Top 40 Bài tập Biểu thức đại số (có đáp án)
Top 40 Bài tập Biểu thức đại số (có đáp án)
(199k) Học Toán 7 KNTTHọc Toán 7 CTSTHọc Toán 7 CD
Bài 1: Nam mua 10 quyển vở mỗi quyển giá x đồng và hai bút bi mỗi chiếc giá y đồng . Hỏi Nam phải trả tất cả bao nhiêu đồng?
A. 2x - 10y (đồng)
B. 10x - 2y (đồng)
C. 2x + 10y (đồng)
D. 10x + 2y (đồng)
Lời giải:
Số tiền Nam phải trả cho 10 quyển vở là 10x (đồng)
Số tiền nam phải trả cho 2 chiếc bút bi là 2y (đồng)
Nam phải trả tất cả số tiền là 10x + 2y (đồng)
Chọn đáp án D
Bài 2: Mệnh đề: “Tổng của hai số hữu tỷ nghịch đảo của nhau” được biểu thị bởi
Lời giải:
Gọi số hữu tỷ bất kì là a (a ≠ 0) thì số nghịch đảo của nó là 1/a
Mệnh đề: “Tổng của hai số hữu tỷ nghịch đảo của nhau “ được biểu thị bởi a + 1/a
Chọn đáp án D
Bài 3: Biểu thức n.(n + 1)(n + 2) với n là số nguyên, được phát biểu là
A. Tích của ba số nguyên
B. Tích của ba số nguyên liên tiếp
C. Tích của ba số chẵn
D. Tích của ba số lẻ
Lời giải:
Với ba số nguyên n thì ba số n, n + 1, n + 2 là ba số nguyên liên tiếp
Biểu thức n.(n + 1).(n + 2) với n là số nguyên , được phát biểu là tích của ba số nguyên liên tiếp.
Chọn đáp án B
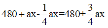
Bài 4: Một bể đang chứa 480 lít nước, có một vòi chảy vào mỗi phút chảy được x lít. Cùng lúc đó có một vòi khác chảy từ bể ra. Mỗi phút lượng nước chảy ra bằng 1/4 lượng nước chảy vào. Hãy biểu thị lượng nước trong bể sau khi đồng thời mở cả hai vòi sau a phút.
Lời giải:
Lượng nước chảy vào bể trong a phút là a.x (lít)
Lượng nước chảy ra trong a phút là (1/4).a.x (lít)
Vì ban đầu bể đang chứa a.480x lít nên lượng nước có trong bể sau a phút là
Chọn đáp án A
Bài 5: Mệnh đề: “Tổng các bình phương của hai số nguyên lẻ liên tiếp” được biểu thị bởi
Lời giải:
Gọi hai số nguyên lẻ liên tiếp là 2n + 1 và 2n + 3 với (n ∈ Z)
Bình phương của hai số nguyên lẻ liên tiếp đó là (2n + 1)2 và (2n + 3)2
Tổng các bình phương của hai số nguyên lẻ liên tiếp là (2n + 1)2 + (2n + 3)2
Chọn đáp án B.
Bài 6: Với x = -3, y = -2, z = 3 thì giá trị biểu thức D = 2x3 - 3y2 + 8z + 5 là
A. D = -36 B. D = 37 C. D = -37 D. D = -73
Lời giải:
Thay x = -3, y = -2, z = 3 vào biểu thức D ta có:
2.(-3)3 - 3.(-2)2 + 8.3 + 5 = 2.(-27) - 3.4 + 24 + 5
= -54 - 12 + 24 + 5 = -66 + 24 + 5 = -42 + 5 = -37
Vậy D = -37 tại x = -3; y = -2; z = 3
Chọn đáp án C
Bài 7: Tính giá trị biểu thức D = x2(x + y) - y2(x + y) + x2 - y2 + 2(x + y) + 3 biết rằng x + y + 1 = 0
A. D = 0 B. D = 3 C. D = 2 D. D = 1
Lời giải:
Ta có :
Vậy D = 1 khi x + y + 1 = 0
Chọn đáp án D
Bài 8: Cho xyz = 4 và x + y + z = 0. Tính giá trị biểu thức M = (x + y)(y + z)(x + z)
A. M = 0 B. M = -2 C. M = -4 D. M = 4
Lời giải:
Từ x + y + z = 0 ⇒ x + y = -z; y + z = -x; x + z = -y thay vào M ta được
M = (x + y)(y + z)(x + z) = (-z).(-x).(-y) = -xyz mà xyz = 4 nên M = -4
Vậy xyz = 4 và x + y + z = 0 thì M = -4
Chọn đáp án C
Bài 9: Tìm giá trị của biến số để biểu thức đại số 25 - x2 có giá trị bằng 0
A. x = 25
B. x = 5
C. x = 25 hoặc x = -25
D. x = 5 hoặc x = -5
Lời giải:
Để biểu thức đại số 25 - x2 có giá trị bằng 0 thì 25 - x2 = 0
⇒ x2 = 25 ⇒ x = 5 hoặc x = -5
Chọn đáp án D
Bài 10: Có bao nhiêu giá trị của biến x để biểu thức A = (x + 1)(x2 + 2) có giá trị bằng 0
A. 0 B. 1 C. 2 D. 3
Lời giải:
Xét biểu thức
Vậy có 1 giá trị của x thỏa mãn
Chọn đáp án B
Bài 11: Tìm phần biến trong đơn thức 100abx2yz với a, b là hằng số.
A. ab2x2yz B. x2.y C. x2.y.z D. 100ab
Lời giải:
Đơn thức 100abx2yz với a, b là hằng số có phần biến số là x2.y.z
Chọn đáp án C
Bài 12: Các đơn thức -10; (1/3)x; 2x2y; 5x2.x2 có bậc lần lượt là:
A. 0; 1; 3; 4 B. 0; 3; 1; 4 C. 0; 1; 2; 3 D. 0; 1; 3; 2
Lời giải:
+ Đơn thức -10 có bậc là 0
+ Đơn thức (1/3)x có bậc là 1
+ Đơn thức 2x2y có bậc là 2 + 1 = 3
+ Đơn thức 5x2.x2 = 5x4 có bậc là 4
Các đơn thức -10; (1/3)x; 2x2y; 5x2.x2 có bậc lần lượt là: 0; 1; 3; 4
Chọn đáp án A
Bài 13: Thu gọn đơn thức x3y3.x2y2z ta được
A. x5.y5 B. x5.y5.z C. x5.y5.z2 D. x6.y6.z
Lời giải:
Ta có x3y3.x2y2z = (x3.x2).(y3.y2) = x5.y5.z
Chọn đáp án B
Bài 14: Kết quả sau khi thu gọn đơn thức 6x2y((-1/12)y2x) là:
Lời giải:
Ta có
Chọn đáp án A
Bài 15: Hệ số của đơn thức (2x2)2(-3y3)(-5xz)3 là:
A. -1500 B. -750 C. 30 D. 1500
Lời giải:
Ta có:
Vậy hệ số đơn thức là 1500
Chọn đáp án D
Bài 16: Thu gọn -3x2 - 0,5x2 + 2,5x2 ta được
A. -2x2 B. x2 C. -x2 D. -3x2
Lời giải:
Ta có : -3x2 - 0,5x2 + 2,5x2 = (-3 - 0,5 + 2,5)x2 = -x2
Chọn đáp án C
Bài 17: Kết quả sau khi thu gọn của biểu thức đại số là:
Lời giải:
Chọn đáp án A
Bài 18: Thu gọn biểu sau: 2xy5 + 6xy5 - (-17xy5)
A. -25xy5 B. 9xy5 C. 25xy5 D. -9xy5
Lời giải:
Ta có 2xy5 + 6xy5 - (-17xy5)
= 2xy5 + 6xy5 + 17xy5 = (2 + 6 + 17)xy5 = 25xy5
Chọn đáp án C
Bài 19: Thu gọn biểu thức đại số ta được
A. -10x3y3 B. x3y3 C. 50x3y3 D. 0
Lời giải:
Ta có
Chọn đáp án A
Bài 20: Kết quả sau khi thu gọn biểu thức đại số 12x(xy2)3 - (-30x4)(y3)2
A. 32x4y6 B. 18x4y6 C. 42x4y6 D. 52x4y6
Lời giải:
Ta có: 12x(xy2)3 - (-30x4)(y3)2 = 12x(x3y6) + 30x4y6 = 42x4y6
Chọn đáp án C
Bài 21: Giá trị của biểu thức
Lời giải:
Thay x = 2; y = 1/3 vào đa thứcta được
Chọn đáp án A
Bài 22: Đa thứcđược rút gọn thành
Lời giải:
Ta có
Chọn đáp án B
Bài 23: Cho A = 3x3y2 + 2x2y - xy và B = 4xy - 3x2y + 2x3y2 + y2
Tính A + B
A. 5x3y2 - x2y - 3xy + y2
B. 5x3y2 + 5x2y + 5xy + y2
C. 5x3y2 + x2y + 3xy + y2
D. 5x3y2 - x2y + 3xy + y2
Lời giải:
Ta có
Chọn đáp án D
Bài 24: Cho A = 3x3y2 + 2x2y - xy và B = 4xy - 3x2y + 2x3y2 + y2
Tính A - B
A. x3y2 + 5x2y - 3xy - y2
B. 5x3y2 + 5x2y - 5xy - y2
C. x3y2 + 5x2y - 5xy - y2
D. x3y2 + 5x2y - 5xy + y2
Lời giải:
Ta có
Chọn đáp án C
Bài 25: Tìm đa thức A sao cho A + x3y - 2x2y + x - y = 2y + 3x + x2y
A. A = -x3y + 3x2y - 2x - 3y
B. A = -x3y + x2y - 2x - 3y
C. A = -x3y + 3x2y + 2x + 3y
D. A = x3y - 3x2y + 2x + 3y
Lời giải:
Ta có:
Chọn đáp án C
Bài 26: Cho các đa thức A = 4x2 - 5xy + 3y2; B = 3x2 + 2xy + y2; C = -x2 + 3xy + 2y2
Tính C - A - B
A. 8x2 + 6xy + 2y2
B. -8x2 + 6xy - 2y2
C. 8x2 - 6xy - 2y2
D. 8x2 - 6xy + 2y2
Lời giải:
Ta có
Chọn đáp án B
Bài 27: Tìm đa thức M biết M + (5x2 - 2xy) = 6x2 + 10xy - y2
A. M = x2 + 12xy - y2
B. M = x2 - 12xy - y2
C. M = x2 + 12xy + y2
D. M = -x2 - 12xy - y2
Lời giải:
Ta có:
Chọn đáp án A
Bài 28: Đa thức M nào dưới đây thỏa mãn M - (3xy - 4y2) = x2 - 7xy + 8y2
A. M = x2 - 4xy + 4y2
B. M = x2 - 4xy - 4y2
C. M = -x2 - 4xy + 4y2
D. M = -x2 + 10xy + 4y2
Lời giải:
Ta có:
Chọn đáp án A
Bài 29: Cho (25x2y - 10xy2 + y3) - A = 12x2y - 2y3. Đa thức A là:
A. A = 13x2y + 3y3 + 10xy2
B. A = 13x2y + 3y3 - 10xy2
C. A = 3x2y + 3y3
D. A = 13x2y - 3y3 - 10xy2
Lời giải:
Ta có:
Chọn đáp án B
Bài 30: Tìm đa thức B sao cho tổng của B với đa thức 3xy2 + 3xz2 - 3xyz - 8y2z2 + 10 là đa thức 0
A. B = -3xy2 - 3xz2 - 3xyz + 8y2z2 + 10
B. B = -3xy2 - 3xz2 + 3xyz + 8y2z2 - 10
C. B = -3xy2 + 3xz2 + 3xyz - 8y2z2 + 10
D. B = 3xy2 + 3xz2 - 3xyz - 8y2z2 + 10
Lời giải:
Ta có
Chọn đáp án B
Bài 31: Cho đa thức A = x4 - 4x3 + x - 3x2 + 1. Tính giá trị của A tại x = -2
A. A = -35 B. A = 53 C. A = 33 D. A = 35
Lời giải:
Thay x = -2 vào biểu thức A, ta có
A = (-2)4 - 4.(-2)3 + (-2) - 3.(-2)2 + 1 = 16 + 32 - 2 - 12 + 1 = 35
Vậy với x = -2 thì A = 35
Chọn đáp án D
Bài 32: Cho hai đa thức f(x) = x5 + 2; g(x) = 5x3 - 4x + 2
So sánh f(0) và g(1)
A. f(0) = g(1)
B. f(0) > g(1)
C. f(0) < g(1)
D. f(0) ≥ g(1)
Lời giải:
Thay x = 0 vào f(x) = x5 + 2 ta có f(0) = 05 + 2 = 2
Thay x = 1 vào g(x) = 5x3 - 4x + 2 ta được g(1) = 5.13 - 4.1 + 2 = 3
Suy ra f(0) < g(1) (do 2 < 3)
Chọn đáp án C
Bài 33: Cho hai đa thức f(x) = x5 + 2; g(x) = 5x3 - 4x + 2
Chọn câu đúng về f(-2) và g(-2)
A. f(-2) = g(-2)
B. f(-2) = 3.g(-2)
C. f(-2) > g(-2)
D. f(-2) < g(-2)
Lời giải:
Thay x = -2 vào f(x) = x5 + 2 ta được f(-2) = (-2)5 + 2 = -30
Thay x = -2 vào g(x) = 5x3 - 4x + 2 ta được g(-2) = 5.(-2)3 - 4.(-2) + 2 = -30
Suy ra f(-2) = g(-2) (do -30 = -30)
Chọn đáp án A
Bài 34: Cho f(x) = 1 + x3 + x5 + x7 + .... + x101. Tính f(1); f(-1)
A. f(1) = 101; f(-1) = -100
B. f(1) = 51; f(-1) = -49
C. f(1) = 50; f(-1) = -50
D. f(1) = 101; f(-1) = 100
Lời giải:
Thay x = 1 vào f(x) ta được
Thay x = -1 vào f(x) ta được
Chọn đáp án B
Bài 35: Bậc của đa thức 8x8 - x2 + x9 + x5 - 12x3 + 10 là:
A. 10 B. 8 C. 9 D. 7
Lời giải:
8x8 - x2 + x9 + x5 - 12x3 + 10 = x9 + 8x8 + x5 - 12x3 - x2 + 10
Bậc của đa thức là 9
Chọn đáp án C
Bài 36: Tìm hệ số tự do của hiệu f(x) - 2.g(x) với
f(x) = 5x4 + 4x3 - 3x2 + 2x - 1; g(x) = -x4 + 2x3 - 3x2 + 4x + 5
A. 7 B. 11 C. -11 D. 4
Lời giải:
+) Ta có
Hệ số cần tìm là -11
Chọn đáp án C
Bài 37: Cho hai đa thức
P(x) = 2x3 - 3x + x5 - 4x3 + 4x - x5 + x2 - 2; Q(x) = x3 - 2x2 + 3x + 1 + 2x2
Tính P(x) - Q(x)
A. -3x3 + x2 - 2x + 1
B. -3x3 + x2 - 2x - 3
C. 3x3 + x2 - 2x - 3
D. -x3 + x2 - 2x - 3
Lời giải:
Ta có
Chọn đáp án B
Bài 38: Cho hai đa thức
P(x) = 2x3 - 3x + x5 - 4x3 + 4x - x5 + x2 - 2; Q(x) = x3 - 2x2 + 3x + 1 + 2x2
Tìm bậc của đa thức M(x) = P(x) + Q(x)
A. 4 B. 2 C. 3 D. 1
Lời giải:
Ta có
Khi đó
Bậc của M(x) = -x3 + x2 + 4x - 1 là 3
Chọn đáp án C
Bài 39: Cho hai đa thức P(x) = -6x5 - 4x4 + 3x2 - 2x; Q(x) = 2x5 - 4x4 - 2x3 + 2x2 - x - 3
Tính 2P(x) + Q(x)
A. -10x5 - 4x4 - 2x3 + 8x2 - 5x - 3
B. -10x5 - 12x4 - 2x3 + 8x2 - 5x - 3
C. -14x5 - 12x4 - 2x3 + 8x2 - 3x - 3
D. -10x5 - 12x4 + 8x2 - 5x - 3
Lời giải:
Ta có
Chọn đáp án B
Bài 40: Cho hai đa thức P(x) = -6x5 - 4x4 + 3x2 - 2x; Q(x) = 2x5 -4x4 - 2x3 + 2x2 - x - 3
Gọi M(x) = P(x) - Q(x). Tính M(-1)
A. 11 B. -10 C. -11 D. 10
Lời giải:
Ta có
Chọn đáp án A
(199k) Học Toán 7 KNTTHọc Toán 7 CTSTHọc Toán 7 CD
Xem thêm các phần lý thuyết, các dạng bài tập Toán lớp 7 có đáp án chi tiết hay khác:
- Lý thuyết Quan hệ giữa góc và cạnh đối diện trong một tam giác
- Bài tập Quan hệ giữa góc và cạnh đối diện trong một tam giác
- Lý thuyết Quan hệ giữa đường vuông góc và đường xiên, đường xiên và hình chiếu
- Bài tập Quan hệ giữa đường vuông góc và đường xiên, đường xiên và hình chiếu
- Lý thuyết Quan hệ giữa ba cạnh của một tam giác. Bất đẳng thức tam giác
- Bài tập Quan hệ giữa ba cạnh của một tam giác. Bất đẳng thức tam giác
Lời giải bài tập lớp 7 sách mới:
- Giải bài tập Lớp 7 Kết nối tri thức
- Giải bài tập Lớp 7 Chân trời sáng tạo
- Giải bài tập Lớp 7 Cánh diều
Tủ sách VIETJACK shopee lớp 6-8 (2025):
Đã có app VietJack trên điện thoại, giải bài tập SGK, SBT Soạn văn, Văn mẫu, Thi online, Bài giảng....miễn phí. Tải ngay ứng dụng trên Android và iOS.
Theo dõi chúng tôi miễn phí trên mạng xã hội facebook và youtube:Loạt bài Lý thuyết - Bài tập Toán lớp 7 có đầy đủ Lý thuyết và các dạng bài có lời giải chi tiết được biên soạn bám sát nội dung chương trình sgk Đại số 7 và Hình học 7.
Nếu thấy hay, hãy động viên và chia sẻ nhé! Các bình luận không phù hợp với nội quy bình luận trang web sẽ bị cấm bình luận vĩnh viễn.
- Giải Tiếng Anh 7 Global Success
- Giải Tiếng Anh 7 Friends plus
- Giải sgk Tiếng Anh 7 Smart World
- Giải Tiếng Anh 7 Explore English
- Lớp 7 - Kết nối tri thức
- Soạn văn 7 (hay nhất) - KNTT
- Soạn văn 7 (ngắn nhất) - KNTT
- Giải sgk Toán 7 - KNTT
- Giải sgk Khoa học tự nhiên 7 - KNTT
- Giải sgk Lịch Sử 7 - KNTT
- Giải sgk Địa Lí 7 - KNTT
- Giải sgk Giáo dục công dân 7 - KNTT
- Giải sgk Tin học 7 - KNTT
- Giải sgk Công nghệ 7 - KNTT
- Giải sgk Hoạt động trải nghiệm 7 - KNTT
- Giải sgk Âm nhạc 7 - KNTT
- Lớp 7 - Chân trời sáng tạo
- Soạn văn 7 (hay nhất) - CTST
- Soạn văn 7 (ngắn nhất) - CTST
- Giải sgk Toán 7 - CTST
- Giải sgk Khoa học tự nhiên 7 - CTST
- Giải sgk Lịch Sử 7 - CTST
- Giải sgk Địa Lí 7 - CTST
- Giải sgk Giáo dục công dân 7 - CTST
- Giải sgk Công nghệ 7 - CTST
- Giải sgk Tin học 7 - CTST
- Giải sgk Hoạt động trải nghiệm 7 - CTST
- Giải sgk Âm nhạc 7 - CTST
- Lớp 7 - Cánh diều
- Soạn văn 7 (hay nhất) - Cánh diều
- Soạn văn 7 (ngắn nhất) - Cánh diều
- Giải sgk Toán 7 - Cánh diều
- Giải sgk Khoa học tự nhiên 7 - Cánh diều
- Giải sgk Lịch Sử 7 - Cánh diều
- Giải sgk Địa Lí 7 - Cánh diều
- Giải sgk Giáo dục công dân 7 - Cánh diều
- Giải sgk Công nghệ 7 - Cánh diều
- Giải sgk Tin học 7 - Cánh diều
- Giải sgk Hoạt động trải nghiệm 7 - Cánh diều
- Giải sgk Âm nhạc 7 - Cánh diều


Giải bài tập SGK & SBT
Tài liệu giáo viên
Sách
Khóa học
Thi online
Hỏi đáp

