Bài tập trắc nghiệm Đa thức lớp 7 (có đáp án)
Bài tập trắc nghiệm Đa thức lớp 7 (có đáp án)
(199k) Học Toán 7 KNTTHọc Toán 7 CTSTHọc Toán 7 CD
Câu 1: Cho các biểu thức (a là hằng số). Có bao nhiêu đa thức trong các biểu thức trên?
A. 2
B. 1
C. 3
D. 4
Lời giải:
Các biểu thức đều chứa biến ở mẫu nên không phải là đa thức
Có 2 đa thức là
Đáp án cần chọn là: A
Câu 2: Cho các biểu thức (a là hằng số). Có bao nhiêu đa thức trong các biểu thức trên?
A. 2
B. 1
C. 3
D. 4
Lời giải:
Các biểu thức đều chứa biến ở mẫu nên không phải là đa thức
Có ba đa thức là x4 + 3x; xyz + az2; ax(by + cz)
Đáp án cần chọn là: C
Câu 3: Sắp xếp đa thức 2x + 5x3 - x2 + 5x4 theo lũy thừa giảm dần của biến x
Lời giải:
Ta có: 2x + 5x3 - x2 + 5x4 = 5x4 + 5x3 - x2 + 2x
Đáp án cần chọn là: D
Câu 4: Sắp xếp đa thức theo lũy thừa tăng dần của biến x
Lời giải:
Ta có:
Đáp án cần chọn là: D
Câu 5: Bậc của đa thức xy + xy5 + x5yz là:
A. 6
B. 7
C. 5
D. 4
Lời giải:
Bậc của đa thức xy + xy5 + x5yz là 5 + 1 + 1 = 7
Đáp án cần chọn là: B
Câu 6: Bậc của đa thức x2y2 + xy5 - x2y4 là:
A. 6
B. 7
C. 5
D. 4
Lời giải:
Bậc của đa thức x2y2 + xy5 - x2y4 là 1 + 5 = 2 + 4 = 6
Đáp án cần chọn là: A
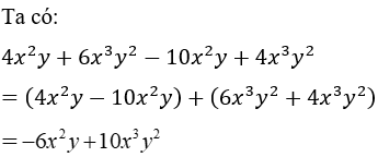
Câu 7: Thu gọn đa thức 4x2y + 6x3y2 - 10x2y + 4x3y2 ta được
Lời giải:
Đáp án cần chọn là: D
Câu 8: Thu gọn đa thức 2x4y - 4y5 + 5x4y - 7y5 + x2y2 - 2x4y ta được
Lời giải:
Đáp án cần chọn là: D
Câu 9: Thu gọn và tìm bậc của đa thức 12xyz-3x5 + y4 + 3xyz + 2x5 ta được
A. Kết quả là đa thức - 2x5 + 15xyz + y4 có bậc là 4
B. Kết quả là đa thức -x5 + 15xyz + y4 có bậc là 5
C. Kết quả là đa thức -x5 + 15xyz + y4 có bậc là 4
D. Kết quả là đa thức -x5 - 15xyz + y4 có bậc là 4
Lời giải:
Đáp án cần chọn là: B
Câu 10: Thu gọn và tìm bậc của đa thức Q = x2y + 4x.xy - 3xz + x2y - 2xy + 3xz ta được:
A. Kết quả là đa thức 6x2y - 2xy có bậc là 2
B. Kết quả là đa thức -6x2y + 2xy có bậc là 3
C. Kết quả là đa thức 6x2y - 2xy có bậc là 3
D. Kết quả là đa thức 6x2y - 2xy - 6xz có bậc là 3
Lời giải:
Đáp án cần chọn là: C
Câu 11: Gía trị của đa thức tại
là
Lời giải:
Thay vào đa thức
ta được
Đáp án cần chọn là: A
Câu 12: Gía trị của đa thức xy + 2x2y2 - x4y tại x = y = -1 là
A. 3
B. 1
C. -1
D. 0
Lời giải:
Thay x = y = -1 vào đa thức xy + 2x2y2 - x4 ta được
(-1).(-1) + 2.(-1)2.(-1)2 - (-1)4.(-1) = 3
Đáp án cần chọn là: A
Câu 13: Đa thức được rút gọn thành:
Lời giải:
Đáp án cần chọn là: B
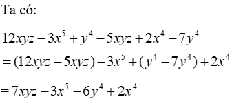
Câu 14: Đa thức 12xyz - 3x5 + y4 - 5xyz + 2x4 - 7y4 được rút gọn thành:
Lời giải:
Đáp án cần chọn là: B
Câu 15: Cho A = 3x3y2 + 2x2y - xy và B = 4xy - 3x2y + 2x3y2 + y2
15.1: Tính A + B
Lời giải:
Đáp án cần chọn là: D
15.2: Tính A - B
Lời giải:
Đáp án cần chọn là: C
Câu 16: Cho A = 4x4 + 2y2 x-3z3 + 5 và B = -4z3 + 8 + 3y2 x-5x4
16.1: Tính A + B
Lời giải:
Đáp án cần chọn là: D
16.2: Tính A - B
Lời giải:
Đáp án cần chọn là: C
Câu 17: Tìm đa thức A sao cho A + x3y - 2x2y + x - y = 2y + 3x + x2y
Lời giải:
Đáp án cần chọn là: C
Câu 18: Tìm đa thức A sao cho A-(5x4 - 2y3 + 3x2 - 5y + 12) = 6x3 + 2y3 - y - 1
Lời giải:
Đáp án cần chọn là: C
Câu 19: Bậc của đa thức (x2 + y2 - 2xy) - (x2 + y2 + 2xy) + (4xy - 1) là
A. 2
B. 1
C. 3
D. 0
Lời giải:
Bậc của đa thức -1 là 0
Đáp án cần chọn là: D
Câu 20: Bậc của đa thức (x3 + y3 + 3x2y) - (x3 + y3 - 3x2y) - (6x2y-9) là:
A. 2
B. 1
C. 3
D. 0
Lời giải:
Bậc của đa thức 9 là 0
Đáp án cần chọn là: D
Câu 21: Cho M = 5x2y - xy2 - xy; N=7x3 + y - 2xy2 - 3xy + 1
21.1: Tính P = M + N
Lời giải:
Đáp án cần chọn là: B
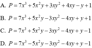
21.2: Sắp xếp P = M + N theo lũy thừa giảm dần đối với biến x và tăng dần với biến y. Xác định bậc của P
A. P = 5x2y + 7x3 - 3xy2 - 4xy + y - 1 có bậc là 2
B. P = 7x3 + 5x2y - 3xy2 - 4xy + y - 1 có bậc là 2
C. P = 7x3 + 5x2y - 3xy2 - 4xy + y - 1 có bậc là 3
D. P = 5x2y + 7x3 - 3xy2 - 4xy + y - 1 có bậc là 3
Lời giải:
Ta có: P = 7x3 + 5x2y - 3xy2 - 4xy + y - 1 (theo câu trước) có bậc là 3
Đáp án cần chọn là: C
21.3: Tìm C biết M - C = N
Lời giải:
Đáp án cần chọn là: A
Câu 22: Cho P = -2xy3 + 10xy - 3x2y; Q = xy - 7x2y + 5xy3 + 10xy
22.1: Tìm M = P - Q
Lời giải:
Đáp án cần chọn là: B
22.2: Sắp xếp M theo lũy thừa giảm dần đối với biến x và tăng dần với biến y. Xác định bậc của M
Lời giải:
Ta có:
M = -7xy3 - xy + 4x2y = 4x2y - xy- 7xy3 có bậc là 1 + 3 = 4
Đáp án cần chọn là: D
22.3: Tìm C biết C - 2P = Q
Lời giải:
Đáp án cần chọn là: A
Câu 23: Tính giá trị biểu thức Q = 3x4 + 2y2 - 3z3 + 4 tại x = y = z = 2
A. 30
B. 16
C. 32
D. 36
Lời giải:
Thay x = y = z = 2 vào Q = 3x4 + 2y2 - 3z3 + 4 ta được: Q = 3.24 + 2.22 - 23 + 4=36
Đáp án cần chọn là: D
Câu 24: Tính giá trị biểu thức A = ax3y3 + bx2y + cxy với a, b, c là hằng số tại x = y = -2
Lời giải:
Thay x = y = -2 vào A = ax3y3 + bx2y + cxy ta được:
Đáp án cần chọn là: D
Câu 25: Cho đa thức 4x5y2 - 5x3y + 7x3y + 2ax5y2. Tìm a để bậc đa thức này là 4
A. a = 2
B. a = 0
C. a = -2
D. a = 1
Lời giải:
Ta có:
Để bậc của đa thức đã cho là 4 thì 4 + 2a = 0 hay a = -2
Đáp án cần chọn là: C
Câu 26: Cho đa thức 3x4 + 5x2y2 + 2y4 + 2y2. Tính giá trị của đa thức biết x2 + y2 = 2
A. 12
B. 6
C. -12
D. -6
Lời giải:
Đáp án cần chọn là: A
(199k) Học Toán 7 KNTTHọc Toán 7 CTSTHọc Toán 7 CD
Xem thêm các bài tập trắc nghiệm Toán lớp 7 chọn lọc, có đáp án chi tiết hay khác:
- Trắc nghiệm Khái niệm về biểu thức đại số
- Trắc nghiệm Giá trị của một biểu thức đại số
- Trắc nghiệm Đơn thức
- Trắc nghiệm Đơn thức đồng dạng
Lời giải bài tập lớp 7 sách mới:
- Giải bài tập Lớp 7 Kết nối tri thức
- Giải bài tập Lớp 7 Chân trời sáng tạo
- Giải bài tập Lớp 7 Cánh diều
Tủ sách VIETJACK shopee lớp 6-8 (2025):
Đã có app VietJack trên điện thoại, giải bài tập SGK, SBT Soạn văn, Văn mẫu, Thi online, Bài giảng....miễn phí. Tải ngay ứng dụng trên Android và iOS.
Theo dõi chúng tôi miễn phí trên mạng xã hội facebook và youtube:Loạt bài Lý thuyết - Bài tập Toán lớp 7 có đầy đủ Lý thuyết và các dạng bài có lời giải chi tiết được biên soạn bám sát nội dung chương trình sgk Đại số 7 và Hình học 7.
Nếu thấy hay, hãy động viên và chia sẻ nhé! Các bình luận không phù hợp với nội quy bình luận trang web sẽ bị cấm bình luận vĩnh viễn.
- Giải Tiếng Anh 7 Global Success
- Giải Tiếng Anh 7 Friends plus
- Giải sgk Tiếng Anh 7 Smart World
- Giải Tiếng Anh 7 Explore English
- Lớp 7 - Kết nối tri thức
- Soạn văn 7 (hay nhất) - KNTT
- Soạn văn 7 (ngắn nhất) - KNTT
- Giải sgk Toán 7 - KNTT
- Giải sgk Khoa học tự nhiên 7 - KNTT
- Giải sgk Lịch Sử 7 - KNTT
- Giải sgk Địa Lí 7 - KNTT
- Giải sgk Giáo dục công dân 7 - KNTT
- Giải sgk Tin học 7 - KNTT
- Giải sgk Công nghệ 7 - KNTT
- Giải sgk Hoạt động trải nghiệm 7 - KNTT
- Giải sgk Âm nhạc 7 - KNTT
- Lớp 7 - Chân trời sáng tạo
- Soạn văn 7 (hay nhất) - CTST
- Soạn văn 7 (ngắn nhất) - CTST
- Giải sgk Toán 7 - CTST
- Giải sgk Khoa học tự nhiên 7 - CTST
- Giải sgk Lịch Sử 7 - CTST
- Giải sgk Địa Lí 7 - CTST
- Giải sgk Giáo dục công dân 7 - CTST
- Giải sgk Công nghệ 7 - CTST
- Giải sgk Tin học 7 - CTST
- Giải sgk Hoạt động trải nghiệm 7 - CTST
- Giải sgk Âm nhạc 7 - CTST
- Lớp 7 - Cánh diều
- Soạn văn 7 (hay nhất) - Cánh diều
- Soạn văn 7 (ngắn nhất) - Cánh diều
- Giải sgk Toán 7 - Cánh diều
- Giải sgk Khoa học tự nhiên 7 - Cánh diều
- Giải sgk Lịch Sử 7 - Cánh diều
- Giải sgk Địa Lí 7 - Cánh diều
- Giải sgk Giáo dục công dân 7 - Cánh diều
- Giải sgk Công nghệ 7 - Cánh diều
- Giải sgk Tin học 7 - Cánh diều
- Giải sgk Hoạt động trải nghiệm 7 - Cánh diều
- Giải sgk Âm nhạc 7 - Cánh diều


Giải bài tập SGK & SBT
Tài liệu giáo viên
Sách
Khóa học
Thi online
Hỏi đáp

