Tổng hợp Lý thuyết, Bài tập Phép nhân và phép chia các đa thức (có đáp án)
Bài viết Tổng hợp Lý thuyết, Bài tập Phép nhân và phép chia các đa thức lớp 8 hay, chi tiết giúp bạn nắm vững kiến thức trọng tâm Toán 8.
Tổng hợp Lý thuyết, Bài tập Phép nhân và phép chia các đa thức (có đáp án)
(199k) Xem Khóa học Toán 8 KNTTXem Khóa học Toán 8 CTSTXem Khóa học Toán 8 CD
Bài giảng: Ôn tập chương 1 - Cô Vương Thị Hạnh (Giáo viên VietJack)
A. Lý thuyết
1. Công thức nhân đơn thức với đa thức
Cho A, B, C, D là các đơn thức ta có: A( B + C - D ) = AB + AC - AD.
2. Công thức nhân đa thức với đa thức
Cho A, B, C, D là các đa thức ta có:
( A + B ).( C + D ) = A.( C + D ) + B.( C + D ) = AC + AD + BC + BD.
3. Các hằng đẳng thức đáng nhớ
( A + B )2 = A2 + 2AB + B2
( A - B )2 = A2 - 2AB + B2
A2 - B2 = ( A - B )( A + B ).
( A + B )3 = A3 + 3A2B + 3AB2 + B3.
( A - B )3 = A3 - 3A2B + 3AB2 - B3.
A3 + B3 = ( A + B )( A2 - AB + B2 )
A3 - B3 = ( A - B )( A2 + AB + B2 ).
4. Phương pháp phân tích đa thức thành nhân tử bằng phương pháp nhân tử chung
+ Khi tất cả các số hạng của đa thức có một thừa số chung, ta đặt thừa số chung đó ra ngoài dấu ngoặc () để làm nhân tử chung.
+ Các số hạng bên trong dấu () có được bằng cách lấy số hạng của đa thức chia cho nhân tử chung.
Chú ý: Nhiều khi để làm xuất hiện nhân tử chung ta cần đổi dấu các hạng tử.
5. Phương pháp phân tích đa thức thành nhân tử bằng phương pháp hằng đẳng thức.
+ Dùng các hằng đẳng thức đáng nhớ để phân tích đa thức thành nhân tử.
+ Cần chú ý đến việc vận dụng linh hoạt các hằng đẳng thức để phù hợp với các nhân tử.
6. Phương pháp phân tích đa thức thành nhân tử bằng phương pháp nhóm hạng tử
+ Ta vận dụng phương pháp nhóm hạng tử khi không thể phân tích đa thức thành nhân tử bằng phương pháp đặt nhân tử chung hay bằng phương pháp dùng hằng đẳng thức.
+ Ta nhận xét để tìm cách nhóm hạng tử một cách thích hợp (có thể giao hoán và kết hợp các hạng tử để nhóm) sao cho sau khi nhóm, từng nhóm đa thức có thế phân tích được thành nhân tử bằng phương pháp đặt nhân tử chung, bằng phương pháp dùng hằng đẳng thức. Khi đó đa thức mới phải xuất hiện nhân tử chung.
+ Ta áp dụng phương pháp đặt thành nhân tử chung để phân tích đa thức đã cho thành nhân tử.
7. Phương pháp phân tích đa thức thành nhân tử bằng phương pháp phối hợp nhiều cách
Ta tìm hướng giải bằng cách đọc kỹ đề bài và rút ra nhận xét để vận dụng các phương pháp đã biết:
+ Đặt nhân tử chung
+ Dùng hằng đẳng thức
+ Nhóm nhiều hạng tử và phối hợp chúng
⇒ Để phân tích đa thức thành nhân tử.
8. Quy tắc chia đơn thức cho đơn thức
Muốn chia đơn thức A cho đơn thức B (trường hợp A chia hết cho B) ta làm như sau:
+ Chia hệ số của đơn thức A cho hệ số của đơn thức B.
+ Chia lũy thừa của từng biến trong A cho lũy thừa của cùng biến đó trong B.
+ Nhân các kết quả vừa tìm được với nhau.
9. Quy tắc chia đa thức cho đơn thức
Muốn chia đa thức A cho đơn thức B (trường hợp các hạng tử của đa thức A đều chia hết cho đơn thức B), ta chia mỗi hạng tử của A cho B rồi cộng các kết quả với nhau.
Chú ý: Trường hợp đa thức A có thể phân tích thành nhân tử, thường ta phân tích trước để rút gọn cho nhanh
10. Chia đa thức một biến đã sắp xếp
Ta trình bày phép chia tương tự như cách chia các số tự nhiên. Với hai đa thức A và B của một biến, B≠0 tồn tại duy nhất hai đa thức Q và R sao cho:
A = B.Q + R, với R=0 hoặc bậc của R nhỏ hơn bậc của B.
Nếu R = 0, ta được phép chia hết.
Nếu R≠0, ta được phép chia có dư.
B. Trắc nghiệm & Tự luận
I. Bài tập trắc nghiệm
Bài 1: Giá trị của biểu thức A = x( 2x + 3 ) - 4( x + 1 ) - 2x( x - 1/2 ) là ?
A. x + 1. B. 4.
C. - 4 D. 1 - x
Lời giải:
Ta có A = x( 2x + 3 ) - 4( x + 1 ) - 2x( x - 1/2 ) = ( 2x.x + 3.x ) - ( 4.x + 4.1 ) - ( 2x.x - 1/2.2x )
= 2x2 + 3x - 4x - 4 - 2x2 + x = - 4.
Chọn đáp án C.
Bài 2: Chọn câu trả lời đúng ( 2x3 - 3xy + 12x )( - 1/6xy ) bằng ?
A. - 1/3x4y + 1/2x2y2 - 2xy2
B. - 1/3x4y + 1/2x2y2 + 2xy2
C. - 1/3x4y + 1/2x2y2 - 2x2y3
D. - 1/3x4y + 1/2x2y2 - 2x2y
Lời giải:
Ta có: ( 2x3 - 3xy + 12x )( - 1/6xy ) = ( - 1/6xy ).2x3 - 3xy( - 1/6xy ) + 12x( - 1/6xy )
= - 1/3x4y + 1/2x2y2 - 2x2y
Chọn đáp án D.
Bài 3: Kết quả nào sau đây đúng với biểu thức A = 2/5xy( x2y -5x + 10y ) ?
A. 2/5x3y2 + xy2 + 2x2y.
B. 2/5x3y2 - 2x2y + 2xy2.
C. 2/5x3y2 - 2x2y + 4xy2.
D. 2/5x3y2 - 2x2y - 2xy2.
Lời giải:
Ta có: A = 2/5xy( x2y -5x + 10y ) = 2/5xy.x2y - 2/5xy.5x + 2/5xy.10y
= 2/5x3y2 - 2x2y + 4xy2.
Chọn đáp án C.
Bài 4: Kết quả của phép tính ( x - 2 )( x + 5 ) bằng ?
A. x2 - 2x - 10.
B. x2 + 3x - 10
C. x2 - 3x - 10.
D. x2 + 2x - 10
Lời giải:
Ta có ( x - 2 )( x + 5 ) = x( x + 5 ) - 2( x + 5 )
= x2 + 5x - 2x - 10 = x2 + 3x - 10.
Chọn đáp án B.
Bài 5: Thực hiện phép tính ( 5x - 1 )( x + 3 ) - ( x - 2 )( 5x - 4 ) ta có kết quả là ?
A. 28x - 3.
B. 28x - 5.
C. 28x - 11.
D. 28x - 8.
Lời giải:
Ta có ( 5x - 1 )( x + 3 ) - ( x - 2 )( 5x - 4 ) = 5x( x + 3 ) - ( x + 3 ) - x( 5x - 4 ) + 2( 5x - 4 )
= 5x2 + 15x - x - 3 - 5x2 + 4x + 10x - 8 = 28x - 11
Chọn đáp án C.
Bài 6: Điền vào chỗ trống: A = ( 1/2x - y )2 = 1/4x2 - ... + y2
A. 2xy. B. xy.
C. - 2xy. D. 1/2xy.
Lời giải:
Áp dụng hằng đẳng thức ( a - b )2 = a2 - 2ab + b2.
Khi đó ta có A = ( 1/2x - y )2 = 1/4x2 - 2.1/2x.y + y2 = 1/4x2 - xy + y2.
Suy ra chỗ trống cần điền là xy.
Chọn đáp án B.
Bài 7: Điều vào chỗ trống: ... = ( 2x - 1 )( 4x2 + 2x + 1 ).
A. 1 - 8x3.
B. 1 - 4x3.
C. x3 - 8.
D. 8x3 - 1.
Lời giải:
Áp dụng hằng đẳng thức a3 - b3 = ( a - b )( a2 + ab + b2 )
Khi đó ta có ( 2x - 1 )( 4x2 + 2x + 1 ) = ( 2x - 1 )[ ( 2x )2 + 2x.1 + 1 ] = ( 2x )3 - 1 = 8x3 - 1.
Suy ra chỗ trống cần điền là 8x3 - 1.
Chọn đáp án D.
Bài 8: Đa thức 4x( 2y - z ) + 7y( z - 2y ) được phân tích thành nhân tử là ?
A. ( 2y + z )( 4x + 7y )
B. ( 2y - z )( 4x - 7y )
C. ( 2y + z )( 4x - 7y )
D. ( 2y - z )( 4x + 7y )
Lời giải:
Ta có 4x( 2y - z ) + 7y( z - 2y ) = 4x( 2y - z ) - 7y( 2y - z ) = ( 2y - z )( 4x - 7y ).
Chọn đáp án B.
Bài 9: Kết quả nào sau đây đúng?
A. ( 10xy2 ):( 2xy ) = 5xy
B. ( - 3/5x4y5z ):( 5/6x3y2z ) = 18/25xy3
C. ( - 3/4xy2 )2:( 3/5x2y3 ) = 15/16y
D. ( - 3x2y2z ):( - yz ) = - 3x2y
Lời giải:
Ta có
+ ( 10xy2 ):( 2xy ) = 5y
⇒ Đáp án A sai.
+ ( - 3/5x4y5z ):( 5/6x3y2z ) = - 18/25xy3
⇒ Đáp án B sai.
+ ( - 3/4xy2 )2:( 3/5x2y3 ) = ( 9/16x2y4 ):( 3/5x2y3 ) = 15/16y
⇒ Đáp án C đúng.
+ ( - 3x2y2z ):( - yz ) = 3x2y
⇒ Đáp án D sai.
Chọn đáp án C.
Bài 10: Kết quả của phép tính ( - 3 )6:( - 2 )3 là ?
A. 729/8. B. 243/8.
C. - 729/8. D. - 243/8.
Lời giải:
Ta có: ( - 3 )6:( - 2 )3 = 36:( - 23 ) = 729:( - 8 ) = - 729/8.
Chọn đáp án C.
Bài 11: Đa thức M thỏa mãn xy2 + 1/3x2y2 + 7/2x3y = ( 5xy ).M là ?
A. M = y + 1/15xy2 + 7/10x2
B. M = 1/5y + 1/15xy + 7/10x2
C. M = - 1/5y + 1/5x2y + 7/10x2
D. Cả A, B, C đều sai.
Lời giải:
Ta có xy2 + 1/3x2y2 + 7/2x3y = ( 5xy ).M
⇒ M = ( xy2 + 1/3x2y2 + 7/2x3y ):( 5xy )
= 1/5y + 1/15xy + 7/10x2.
Chọn đáp án B.
Bài 12: Kết quả nào sau đây đúng ?
A. ( - 3x3 + 5x2y - 2x2y2 ):( - 2 ) = - 3/2x3 - 5/2x2y + x2y2
B. ( 3x3 - x2y + 5xy2 ):( 1/2x ) = 6x2 - 2xy + 10y2
C. ( 2x4 - x3 + 3x2 ):( - 1/3x ) = 6x2 + 3x - 9
D. ( 15x2 - 12x2y2 + 6xy3 ):( 3xy ) = 5x - 4xy - 2y2
Lời giải:
Ta có:
+ ( - 3x3 + 5x2y - 2x2y2 ):( - 2 ) = 3/2x3 - 5/2x2y + x2y2
⇒ Đáp án A sai.
+ ( 3x3 - x2y + 5xy2 ):( 1/2x ) = 6x2 - 2xy + 10y2
⇒ Đáp án B đúng.
+ ( 2x4 - x3 + 3x2 ):( - 1/3x ) = - 6x3 + 3x2 - 9x
⇒ Đáp án C sai.
+ ( 15x2 - 12x2y2 + 6xy3 ):( 3xy ) = 5x/y - 4xy - 2y2
⇒ Đáp án D sai.
Chọn đáp án B.
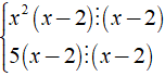
Bài 13: Kết quả của phép chia ( 7x3 - 7x + 42 ):( x2 - 2x + 3 ) là ?
A. - 7x + 14
B. 7x + 14
C. 7x - 14
D. - 7x - 14
Lời giải:
Ta có phép chia
Chọn đáp án B.
Bài 14: Phép chia x3 + x2 - 4x + 7 cho x2 - 2x + 5 được đa thức dư là ?
A. 3x - 7.
B. - 3x - 8.
C. - 15x + 7.
D. - 3x - 7.
Lời giải:
Ta có phép chia
Dựa vào kết quả của phép chia trên,, ta có đa thức dư là - 3x - 8.
Chọn đáp án B.
Bài 15: Giá trị của x thỏa mãn 2x( x + 3 ) + 2( x + 3 ) = 0 là ?
A. x = - 3 hoặc x = 1.
B. x = 3 hoặc x = - 1
C. x = - 3 hoặc x = - 1
D. x = 1 hoặc x = 3.
Lời giải:
Ta có 2x( x + 3 ) + 2( x + 3 ) = 0 ⇔ ( x + 3 )( 2x + 2 ) = 0
Chọn đáp án C.
Bài 16: Tính ( x + 1/3 )( x - 1/3 )( 9 - 18x ) ta được kết quả ?
A. - 18x3 + 9x2 + 2x - 1
B. - 18x3 + 9x2 - 2x + 1
C. 18x3 + 9x2 + 2x - 1
D. 18x3 - 9x2 - 2x
Lời giải:
Ta có: ( x + 1/3 )( x - 1/3 )( 9 - 18x ) = ( x2 - 1/9 )( 9 - 18x ) = x2( 9 - 18x ) - 1/9( 9 - 18x )
= 9x2 - 18x3 - 1 + 2x = - 18x3 + 9x2 + 2x - 1.
Chọn đáp án A.
Bài 17: Tính ( 2x + y )2 + ( 2x - y )2 ta được kết quả ?
A. 8x2 - 2y2.
B. 8x2 + 2y2
C. 4x2 + 2y2.
D. 4x2 - 2y2
Lời giải:
Ta có:
( 2x + y )2 + ( 2x - y )2 = 4x2 + 4xy + y2 + 4x2 - 4xy + y2 = 8x2 + 2y2.
Chọn đáp án B.
Bài 18: Rút gọn biểu thức xn( xn + 1 + yn ) - yn( xn + yn - 1 ) được kết quả là?
A. x2n + 1 - y2n - 1
B. x2n - y2n
C. x2n - y2n - 1
D. xn + 2 - yn
Lời giải:
Ta có:
xn( xn + 1 + yn ) - yn( xn + yn - 1 ) = xn.xn + 1 + xn.yn - yn.xn - yn.yn - 1
= x2x + 1 + xn.yn - xn.yn - y2n - 1 = x2x + 1 - y2n - 1.
Chọn đáp án A.
Bài 19: Rút gọn biểu thức ( a - b )3 + ( a + b )3 - a( 6b2 + 2a2 ) được kết quả là ?
A. 2a3 + 2b3 - 3a2b
B. a3 + b3 + 6a2b
C. 2a3 + 2b3
D. 0
Lời giải:
Ta có:
( a - b )3 + ( a + b )3 - a( 6b2 + 2a2 ) = a3 - 3a2b + 3ab2 - b3 + a3 + 3a2b + 3ab2 + b3 - 6ab2 - 2a3
= 2a3 + 6ab2 - 6ab2 - 2a3 = 0.
Chọn đáp án D.
Bài 20: Giá trị của biểu thức P = x3 - 9x2 + 27x - 17 tại x =4 là ?
A. P = 17. B. P = - 17.
C. P = 11. D. P = - 11.
Lời giải:
Ta có P = x3 - 9x2 + 27x - 17 = ( x3 - 9x2 + 27x - 27 ) + 10 = ( x - 3 )3 + 10.
Với x =4, ta có: P = ( 4 - 3 )3 + 10 = 1 + 10 = 11.
Chọn đáp án C.
Bài 21: Giá trị của biểu thức M = ( x - y + z )2 + ( z - y )2 + 2( x - y + z )( y - z ) tại x =10 là ?
A. M = 10 B. M = 20
C. M = 100 D. M = 200
Lời giải:
Ta có: M = ( x - y + z )2 + ( z - y )2 + 2( x - y + z )( y - z )
= ( x - y + z )2 - 2( x - y + z )( z - y ) + ( z - y )2
= [ ( x - y + z ) - ( z - y ) ]2 = x2
Với x = 10, ta có M = 102 = 100.
Chọn đáp án C.
Bài 22: Thu gọn ( a + b - c )7:( a + b - c )5, ta được kết quả ?
A. ( a + b - c )2
B. ( a + b - c )
C. ( a + b - c )3
D. ( a + b - c )- 2.
Lời giải:
Ta có ( a + b - c )7:( a + b - c )5 = ( a + b - c )7 - 5 = ( a + b - c )2
Chọn đáp án A.
Bài 23: Phân tích đa thức 3x + 6xy + 2yz + z thành nhân tử, ta được:
A. ( 3x + z )( 2y + 1 )
B. ( 3x - z )( 2y + 1 )
C. ( 3x + z )( 2y - 1 )
D. ( 3x - z )( 2y - 1 )
Lời giải:
Ta có: 3x + 6xy + 2yz + z = ( 3x + 6xy ) + ( 2yz + z )
= 3x( 2y + 1 ) + z( 2y + 1 ) = ( 2y + 1 )( 3x + z ).
Chọn đáp án A.
Bài 24: Chọn câu sai với mọi số tự nhiên n thì giá trị của biểu thức ( n + 7 )2 - ( n - 5 )2 chia hết cho ?
A. 24 B. 16
C. 8 D. 6
Lời giải:
Ta có: ( n + 7 )2 - ( n - 5 )2 = ( n2 + 14n + 49 ) - ( n2 - 10n + 25 ) = 24n + 24
Khi đó ta có:
⇒ 24n + 24 chia hết cho 24,8,6.
Do đó 24n + 24 không chia hết cho 16.
Chọn đáp án B.
Bài 25: Với mọi giá trị của biến số thì giá trị của biểu thức 16x4 - 40x2y3 + 25y6 là một số ?
A. dương
B. không dương
C. âm
D. không âm
Lời giải:
Ta có 16x4 - 40x2y3 + 25y6 = ( 4x2 )2 - 2.( 4x2 ).( 5y3 ) + ( 5y3 )2 = ( 4x2 - 5y3 )2
Nhận thấy: ( 4x2 - 5y3 )2 ≥ 0 ⇒ Giá trị của biểu thức là một số không âm.
Chọn đáp án D.
Bài 26: Để biểu thức 9x2 + 30x + a là bình phương của một tổng thì giá trị của a thỏa mãn yêu cầu là ?
A. 9 B. 25
C. 36 D. Kết quả khác
Lời giải:
Ta có: 9x2 + 30x + a = ( 3x )2 + 2.( 3x ).5 + 52 + a - 25 = ( 3x + 5 )2 + a - 25
Để biểu thức 9x2 + 30x + a là bình phương của một tổng ⇔ a - 25 = 0 ⇔ a = 25.
Chọn đáp án B.
Bài 27: Giá trị nhỏ nhất của y = ( x - 3 )2 + 1 là ?
A. 1 khi x=3 B. 3 khi x =1
C. 0 khi x=3 D. Không có GTNN trên TXĐ
Lời giải:
Ta có: y = ( x - 3 )2 + 1 ≥ 1 vì ( x - 3 )2 ≥ 0.
⇒ Min = 1 khi x - 3 = 0 ⇔ x = 3.
Chọn đáp án A.
Bài 28: Giá trị nhỏ nhất của biểu thức 9x2 - 6x + 5 đạt được khi x bằng ?
A. x = 1/2 B. x = 1/3
C. x = 3 D. x = 4/3
Lời giải:
Ta có: 9x2 - 6x + 5 = ( 9x2 - 6x + 1 ) + 4 = ( 3x - 1 )2 + 4 ≥ 4 vì ( 3x - 1 )2 ≥ 0
⇒ Min = 4 khi và chỉ khi 3x - 1 = 0 ⇔ x = 1/3.
Chọn đáp án B.
Bài 29: Giá trị lớn nhất của biểu thức S = 4x - 2x2 + 1 là ?
A. 3 B. 2
C. -3 D. -2
Lời giải:
Ta có S = 4x - 2x2 + 1 = - 2x2 + 4x + 1 = - 2( x2 - 2x ) + 1
= - 2( x2 - 2x + 1 ) + 2 + 1 = - 2( x - 1 )2 + 3 ≤ 3. vì - 2( x - 1 )2 ≤ 0∀ x
⇒ Min = 3 khi và chỉ khi x - 1 = 0 ⇔ x = 1.
Chọn đáp án A.
Bài 30: Giá trị của 2x2 + 3( x + 1 )( x - 1 ) = 5x( x + 1 ) thỏa mãn
A. x = 5/3. B. x = - 5/3
C. x = 3/5. D. x = - 3/5.
Lời giải:
Ta có 2x2 + 3( x + 1 )( x - 1 ) = 5x( x + 1 )
⇔ 2x2 + 3( x2 - 1 ) = 5x2 + 5x
⇔ 5x2 - 3 = 5x2 + 5x ⇔ 5x = - 3 ⇔ x = - 3/5.
Chọn đáp án D.
II. Bài tập tự luận
1. Nhận biết – Thông hiểu
Bài 1: Thực hiện các phép tính sau
a, ( x2 -1 )( x2 + 2x )
b, ( x + 3 )( x2 + 3x -5 )
c, ( x -2y )( x2y2 - xy + 2y )
d, ( 1/2xy -1 )( x3 -2x -6 )
Lời giải:
a) Ta có: ( x2 -1 )( x2 + 2x ) = x2( x2 + 2x ) - ( x2 + 2x )
= x4 + 2x3 - x2 - 2x.
b) Ta có ( x + 3 )( x2 + 3x -5 ) = x( x2 + 3x -5 ) + 3( x2 + 3x -5 )
= x3 + 3x2 - 5x + 3x2 + 9x - 15 = x3 + 6x2 + 4x - 15
c) Ta có ( x -2y )( x2y2 - xy + 2y ) = x( x2y2 - xy + 2y ) - 2y( x2y2 - xy + 2y )
= x3y2 - x2y + 2xy - 2x2y3 + 2xy2 - 4y2
d) Ta có ( 1/2xy -1 )( x3 -2x -6 ) = 1/2xy( x3 -2x -6 ) - ( x3 -2x -6 )
= 1/2x4y - x2y - 3xy - x3 + 2x + 6
Bài 2: Thực hiện các phép tính sau:
a, xy( xy2 + y3 )
b, 2y( x + yz + zx )
c, x2y2( x2 + y2 )
Lời giải:
a) Ta có: xy( xy2 + y3 ) = xy.xy2 + xy.y3 = x2y3 + xy4.
b) Ta có: 2y( x + yz + zx ) = 2y.x + 2y.yz + 2y.zx = 2xy + 2y2z + 2xyz
c) Ta có: x2y2( x2 + y2 ) = x2y2.x2 + x2y2.y2 = x4y2 + x2y4.
Bài 3: Tính giá trị của các biểu thức sau:
Lời giải:
a) Ta có
(áp dụng hằng đẳng thức a2 - b2 = ( a + b )( a - b ) )
Vậy A= 25/47
b) Ta có
(áp dụng hằng đẳng thức ( a + b )2 = a2 + 2ab + b2;( a - b )2 = a2 - 2ab + b2 )
Vậy B=1
Bài 4: Phân tích các đa thức sau thành nhân tử
a, ( ab - 1 )2 + ( a + b )2
b, x3 + 2x2 + 2x + 1( ab - 1 )2 + ( a + b )2
c, x2 - 2x - 4y2 - 4y
Lời giải:
a) Ta có ( ab - 1 )2 + ( a + b )2 = a2b2 - 2ab + 1 + a2 + 2ab + b2
= a2b2 + a2 + b2 + 1 = ( a2b2 + a2 ) + ( b2 + 1 )
= a2( b2 + 1 ) + ( b2 + 1 ) = ( a2 + 1 )( b2 + 1 )
b) Ta có x3 + 2x2 + 2x + 1 = ( x3 + 1 ) + ( 2x2 + 2x )
= ( x + 1 )( x2 - x + 1 ) + 2x( x + 1 ) = ( x + 1 )( x2 + x + 1 )
c) Ta có x2 - 2x - 4y2 - 4y = ( x2 - 4y2 ) - ( 2x + 4y )
= ( x - 2y )( x + 2y ) - 2( x + 2y )
= ( x + 2y )( x - 2y - 2 ).
Bài 5: Tính giá trị của biểu thức sau A = x6 - 2x4 + x3 + x2 - x, biết x3 - x = 6.
Lời giải:
Ta có: A = x6 - 2x4 + x3 + x2 - x = ( x6 - 2x4 + x2 ) + ( x3 - x )
= ( x3 - x )2 + ( x3 - x )
Với x3 - x = 6, ta có A = 62 + 6 = 36 + 6 = 42.
Vậy A = 42.
Bài 6: Tính giá trị của các biểu thức sau
a, P = 12x4y2:( - 9xy2 ) tại x = - 3;y = 1,005.
b, Q = 3x4y3:2xy2 tại x = 2;y = 1.
Lời giải:
a) Ta có P = 12x4y2:( - 9xy2 ) = (12/- 9)x4 - 1y2 - 2 = - 4/3x3
Với x = - 3;y = 1,005 ta có P = - 4/3( - 3 )3 = 36.
Vậy P = 36.
b) Ta có Q = 3x4y3:2xy2 = 3/2x4 - 1y3 - 2 = 3/2x3y.
Với x = 2; y = 1 ta có Q = 3/2( 2 )3.1 = 12.
Vậy Q = 12.
2. Vận dụng – Vận dụng cao.
Bài 1: Tìm biết
a, 4( 18 - 5x ) - 12( 3x - 7 ) = 15( 2x - 16 ) - 6( x + 14 )
b, 2( 5x - 8 ) - 3( 4x - 5 ) = 4( 3x - 4 ) + 11.
c, ( x + 2 )( x + 3 ) - ( x - 2 )( x + 5 ) = 6
d, 3( 2x - 1 )( 3x - 1 ) - ( 2x - 3 )( 9x - 1 ) = 0
Lời giải:
a) Ta có 4( 18 - 5x ) - 12( 3x - 7 ) = 15( 2x - 16 ) - 6( x + 14 )
⇔ 4.18 - 4.5x - 12.3x - 12.( - 7 ) = 15.2x - 15.16 - 6.x - 6.14
⇔ 156 - 56x = 24x - 324 ⇔ 56x + 24x = 156 + 324
⇔ 80x = 480 ⇔ x = 6.
Vậy giá trị x cần tìm là x = 6.
b) Ta có 2( 5x - 8 ) - 3( 4x - 5 ) = 4( 3x - 4 ) + 11
⇔ 2.5x - 2.8 - 3.4x - 3.( - 5 ) = 4.3x - 4.4 + 11
⇔ - 2x - 1 = 12x - 5 ⇔ 12x + 2x = - 1 + 5
⇔ 14x = 4 ⇔ x = 2/7.
Vậy giá trị x cần tìm là x =2/7
c) Ta có ( x + 2 )( x + 3 ) - ( x - 2 )( x + 5 ) = 6
⇔ x( x + 3 ) + 2( x + 3 ) - x( x + 5 ) + 2( x + 3 ) = 6
⇔ x2 + 3x + 2x + 6 - x2 - 5x + 2x + 6 = 6
⇔ 2x = - 6 ⇔ x = - 3.
Vậy giá trị x cần tìm là x = -3
d) Ta có 3( 2x - 1 )( 3x - 1 ) - ( 2x - 3 )( 9x - 1 ) = 0
⇔ 3( 6x2 - 2x - 3x + 1 ) - ( 18x2 - 2x - 27x + 3 ) = 0
⇔ 18x2 - 15x + 3 - 18x2 + 29x - 3 = 0
⇔ 14x = 0 ⇔ x = 0
Vậy giá trị x cần tìm là x =0
Bài 2: Chứng mình rằng giá trị của biểu thức sau không phụ thuộc vào giá trị của biến y (x≠0; y≠0) với biểu thức đó là A = 2/3x2y3:( - 1/3xy ) + 2x( y - 1 )( y + 1 )
Lời giải:
Ta có A = 2/3x2y3:( - 1/3xy ) + 2x( y - 1 )( y + 1 ) = - 2x2 - 1y3 - 1 + 2x( y - 1 )( y + 1 )
= - 2xy2 + 2x( y2 - 1 ) = - 2xy2 + 2xy2 - 2x = - 2x
⇒ Giá trị của biểu thức A không phụ thuộc vào biến y
Bài 3: Tìm số tự nhiên n để đa thức A chia hết cho đơn thức B với:
A = 7xn - 1y5 - 5x3y4;
B = 5x2yn
Lời giải:
Ta có A:B = ( 7xn - 1y5 - 5x3y4 ):( 5x2yn ) = 7/5xn - 3y5 - n - xy4 - n
Theo đề bài đa thức A chia hết cho đơn thức B
Vậy giá trị n cần tìm là n∈ {3; 4}
Bài 4: Tìm các số nguyên n để giá trị của biểu thức n3 + 6n2 -7n + 4 chia hết cho giá trị của biểu thức n - 2
Lời giải:
Ở đây, ta có thực hiện đặt phép chia như câu 1 để tìm số dư và tìm điều kiện giá trị của n để thỏa mãn đề bài. Nhưng bài này ta làm cách biến đội như sau:
Ta có n3 + 6n2 -7n + 4 = ( n3 - 3n2.2 + 3.n.22 - 8 ) + 12n2 - 19n + 12
= ( n - 2 )3 + 12n( n - 2 ) + 5( n - 2 ) + 22
Khi đó ta có: (n3 + 6n2 - 7n + 4)/n - 2 = ( n - 2 )2 + 12n + 5 + 22/(n - 2)
Để giá trị của biểu thức n3 + 6n2 -7n + 4 chia hết cho giá trị của biểu thức n -2
⇔ ( n - 2 ) ∈ UCLN( 22 ) = {± 1; ± 2; ± 11; ± 22}
⇒ n ∈ {- 20; - 9;0;1;3;4;13;24}
Vậy các giá trị nguyên của n cần tìm là n ∈ {- 20; - 9;0;1;3;4;13;24}
Bài 5: Chứng tỏ rằng các biểu thức sau không phụ thuộc vào biến x
a, x( 2x + 1 ) - x2( x + 2 ) + ( x3 - x + 3 )
b, 4( x - 6 ) - x2( 2 + 3x ) + x( 5x - 4 ) + 3x2( x - 1 )
Lời giải:
a) Ta có x( 2x + 1 ) - x2( x + 2 ) + ( x3 - x + 3 ) = ( 2x2 + x ) - ( x3 + 2x2 ) + ( x3 - x + 3 )
= 2x2 + x - x3 - 2x2 + x3 - x + 3 = 3.
Biểu thức không phụ thuộc vào giá trị của biến x.
b) Ta có: 4( x - 6 ) - x2( 2 + 3x ) + x( 5x - 4 ) + 3x2( x - 1 )
= ( 4x - 24 ) - ( 2x2 + 3x3 ) + ( 5x2 - 4x ) + ( 3x3 - 3x2 )
= 4x - 24 - 2x2 - 3x3 + 5x2 - 4x + 3x3 - 3x2 = - 24.
Biểu thức không phụ thuộc vào giá trị của biến x.
Bài 6: Chứng minh rằng: ( a + b )2 - ( a - b )2 = 4ab.
Từ đó tính:
a, ( a + b )2 biết a - b = 3 và ab = 4.
b, ( a - b )2 biết a + b = 6 và ab = 8.
Lời giải:
Ta có :
⇒ ( a + b )2 - ( a - b )2 = ( a2 + 2ab + b2 ) - ( a2 - 2ab + b2 )
⇒ ( a + b )2 - ( a - b )2 = 4ab.
a) Ta có ( a + b )2 - ( a - b )2 = 4ab ⇔ ( a + b )2 = ( a - b )2 + 4ab
Với a - b = 3 và ab = 4, ta có: ( a + b )2 = 32 + 4.4 = 25.
b) Ta có: ( a + b )2 - ( a - b )2 = 4ab ⇔ ( a - b )2 = ( a + b )2 - 4ab
Với a + b = 6 và ab = 8, ta có: ( a - b )2 = 62 - 4.8 = 36 - 32 = 4.
Bài 7: Phân tích đa thức sau thành nhân tử
a, a3 + b3 + c3 - 3abc
b, x2( y - z ) + y2( z - x ) + z2( x - y )
Lời giải:
a) Ta có a3 + b3 + c3 - 3abc = ( a3 + 3a2b + 3ab2 + b3 ) + c3 - 3ab( a + b ) - 3abc
= ( a + b )3 + c3 - 3ab( a + b + c )
= [ ( a + b )3 + 3( a + b )2c + 3( a + b )c2 + c3 ] - 3( a + b )c( a + b + c ) - 3ab( a + b + c )
= ( a + b + c )3 - 3( a + b + c )( ab + bc + ca )
= ( a + b + c )[ ( a + b + c )2 - 3( ab + bc + ca ) ]
= ( a + b + c )( a2 + b2 + c2 - ab - bc - ca )
b) Ta có z - x = - [ ( y - z ) + ( x - y ) ]
Khi đó ta có: x2( y - z ) + y2( z - x ) + z2( x - y )
= x2( y - z ) - y2[ ( y - z ) + ( x - y ) ] + z2( x - y )
= ( y - z )( x2 - y2 ) - ( x - y )( y2 - z2 )
= ( y - z )( x - y )( x + y ) - ( x - y )( y + z )( y - z )
= ( y - z )( x - y )( x + y - y - z ) = ( y - z )( x - y )( x - z )
Bài 8: Thực hiện các phép chia sau
a, [ 7( x2 - 1 )4 + 2( 1 - x )3 - 3( x - 1 )2 ]:2( x - 1 )2
b, [ 5( x3 - y3 )4 + ( x - y )3 ]:( x2 - 2xy + y2 )
Lời giải:
a) Ta có [ 7( x2 - 1 )4 + 2( 1 - x )3 - 3( x - 1 )2 ]:2( x - 1 )2
= [ 7( x - 1 )4( x + 1 )4 - 2( x - 1 )3 - 3( x - 1 )2 ]:2( x - 1 )2
= 7/2( x - 1 )2( x + 1 )4 - ( x - 1 ) - 3/2
b) Ta có [ 5( x3 - y3 )4 + ( x - y )3 ]:( x2 - 2xy + y2 )
= [ 5( x - y )4( x2 + xy + y2 )4 + ( x - y )3 ]:( x - y )2
= 5( x - y )2( x2 + xy + y2 )4 + ( x - y )
Bài 9: Tìm giá trị của a để biểu thức ( a2x3 + 3ax2 - 6x - 2a ) chia hết cho ( x + 1 )
Lời giải:
Do ( a2x3 + 3ax2 - 6x - 2a ) chia hết cho ( x + 1 ) nên ta có thể viết như sau:
( a2x3 + 3ax2 - 6x - 2a ) = ( mx2 + nx + p )( x + 1 ) ( 1 )
Trong đó thương ( mx2 + nx + p ) là một tam thức bậc ha.
Ta thấy ( 1 ) đúng với mọi giá trị của x, nên cũng đúng với x = - 1
Do đó ta có: - a2 + 3a + 6 - 2a = 0 ⇔ - a2 + a + 6 = 0⇔
Vậy để ( a2x3 + 3ax2 - 6x - 2a ) chia hết cho ( x + 1 ) thì giá trị của a là a =3 hoặc a = -2
Bài 10: Tìm giá trị của m để đa thức ( x3 + 3x2 - 5x + m ) chia hết cho ( x - 2 )
Lời giải:
Nhận xét: Ở đây, ta có thể đặt phép chia của ( x3 + 3x2 - 5x + m ) cho ( x - 2 ) để tìm số dư, rồi cho số dư đó bằng 0, từ đó tìm được giá trị của m.
Mở rộng: Bài toán này ta áp dụng phân tích đa thức thành nhân tử để giải toán.
Ta có: ( x3 + 3x2 - 5x + m ) = ( x3 - 2x2 ) + ( 5x - 10 ) + m + 10
= x2( x - 2 ) + 5( x - 2 ) + m + 10
Nhận thấy:
Khi đó để ( x3 + 3x2 - 5x + m ) cho ( x - 2 ) khi và chỉ khi m + 10 = 0 ⇔ m = - 10.
Vậy m = - 10 là giá trị cần tìm.
(199k) Xem Khóa học Toán 8 KNTTXem Khóa học Toán 8 CTSTXem Khóa học Toán 8 CD
Xem thêm các phần lý thuyết, các dạng bài tập Toán lớp 8 có đáp án chi tiết hay khác:
- Lý thuyết Chia đa thức một biến đã sắp xếp
- Bài tập Chia đa thức một biến đã sắp xếp
- Lý thuyết Phân thức đại số
- Bài tập Phân thức đại số
- Lý thuyết Tính chất cơ bản của phân thức
- Bài tập Tính chất cơ bản của phân thức
Xem thêm các loạt bài Để học tốt Toán lớp 8 hay khác:
Tủ sách VIETJACK shopee lớp 6-8 (2025):
Đã có app VietJack trên điện thoại, giải bài tập SGK, SBT Soạn văn, Văn mẫu, Thi online, Bài giảng....miễn phí. Tải ngay ứng dụng trên Android và iOS.
Theo dõi chúng tôi miễn phí trên mạng xã hội facebook và youtube:Loạt bài Lý thuyết & 700 Bài tập Toán lớp 8 có lời giải chi tiết có đầy đủ Lý thuyết và các dạng bài có lời giải chi tiết được biên soạn bám sát nội dung chương trình sgk Đại số 8 và Hình học 8.
Nếu thấy hay, hãy động viên và chia sẻ nhé! Các bình luận không phù hợp với nội quy bình luận trang web sẽ bị cấm bình luận vĩnh viễn.
- Giải Tiếng Anh 8 Global Success
- Giải sgk Tiếng Anh 8 Smart World
- Giải sgk Tiếng Anh 8 Friends plus
- Lớp 8 - Kết nối tri thức
- Soạn văn 8 (hay nhất) - KNTT
- Soạn văn 8 (ngắn nhất) KNTT
- Giải sgk Toán 8 - KNTT
- Giải sgk Khoa học tự nhiên 8 - KNTT
- Giải sgk Lịch Sử 8 - KNTT
- Giải sgk Địa Lí 8 - KNTT
- Giải sgk Giáo dục công dân 8 - KNTT
- Giải sgk Tin học 8 - KNTT
- Giải sgk Công nghệ 8 - KNTT
- Giải sgk Hoạt động trải nghiệm 8 - KNTT
- Giải sgk Âm nhạc 8 - KNTT
- Lớp 8 - Chân trời sáng tạo
- Soạn văn 8 (hay nhất) - CTST
- Soạn văn 8 (ngắn nhất) - CTST
- Giải sgk Toán 8 - CTST
- Giải sgk Khoa học tự nhiên 8 - CTST
- Giải sgk Lịch Sử 8 - CTST
- Giải sgk Địa Lí 8 - CTST
- Giải sgk Giáo dục công dân 8 - CTST
- Giải sgk Tin học 8 - CTST
- Giải sgk Công nghệ 8 - CTST
- Giải sgk Hoạt động trải nghiệm 8 - CTST
- Giải sgk Âm nhạc 8 - CTST
- Lớp 8 - Cánh diều
- Soạn văn 8 Cánh diều (hay nhất)
- Soạn văn 8 Cánh diều (ngắn nhất)
- Giải sgk Toán 8 - Cánh diều
- Giải sgk Khoa học tự nhiên 8 - Cánh diều
- Giải sgk Lịch Sử 8 - Cánh diều
- Giải sgk Địa Lí 8 - Cánh diều
- Giải sgk Giáo dục công dân 8 - Cánh diều
- Giải sgk Tin học 8 - Cánh diều
- Giải sgk Công nghệ 8 - Cánh diều
- Giải sgk Hoạt động trải nghiệm 8 - Cánh diều
- Giải sgk Âm nhạc 8 - Cánh diều


Giải bài tập SGK & SBT
Tài liệu giáo viên
Sách
Khóa học
Thi online
Hỏi đáp

