Lý thuyết Phân thức đại số lớp 8 (hay, chi tiết)
Bài viết Lý thuyết Phân thức đại số lớp 8 hay, chi tiết giúp bạn nắm vững kiến thức trọng tâm Lý thuyết Phân thức đại số.
Lý thuyết Phân thức đại số
(199k) Xem Khóa học Toán 8 KNTTXem Khóa học Toán 8 CTSTXem Khóa học Toán 8 CD
Bài giảng: Bài 1: Phân thức đại số - Cô Phạm Thị Huệ Chi (Giáo viên VietJack)
A. Lý thuyết
1. Định nghĩa về phân thức đại số
Một phân thức đại số (hay nói gọn là phân thức) là một biểu thức có dạng A/B, trong đó A, B là những đa thức và B khác đa thức 0.
Trong đó:
+ A được gọi là tử thức (hay gọi là tử).
+ B được gọi là mẫu thức (hay gọi là mẫu).
Chú ý:
+ Mỗi đa thức cúng được coi như một phân thức với mẫu thức bằng 1.
+ Số 0, số 1 cũng là một phân thức đại số.
Ví dụ: Ta có các phân thức đại số như: (2x - 1)/(3x + 2), 1/(3x), 4/1, ...
2. Hai phân thức bằng nhau
Hai phân thức A/B và C/D được gọi là bằng nhau nếu: A.D = B.C
Ta viết:
nếu A.D = B.C.
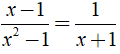
Ví dụ:
+
vì 3xy.2xy2 = x.6xy3 hay 6x2y3 = 6x2y3.
+
vì ( x - 1 ).( x + 1 ) = 1.( x2 - 1 )
B. Bài tập tự luyện
Bài 1: Tìm điều kiện xác định của phân thức
Lời giải:
a) Phân thức
xác định ⇔ x2 - 4x + 4 ≠ 0
⇔ ( x - 2 )2 ≠ 0 ⇒ x ≠ 2 (vì ( x - 2 )2 \ge 0 )
Vậy điều kiện xác định của phân thức
là x ≠ 2.
b) Phân thức
xác định ⇔ x2 - 1 ≠ 0
⇔ ( x - 1 )( x + 1 ) ≠ 0 ⇔ x ≠ ± 1.
Vậy điều kiện xác định của phân thức
là x ≠ ± 1.
c) Phân thức
xác định ⇔ ( x + 1 )( x - 3 ) ≠ 0
Vậy điều kiện xác định của phân thức
là x ≠ - 1 và x ≠ 3
Bài 2: Chứng minh các phân thức sau bằng nhau
Lời giải:
a) Ta có
Vì
⇒ 3x2y.( - 1/3xy2 ) = - xy3.x2
b) Ta có
Vì
⇒ 2( x + 1 )y.x( x + 1 )2y = - xy2. - 2( x + 1 )3
Bài giảng: Bài 1: Phân thức đại số - Cô Vương Thị Hạnh (Giáo viên VietJack)
(199k) Xem Khóa học Toán 8 KNTTXem Khóa học Toán 8 CTSTXem Khóa học Toán 8 CD
Xem thêm các phần lý thuyết, các dạng bài tập Toán lớp 8 có đáp án chi tiết hay khác:
- Lý thuyết Chia đa thức một biến đã sắp xếp
- Bài tập Chia đa thức một biến đã sắp xếp
- Tổng hợp Lý thuyết & Bài tập Phép nhân và phép chia các đa thức
- Bài tập Phân thức đại số
- Lý thuyết Tính chất cơ bản của phân thức
- Bài tập Tính chất cơ bản của phân thức
Xem thêm các loạt bài Để học tốt Toán lớp 8 hay khác:
Tủ sách VIETJACK shopee lớp 6-8 (2025):
Đã có app VietJack trên điện thoại, giải bài tập SGK, SBT Soạn văn, Văn mẫu, Thi online, Bài giảng....miễn phí. Tải ngay ứng dụng trên Android và iOS.
Theo dõi chúng tôi miễn phí trên mạng xã hội facebook và youtube:Loạt bài Lý thuyết & 700 Bài tập Toán lớp 8 có lời giải chi tiết có đầy đủ Lý thuyết và các dạng bài có lời giải chi tiết được biên soạn bám sát nội dung chương trình sgk Đại số 8 và Hình học 8.
Nếu thấy hay, hãy động viên và chia sẻ nhé! Các bình luận không phù hợp với nội quy bình luận trang web sẽ bị cấm bình luận vĩnh viễn.
- Giải Tiếng Anh 8 Global Success
- Giải sgk Tiếng Anh 8 Smart World
- Giải sgk Tiếng Anh 8 Friends plus
- Lớp 8 - Kết nối tri thức
- Soạn văn 8 (hay nhất) - KNTT
- Soạn văn 8 (ngắn nhất) KNTT
- Giải sgk Toán 8 - KNTT
- Giải sgk Khoa học tự nhiên 8 - KNTT
- Giải sgk Lịch Sử 8 - KNTT
- Giải sgk Địa Lí 8 - KNTT
- Giải sgk Giáo dục công dân 8 - KNTT
- Giải sgk Tin học 8 - KNTT
- Giải sgk Công nghệ 8 - KNTT
- Giải sgk Hoạt động trải nghiệm 8 - KNTT
- Giải sgk Âm nhạc 8 - KNTT
- Lớp 8 - Chân trời sáng tạo
- Soạn văn 8 (hay nhất) - CTST
- Soạn văn 8 (ngắn nhất) - CTST
- Giải sgk Toán 8 - CTST
- Giải sgk Khoa học tự nhiên 8 - CTST
- Giải sgk Lịch Sử 8 - CTST
- Giải sgk Địa Lí 8 - CTST
- Giải sgk Giáo dục công dân 8 - CTST
- Giải sgk Tin học 8 - CTST
- Giải sgk Công nghệ 8 - CTST
- Giải sgk Hoạt động trải nghiệm 8 - CTST
- Giải sgk Âm nhạc 8 - CTST
- Lớp 8 - Cánh diều
- Soạn văn 8 Cánh diều (hay nhất)
- Soạn văn 8 Cánh diều (ngắn nhất)
- Giải sgk Toán 8 - Cánh diều
- Giải sgk Khoa học tự nhiên 8 - Cánh diều
- Giải sgk Lịch Sử 8 - Cánh diều
- Giải sgk Địa Lí 8 - Cánh diều
- Giải sgk Giáo dục công dân 8 - Cánh diều
- Giải sgk Tin học 8 - Cánh diều
- Giải sgk Công nghệ 8 - Cánh diều
- Giải sgk Hoạt động trải nghiệm 8 - Cánh diều
- Giải sgk Âm nhạc 8 - Cánh diều


Giải bài tập SGK & SBT
Tài liệu giáo viên
Sách
Khóa học
Thi online
Hỏi đáp

