công nghệ 7 - Cánh diều
- Giải sgk Tin học 7 - Cánh diều
- Giải sgk Hoạt động trải nghiệm 7 - Cánh diều
- Giải sgk Âm nhạc 7 - Cánh diều


Giải bài tập SGK & SBT
Tài liệu giáo viên
Sách
Khóa học
Thi online
Hỏi đáp

