Bài tập trắc nghiệm Đơn thức lớp 7 (có đáp án)
Bài tập trắc nghiệm Đơn thức lớp 7 (có đáp án)
(199k) Học Toán 7 KNTTHọc Toán 7 CTSTHọc Toán 7 CD
1. Phương pháp giải
1. Đơn thức:
Đơn thức là biểu thức đại số chỉ gồm một số, hoặc một biến, hoặc một tích giữa các số và các biến.
Số 0 được gọi là đơn thức không.
2. Đơn thức thu gọn:
Đơn thức thu gọn là đơn thức chỉ gồm tích của một số với các biến mà mỗi biến đã được nâng lên lũy thừa với số mũ nguyên dương. Số nói trên gọi là hệ số, phần còn lại gọi là phần biến của đơn thức thu gọn.
3. Bậc của đơn thức:
+ Bậc của đơn thức có hệ số khác 0 là tổng số mũ của tất cả các biến có trong đơn thức đó.
+ Số thực khác 0 là đơn thức bậc không.
+ Số 0 được coi là đơn thức không có bậc.
4. Nhân hai đơn thức:
Để nhân hai đơn thức, ta nhân các hệ số với nhau và nhân các phần biến với nhau.
2. Ví dụ minh họa
Ví dụ 1. Cho các đơn thức: A = −5xy; B = 11xy2; C = x2y3.
a) Tìm hệ số và bậc của D = A.B.C.
b) Các đơn thức trên có thể cùng dương hay không?
Hướng dẫn giải:
a) D = −55.x4y6. Hệ số: -55, Bậc: 10
b. D = −55.x4y6 ≤ 0 nên A, B, C không thể cùng dương.
Ví dụ 2. Nhận biết đâu là đơn thức, đâu là đa thức:
3xy; x + 2y; x2(x – 3); ; 5x2y3.
Hướng dẫn giải:
Đơn thức là: 3xy; ; 5x2y3.
Đa thức là: x + 2y; x2(x – 3).
3. Bài tập tự luyện
Câu 1: Trong các biểu thức đại số sau, biểu thức nào không phải đơn thức?
A. 2
B. 5x + 9
C. x3y2
D. x
Lời giải:
Biểu thức 5x + 9 không phải là đơn thức
Đáp án cần chọn là: B
Câu 2: Trong các biểu thức đại số sau, biểu thức nào không phải đơn thức?
Lời giải:
Biểu thức x − 2 không phải đơn thức.
Đáp án cần chọn là: A
Câu 3: Trong các biểu thức đại số sau, biểu thức nào đơn thức?
Lời giải:
Đáp án cần chọn là: B
Câu 4: Trong các biểu thức đại số sau, biểu thức nào đơn thức?
Lời giải:
Đáp án cần chọn là: C
Câu 5: Sau khi thu gọn đơn thức 2.(-3x3y)y2 ta được đơn thức
Lời giải:
Ta có: 2.(-3x3y)y2 = 2.(-3).x3.y.y2 = -6x3y3
Đáp án cần chọn là: A
Câu 6: Sau khi thu gọn đơn thức (3x2y).(xy2) ta được đơn thức
Lời giải:
Ta có: (3x2y).(xy2) = (3.1)(x2y.xy2) = 3.(x2.x)(y2.y) = 3x3y3
Đáp án cần chọn là: B
Câu 7: Tính giá trị của đơn thức 5x4y2z3 tại x = -1; y = -1; z = -2
A. 10
B. 20
C. -40
D. 40
Lời giải:
Thay x = -1; y = -1; z = -2 vào đơn thức 5x4y2z3 ta được: 5(-1)4.(-1)2.(-2)3 = -40
Đáp án cần chọn là: C
Câu 8: Tính giá trị của đơn thức 4x2yz5 tại x = -1; y = -1; z = 1
A. -4
B. -8
C. 4
D. 20
Lời giải:
Thay x = -1; y = -1; z = 1 vào đơn thức 4x2yz5 ta được 4(-1)2.(-1).15 = -4
Vậy giá trị của đơn thức 4x2yz5 tại x = -1; y = -1; z = 1 là -4
Đáp án cần chọn là: A
Câu 9: Tìm hệ số trong đơn thức -36a2b2x2y3 với a,b là hằng số
Lời giải:
Đơn thức -36a2b2x2y3 với a, b là hằng số có hệ số là -36a2b2
Đáp án cần chọn là: B
Câu 10: Tìm hệ số trong đơn thức với a,b là hằng số
Lời giải:
Đơn thức
với a,b là hằng số có hệ số là
Đáp án cần chọn là: C
Câu 11: Tìm phần biến trong đơn thức 100abx2yz với a,b là hằng số
Lời giải:
Đơn thức 100abx2yz với a,b là hằng số có phần biến là x2yz
Đáp án cần chọn là: C
Câu 12: Tìm phần biến trong đơn thức 2mn.zt2 với m,n là hằng số
Lời giải:
Đơn thức 2mn.zt2 với a,b là hằng số có phần biến là zt2
Đáp án cần chọn là: B
Câu 13: Các đơn thức có bậc lần lượt là
A. 0 ; 1 ; 3 ; 4.
B. 0 ; 3 ; 1 ; 4.
C. 0 ; 1 ; 2 ; 3.
D. 0 ; 1 ; 3 ; 2.
Lời giải:
Các đơn thức có bậc lần lượt là 0 ; 1 ; 3 ; 4.
Đáp án cần chọn là: A
Câu 14: Các đơn thức 4; xy; x3; xy.xz2 có bậc lần lượt là
A. 0; 2; 3; 5
B. 0; 2; 3; 3
C. 0; 1; 3; 5
D. 1; 2; 3; 5
Lời giải:
+ Đơn thức 4 có bậc là 0
+ Đơn thức xy có bậc là 1 + 1 = 2
+ Đơn thức x3 có bậc là 33
+ Đơn thức xy.xz2 có bậc là 2 + 1 + 2 = 5
Các đơn thức 4; xy; x3; xy.xz2 có bậc lần lượt là 0; 2; 3; 5
Đáp án cần chọn là: A
Câu 15: Thu gọn đơn thức x3y3.x2y2 z ta được
Lời giải:
Ta có: x3y3.x2y2 z = x3.x2.y3.y2.z = x5y5 z
Đáp án cần chọn là: B
Câu 16: Thu gọn đơn thức x2.xyz2 ta được
Lời giải:
Ta có: x2.xyz2 = (x2.x).yz2 = x3yz2
Đáp án cần chọn là: B
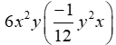
Câu 17: Kết quả sau khi thu gọn đơn thức là
Lời giải:
Ta có:
Đáp án cần chọn là: A
Câu 18: Kết quả sau khi thu gọn đơn thức là
Lời giải:
Ta có:
Đáp án cần chọn là: A
Câu 19: Hệ số của đơn thức (2x2)2(-3y3)(-5xz)3 là
A. -1500
B. -750
C. 30
D. 1500
Lời giải:
Ta có:
Vậy hệ số cần tìm là 1500
Đáp án cần chọn là: D
Câu 21: Phần biến số của đơn thức (với a,b là hằng số) là:
Lời giải:
Ta có:
Phần biến số thu được là x6y3z4
Đáp án cần chọn là: D
Câu 22: Phần biến số của đơn thức (với a,b là hằng số) là:
Lời giải:
Ta có:
Phần biến số của đơn thức đã cho là x3y3
Đáp án cần chọn là: D
Câu 23: Cho các đơn thức sau, với a, b là hằng số x, y, z là biến số:
23.1: Thu gọn các đơn thức trên
Lời giải:
Đáp án cần chọn là: B
23.2: Hệ số của đơn thức A và B lần lượt là:
Lời giải:
Đơn thức A = -26x3y5z3 có phần hệ số là -26
Đơn thức B = -a2bx5y4 có phần hệ số là -a2b
Đáp án cần chọn là: A
23.3: Bậc của đơn thức A và B lần lượt là:
A. 9 và 11
B. 11 và 9.
C. 10 và 9.
D. 12 và 8
Lời giải:
Đơn thức A = -26x3y5z3 có bậc là 3 + 5 + 3 = 11
Đơn thức B = -a2bx5y4 có bậc là 5 + 4 = 9
Bậc của đơn thức A và B lần lượt là 11 và 9
Đáp án cần chọn là: B
Câu 24: Cho các đơn thức sau, với a, b là hằng số x, y, z là biến số:
24.1: Thu gọn các đơn thức trên:
Lời giải:
Đáp án cần chọn là: B
24.2: Hệ số của đơn thức A và B lần lượt là:
Lời giải:
Đơn thức A = -35x5y9 có phần hệ số là -35
Đơn thức B = -75ab2x2y5 có phần hệ số là -75ab2
Đáp án cần chọn là: A
24.3: Bậc của đơn thức A và B lần lượt là:
A. 7 và 14
B. 14 và 10
C. 14 và 7
D. 15 và 1
Lời giải:
Đơn thức A = -35x5y9 có bậc là 5 + 9 = 14
Đơn thức B = -75ab2x2y5 có bậc là 2 + 5 = 7
Bậc của đơn thức A và B lần lượt là 14 và 7
Đáp án cần chọn là: C
Câu 25: Viết đơn thức 21x4y5z6 dưới dạng tích hai đơn thức, trong đó có 1 đơn thức là 3x2y2z
Lời giải:
Ta có:
Đáp án cần chọn là: A
Câu 26: Cho đơn thức . Chọn câu đúng nhất
A. Giá trị của A luôn không âm với mọi x; y;z
B. Nếu A = 0 thì x = y = z = 0
C. Chỉ có 1 giá trị của x để A = 0
D. Chỉ có 1 giá trị của y để A = 0
Lời giải:
Đáp án cần chọn là: A
(199k) Học Toán 7 KNTTHọc Toán 7 CTSTHọc Toán 7 CD
Xem thêm các bài tập trắc nghiệm Toán lớp 7 chọn lọc, có đáp án chi tiết hay khác:
- Trắc nghiệm Khái niệm về biểu thức đại số
- Trắc nghiệm Giá trị của một biểu thức đại số
- Trắc nghiệm Đơn thức đồng dạng
- Trắc nghiệm Đa thức
Lời giải bài tập lớp 7 sách mới:
- Giải bài tập Lớp 7 Kết nối tri thức
- Giải bài tập Lớp 7 Chân trời sáng tạo
- Giải bài tập Lớp 7 Cánh diều
Tủ sách VIETJACK shopee lớp 6-8 (2025):
Đã có app VietJack trên điện thoại, giải bài tập SGK, SBT Soạn văn, Văn mẫu, Thi online, Bài giảng....miễn phí. Tải ngay ứng dụng trên Android và iOS.
Theo dõi chúng tôi miễn phí trên mạng xã hội facebook và youtube:Loạt bài Lý thuyết - Bài tập Toán lớp 7 có đầy đủ Lý thuyết và các dạng bài có lời giải chi tiết được biên soạn bám sát nội dung chương trình sgk Đại số 7 và Hình học 7.
Nếu thấy hay, hãy động viên và chia sẻ nhé! Các bình luận không phù hợp với nội quy bình luận trang web sẽ bị cấm bình luận vĩnh viễn.
- Giải Tiếng Anh 7 Global Success
- Giải Tiếng Anh 7 Friends plus
- Giải sgk Tiếng Anh 7 Smart World
- Giải Tiếng Anh 7 Explore English
- Lớp 7 - Kết nối tri thức
- Soạn văn 7 (hay nhất) - KNTT
- Soạn văn 7 (ngắn nhất) - KNTT
- Giải sgk Toán 7 - KNTT
- Giải sgk Khoa học tự nhiên 7 - KNTT
- Giải sgk Lịch Sử 7 - KNTT
- Giải sgk Địa Lí 7 - KNTT
- Giải sgk Giáo dục công dân 7 - KNTT
- Giải sgk Tin học 7 - KNTT
- Giải sgk Công nghệ 7 - KNTT
- Giải sgk Hoạt động trải nghiệm 7 - KNTT
- Giải sgk Âm nhạc 7 - KNTT
- Lớp 7 - Chân trời sáng tạo
- Soạn văn 7 (hay nhất) - CTST
- Soạn văn 7 (ngắn nhất) - CTST
- Giải sgk Toán 7 - CTST
- Giải sgk Khoa học tự nhiên 7 - CTST
- Giải sgk Lịch Sử 7 - CTST
- Giải sgk Địa Lí 7 - CTST
- Giải sgk Giáo dục công dân 7 - CTST
- Giải sgk Công nghệ 7 - CTST
- Giải sgk Tin học 7 - CTST
- Giải sgk Hoạt động trải nghiệm 7 - CTST
- Giải sgk Âm nhạc 7 - CTST
- Lớp 7 - Cánh diều
- Soạn văn 7 (hay nhất) - Cánh diều
- Soạn văn 7 (ngắn nhất) - Cánh diều
- Giải sgk Toán 7 - Cánh diều
- Giải sgk Khoa học tự nhiên 7 - Cánh diều
- Giải sgk Lịch Sử 7 - Cánh diều
- Giải sgk Địa Lí 7 - Cánh diều
- Giải sgk Giáo dục công dân 7 - Cánh diều
- Giải sgk Công nghệ 7 - Cánh diều
- Giải sgk Tin học 7 - Cánh diều
- Giải sgk Hoạt động trải nghiệm 7 - Cánh diều
- Giải sgk Âm nhạc 7 - Cánh diều


Giải bài tập SGK & SBT
Tài liệu giáo viên
Sách
Khóa học
Thi online
Hỏi đáp

